(JO n° 273 du 25 novembre 2023)
NOR : ENEP2327278A
Publics concernés : tout public.
Objet : modalités de calcul des doses efficaces et des doses équivalentes résultant de l'exposition des personnes aux rayonnements ionisants.
Entrée en vigueur : le texte entre en vigueur le 1er janvier 2024.
Notice : le présent arrêté fixe les modalités de calcul des doses efficaces et des doses équivalentes résultant de l'exposition des personnes aux rayonnements ionisants.
Références : le présent arrêté est pris pour application de l'article R. 1333-24 du code de la santé publique. Le texte du présent arrêté peut être consulté sur le site Légifrance (https://www.legifrance.gouv.fr).
Vus
Le ministre du travail, du plein emploi et de l'insertion, la ministre de la transition énergétique et le ministre de la santé et de la prévention,
Vu la directive 2013/59/Euratom du Conseil du 5 décembre 2013 fixant les normes de base relatives à la protection sanitaire contre les dangers résultant de l'exposition aux rayonnements ionisants et abrogeant les directives 89/618/Euratom, 90/641/Euratom, 96/29/Euratom, 97/43/Euratom et 2003/122/Euratom ;
Vu le code de la santé publique, notamment ses articles R. 1333-23 et R. 1333-24 ;
Vu le code du travail, notamment ses articles R. 4451-4 et R. 4451-12 ;
Vu l'avis du Conseil d'orientation des conditions de travail en date du 9 avril 2021 ;
Vu l'avis n° Ares (2022) 4687111 de la Commission européenne en date du 27 juin 2022 ;
Vu l'avis n° 2022-00192 de l'Institut de radioprotection et de sûreté nucléaire en date du 26 septembre 2022 ;
Vu l'avis n° 2022-AV-0408 de l'Autorité de sûreté nucléaire en date du 4 octobre 2022 ;
Vu les observations formulées lors de la consultation du public réalisée du 28 août au 17 septembre 2023 en application de l'article L. 123-19-1 du code de l'environnement,
Arrêtent :
Article 1er de l'arrêté du 16 novembre 2023
Les dispositions du présent arrêté définissent les méthodes de calcul des doses efficaces et des doses équivalentes mentionnées à l'article R. 1333-24 du code de la santé publique et à l'article R. 4451-12 du code du travail.
La dose efficace reçue par un individu est la somme des doses efficaces résultant des expositions externe et interne aux rayonnements ionisants. Elle est calculée selon les dispositions figurant en annexe I du présent arrêté.
Article 2 de l'arrêté du 16 novembre 2023
Les définitions et les méthodes qui sont utilisées pour les calculs de la dose efficace et de la dose équivalente résultant d'une exposition externe sont définies en annexe II du présent arrêté.
Article 3 de l'arrêté du 16 novembre 2023
I. Pour le calcul de la dose efficace résultant d'une exposition interne à des radionucléides, les valeurs de dose efficace engagée par unité d'activité incorporée de chaque radionucléide ingéré ou inhalé sont définies en annexe III du présent arrêté.
II. L'Institut de radioprotection et de sûreté nucléaire met à disposition une copie des tableaux figurant en annexe III sur son site internet sous la forme d'un fichier téléchargeable standard de format texte non propriétaire.
Article 4 de l'arrêté du 16 novembre 2023
L'arrêté du 1er septembre 2003 définissant les modalités de calcul des doses efficaces et des doses équivalentes résultant de l'exposition des personnes aux rayonnements ionisants est abrogé.
Article 5 de l'arrêté du 16 novembre 2023
Le présent arrêté entre en vigueur le 1er janvier 2024.
Article 6 de l'arrêté du 16 novembre 2023
Le directeur général du travail, le directeur général de la prévention des risques et le directeur général de la santé sont chargés, chacun en ce qui le concerne, de l'exécution du présent arrêté, qui sera publié au Journal officiel de la République française.
Fait le 16 novembre 2023.
La ministre de la transition énergétique,
Pour la ministre et par délégation :
Le directeur général de la prévention des risques,
C. Bourillet
Le ministre du travail, du plein emploi et de l'insertion,
Pour le ministre et par délégation :
Le directeur général du travail,
P. Ramain
Le ministre de la santé et de la prévention,
Pour le ministre et par délégation :
Le directeur général de la santé,
G. Emery
Annexe I : Règles de calcul de la dose efficace résultant d'une exposition externe et interne aux rayonnements ionisants
Les prescriptions réglementaires relatives aux doses s'appliquent à la somme des doses résultant de l'exposition externe pendant une période spécifiée et des doses engagées, sur cinquante ans pour les adultes (population et travailleurs exposés) et jusqu'à l'âge de 70 ans pour les enfants d'âge inférieur à 18 ans, résultant d'incorporations pendant la période spécifiée.
I.1. Dose efficace totale (E)
La dose efficace totale E reçue par un individu est déterminée par la formule suivante :
E = Eexterne + Einterne
où :
Eexterne est la dose efficace résultant de l'exposition externe ; elle est définie au I.2 ;
Einterne est la dose efficace engagée résultant de l'exposition interne ; elle est définie au I.3.
I.2. Dose efficace résultant de l'exposition externe (Eexterne)
Eexterne est la dose efficace résultant de l'exposition externe.
Pour les travailleurs exposés, la dose efficace résultant de l'exposition externe est estimée selon les dispositions figurant en annexe II du présent arrêté. Les valeurs de la publications 116 de la Commission internationale de protection radiologique sont appliquées, lorsqu'elles sont publiées par l'Institut de radioprotection et de sûreté nucléaire.
Pour la population, la dose efficace résultant de l'exposition externe tient compte des différentes sources d'exposition. Elle est prise égale au produit de l'activité intégrée dans le temps du radionucléide présent dans le milieu ambiant par le coefficient de dose externe correspondant à la source d'exposition et au radionucléide considérés. Pour les coefficients de dose externe, les données préconisées par l'Institut de radioprotection et de sûreté nucléaire peuvent être utilisées.
I.3. Dose efficace engagée résultant de l'exposition interne (Einterne)
Einterne est la dose efficace engagée résultant de l'exposition interne. Elle est déterminée par la formule suivante :

Pour un travailleur exposé ou la population appartenant au groupe d'âge g :
h(g)j, ingéré et h(g)j, inhalé sont respectivement les doses efficaces engagées par unité d'activité incorporée du radionucléide j (exprimées en Sv.Bq-1) ingéré et inhalé par un individu du groupe d'âge g ;
Aj, ingéré et Aj, inhalé sont respectivement les activités incorporées par ingestion et par inhalation du radionucléide j (exprimées en Bq).
La dose efficace engagée résultant de l'exposition interne est déterminée à partir des valeurs de dose efficace engagée par unité d'activité incorporée de chaque radionucléide ingéré ou inhalé figurant en annexe III du présent arrêté.
Pour le radon et ses descendants à vie courte dans l'eau, les valeurs préconisées par l'Institut de radioprotection et de sûreté nucléaire, en prenant en compte les valeurs publiées et actualisées par la Commission internationale de protection radiologique, peuvent être utilisées.
Annexe II : Définitions et méthodes utilisées pour le calcul de la dose efficace et de la dose équivalente résultant d'une exposition externe
II.1. Origine des coefficients figurant dans la présente annexe
Les limites de doses indiquées dans la réglementation sont exprimées en termes de deux grandeurs de protection : la dose efficace et la dose équivalente. La nécessité de disposer de grandeurs mesurables qui permettent de déterminer ces grandeurs de protection a conduit au développement de grandeurs opérationnelles. Les grandeurs opérationnelles à utiliser pour la surveillance de zone sont l'équivalent de dose ambiant et l'équivalent de dose directionnel. La grandeur opérationnelle à utiliser pour la surveillance individuelle est l'équivalent de dose individuel.
II.2. Définition des termes utilisés dans la présente annexe
Les définitions suivantes s'appliquent au sens du présent arrêté.
II.2.1. Grandeurs physiques (par ordre alphabétique)
Dose absorbée (D) : énergie absorbée par unité de masse.

où :
 est l'énergie moyenne communiquée par le rayonnement ionisant à la matière dans un élément de volume ;
est l'énergie moyenne communiquée par le rayonnement ionisant à la matière dans un élément de volume ;
dm est la masse de la matière contenue dans cet élément de volume.
Le terme « dose absorbée » désigne la dose moyenne reçue par un tissu ou un organe.
L'unité de dose absorbée est le gray (Gy).
Equivalent de dose (H) : défini en un point dans un tissu, est le produit de la dose absorbée D et du facteur de qualité Q pour un rayonnement donné en ce point.
H = Q.D
L'unité d'équivalent de dose est le sievert (Sv).
Gray : unité de dose absorbée ; un gray (Gy) correspond à un joule par kilogramme (1 Gy = 1 J.kg-1).
Facteur de qualité (Q) : il est utilisé pour pondérer les doses absorbées en un point afin de tenir compte des caractéristiques d'un rayonnement et calculé à partir d'une fonction du transfert linéique d'énergie (L), au moyen de la formule suivante :

DL = dD/dL est la distribution de D dans L pour les particules chargées contribuant à la dose absorbée au point d'intérêt.
Les valeurs du facteur de qualité Q(L) en fonction du transfert linéique d'énergie dans l'eau L sont définies dans le tableau ci-dessous :

Sievert : unité d'équivalent de dose, de dose équivalente ou de dose efficace.
Sphère de l'ICRU : corps créé par l'ICRU (Commission internationale des unités et mesures radiologiques) pour figurer l'absorption par le corps humain de l'énergie issue des rayonnements ionisants ; il s'agit d'une sphère d'équivalent-tissu de 30 cm de diamètre, ayant une densité de 1 g.cm-3 et une composition massique de 76,2 % d'oxygène, 11,1 % de carbone, 10,1 % d'hydrogène et 2,6 % d'azote.
II.2.2. Grandeurs de protection (par ordre alphabétique)
Dose efficace (E) : somme des doses équivalentes pondérées délivrées dans les différents tissus et organes du corps, mentionnés au II.4 du présent arrêté, par suite d'une exposition interne et externe. Elle est définie par la formule :

où :
DT, R est la moyenne pour l'organe ou le tissu T de la dose absorbée du rayonnement R ;
wR est le facteur de pondération radiologique pour le rayonnement R ;
wT est le facteur de pondération tissulaire pour le tissu ou l'organe T.
Les valeurs de wR et wT sont respectivement indiquées au II.3 et II.4. L'unité de dose efficace est le sievert (Sv).
Dose équivalente à un tissu ou un organe (HT) : dose absorbée par le tissu ou l'organe T, pondérée suivant le type et l'énergie du rayonnement R. Elle est donnée par la formule :
HT, R = wRDT, R
où :
DT, R est la moyenne pour l'organe ou le tissu T de la dose absorbée du rayonnement R ;
wR est le facteur de pondération radiologique pour le rayonnement R.
Lorsque le champ de rayonnement comprend des rayonnements de types et d'énergies correspondant à différentes valeurs de wR la dose équivalente HT est donnée par la formule :

Les valeurs appropriées de wR sont indiquées au II.3. L'unité de dose équivalente est le sievert (Sv).
Remarques :
Facteur de pondération radiologique (wR) : facteur adimensionnel caractéristique d'un rayonnement utilisé pour pondérer la dose absorbée par un tissu ou un organe. Les valeurs de wR sont indiquées au II.3.
Facteur de pondération tissulaire (wT) : facteur adimensionnel caractéristique d'un organe ou d'un tissu (T) utilisé pour pondérer la dose équivalente à ce tissu ou à cet organe. Les valeurs de wT sont indiquées au II.4.
II.2.3. Grandeurs opérationnelles (par ordre alphabétique)
Champ expansé : champ dérivé du champ réel, où la fluence et ses distributions directionnelle et énergétique ont les mêmes valeurs dans tout le volume concerné que le champ réel au point de référence.
Champ expansé et unidirectionnel : champ de rayonnement dans lequel la fluence et ses distributions directionnelle et énergétique sont les mêmes que dans le champ expansé mais où la fluence est unidirectionnelle.
Equivalent de dose ambiant H*(d) : équivalent de dose en un point du champ de rayonnement qui serait produit par le champ expansé et unidirectionnel correspondant, dans la sphère de l'ICRU, à une profondeur d, sur le rayon opposé à la direction du champ unidirectionnel. L'unité d'équivalent de dose ambiant est le sievert (Sv).
Equivalent de dose directionnel H'(d,Ω) : équivalent de dose en un point du champ de rayonnement qui serait produit par le champ expansé correspondant dans la sphère de l'ICRU, à une profondeur d, sur un rayon d'une direction spécifiée Ω. L'unité d'équivalent de dose directionnel est le sievert (Sv).
Equivalent de dose individuel Hp(d) : équivalent de dose dans les tissus mous, en un point du corps situé à une profondeur d. L'unité d'équivalent de dose individuel est le sievert (Sv).
II.3. Valeurs du facteur de pondération radiologique wR
Les valeurs du facteur de pondération radiologique wR dépendent du type et de la qualité du champ externe de rayonnement ou du type et de la qualité du rayonnement émis par un radionucléide incorporé.
Lorsque le champ de rayonnement se compose de types et d'énergies possédant différentes valeurs de wR, la dose absorbée doit être divisée en composantes de rayonnement affectées de leur valeur de wR respective et additionnées pour obtenir la dose équivalente dans le tissu ou l'organe considéré. Elle peut aussi s'exprimer par une distribution continue en énergie où chaque élément de dose absorbée provenant de la gamme d'énergies comprise entre E et E + dE est multiplié par la valeur attribuée à wR conformément au tableau ci-dessous.
| Type et gamme d'énergie | Facteur de pondération radiologique wR | 
|---|---|
| Photons, toutes énergies | 1 | 
| Electrons et muons, toutes énergies | 1 | 
| Neutrons, toutes énergies | Une courbe continue en fonction de l'énergie des neutrons | 
| Protons et pions chargés | 2 | 
| Particules alpha, fragments de fission, ions lourds | 20 | 
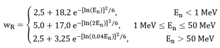
Les fonctions continues suivantes permettent de calculer les facteurs de pondération pour les rayonnements des neutrons :

où En est l'énergie des neutrons en MeV.
II.4. Valeurs du facteur de pondération tissulaire wT
Les valeurs du facteur de pondération tissulaire wT ont été déterminées à partir d'une population de référence comprenant un nombre égal de personnes des deux sexes et représentant un large éventail d'âges. Dans la détermination de la dose efficace, elles s'appliquent aux travailleurs et à la population dans son ensemble, indépendamment du sexe.
Les valeurs du facteur de pondération tissulaire wT sont les suivantes :
| Tissu ou organe | Facteur de pondération tissulaire wT | 
|---|---|
| Moelle osseuse (rouge), côlon, poumons, estomac, sein, tissus restants | 0,12 | 
| Gonades | 0,08 | 
| Vessie, œsophage, foie, thyroïde | 0,04 | 
| Surface osseuse, cerveau, glandes salivaires, peau | 0,01 | 
Pour les calculs, les « tissus restants » sont les suivants : glandes surrénales, région extrathoracique, vésicule biliaire, cœur, reins, ganglions lymphatiques, muscle, muqueuse buccale, pancréas, prostate (homme), intestin grêle, rate, thymus, utérus/col de l'utérus (femme). Le wT pour les tissus restants (0,12) s'applique à la moyenne arithmétique des doses de ces treize organes et tissus pour chaque sexe. Une seule valeur de dose efficace est utilisée pour les deux sexes. Les facteurs de pondération tissulaires sont des valeurs moyennes pour les deux sexes et tous âges confondus pour tous les organes et tissus, y compris le sein de la femme et de l'homme, le testicule et l'ovaire (gonades). La dose efficace est calculée à partir des doses équivalentes évaluées pour un organe ou un tissu T de l'homme de référence de la Commission Internationale de Protection Radiologique (CIPR)  et de la femme de référence de la CIPR
 et de la femme de référence de la CIPR  , selon l'équation suivante :
 , selon l'équation suivante :

II.5. Grandeurs à utiliser pour le rayonnement externe
Les grandeurs à utiliser pour le rayonnement externe sont :
1° Pour la surveillance individuelle, l'équivalent de dose individuel Hp(d), où d est la profondeur en mm dans le corps ;
2° Pour la surveillance de zone, l'équivalent de dose ambiant H*(d) et l'équivalent de dose directionnel H'(d,Ω), où d est la profondeur sous la surface de la sphère de l'ICRU définie au II.2 et Ω l'angle d'incidence.
Pour l'évaluation de la dose efficace, la profondeur est de 10 mm.
Pour les évaluations des doses équivalentes aux extrémités et à la peau, elle est de 0,07 mm et pour le cristallin, elle est de 3 mm.
Annexe III : Valeurs de dose efficace par unité d'activité incorporée de chaque radionucléide ingéré ou inhalé
L'activité incorporée est définie comme l'activité des radionucléides pénétrant dans l'organisme à partir du milieu ambiant. L'unité de l'activité incorporée est le becquerel (Bq).
III.1. Valeurs de dose efficace par unité d'activité incorporée de chaque radionucléide ingéré ou inhalé applicables à la population
les tableaux 1.1 et 1.2 indiquent les valeurs de dose efficace engagée par unité d'activité incorporée de radionucléides ingérés ou inhalés, applicables à la population, ainsi qu'aux jeunes travailleurs jusqu'à 18 ans, à l'exception de celles pour les descendants du radon 222 et du radon 220 faisant l'objet du paragraphe III.3.
Ces valeurs sont exprimées en sievert par becquerel (Sv.Bq-1).
Le tableau 1.1, extrait de la publication CIPR 119, présente, pour l'ingestion, les valeurs pour la population.
Le tableau 1.2, extrait de la publication CIPR 119, présente, pour l'inhalation d'aérosols, les valeurs correspondant à différents types d'absorption pulmonaire pour la population. Les types d'absorption pulmonaire sont liés à la forme chimique de l'élément considéré. Le type d'absorption pulmonaire qu'il est recommandé d'utiliser par défaut, dans le cas où l'on ne dispose d'aucune information précise sur la forme chimique du radionucléide, est indiqué dans ce tableau pour 31 éléments. Pour les 60 autres éléments, les types d'absorption pulmonaire recommandés par défaut dans le tableau 3.2 sont utilisés. Les formes chimiques décrites dans le tableau 3.2 permettent d'associer un type d'absorption pulmonaire à tous les éléments du tableau 1.2. Le diamètre aérodynamique médian en activité retenu par défaut pour l'inhalation d'aérosols par la population est de 1 µm. Un autre diamètre aérodynamique médian en activité peut être utilisé s'il existe des données démontrant que la population inhale un aérosol avec ce diamètre.
Le tableau 2.1, extrait de la publication CIPR 119, présente les valeurs de dose efficace engagée par unité d'activité incorporée du fait de l'inhalation de gaz et vapeurs solubles ou réactifs par la population, ainsi qu'aux jeunes travailleurs jusqu'à 18 ans. Ces valeurs sont exprimées en Sv.Bq-1.
Le tableau 2.2, extrait de la publication CIPR 119, indique les coefficients de dose efficace applicables à l'exposition aux gaz inertes de la population, ainsi qu'aux jeunes travailleurs jusqu'à 18 ans. Pour la plupart des radionucléides de ce type, l'exposition interne résultant de gaz absorbés dans les tissus de l'organisme ou contenus dans les poumons est négligeable si elle est comparée à l'exposition externe de la peau et des autres organes lorsqu'une personne est immergée dans un gaz radioactif. Par conséquent, les coefficients de dose applicables sont exprimés en dose efficace par jour d'exposition et par unité d'activité volumique dans l'air (Sv.j-1/Bq.m-3).
Le calcul des doses efficaces provenant de l'exposition au radon 222 n'a pas été indiqué dans le tableau 2.2. Il résulte essentiellement de l'inhalation de leurs descendants à vie courte et les données correspondantes figurent aux paragraphes III.3. et III.3.1.
III.2. Valeurs de dose efficace par unité d'activité incorporée de chaque radionucléide ingéré ou inhalé applicables aux travailleurs exposés
Le tableau 2.2, extrait de la publication CIPR 119, indique les coefficients de dose efficace applicables aux travailleurs exposés aux gaz inertes. Pour la plupart des radionucléides de ce type, l'exposition interne résultant de gaz absorbés dans les tissus de l'organisme ou contenus dans les poumons est négligeable si elle est comparée à l'exposition externe de la peau et des autres organes lorsqu'une personne est immergée dans un gaz radioactif. Par conséquent, les coefficients de dose applicables sont exprimés en dose efficace par jour d'exposition et par unité d'activité volumique dans l'air (Sv.j-1/Bq.m-3).
Les coefficients de dose efficace applicables à l'exposition des travailleurs exposés sont présentés pour les gaz inertes dans le tableau 2.2 et exprimés en dose efficace par jour d'exposition et par unité d'activité volumique dans l'air (Sv.j-1/Bq.m-3).
Le tableau 3.1, extrait des publications CIPR 134, 137, 141 et 151, concerne les radionucléides pour lesquels la CIPR a publié des mises à jour entre 2016 et 2022.
Il indique les valeurs de dose efficace engagée par unité d'activité incorporée de radionucléides ingérés, applicables aux travailleurs exposés, à l'exception de celles pour les descendants du radon 222 et du radon 220 faisant l'objet du paragraphe III.3. Ces valeurs sont exprimées en Sv.Bq-1. Les valeurs sont accompagnées d'une description des formes chimiques correspondantes lorsque de telles formes ont été identifiées. La mention « Composés non spécifiés » signifie qu'en l'absence d'information spécifique sur la forme chimique, le coefficient de dose relatif à cette mention peut être retenu par défaut.
Le tableau 3.2, extrait des publications CIPR 134, 137 et 141 et 151, concerne les radionucléides pour lesquels la CIPR a publié des mises à jour entre 2016 et 2022.
A l'exception de celles pour les descendants du radon 222 et du radon 220 faisant l'objet du paragraphe III.3, il indique les valeurs de dose efficace engagée par unité d'activité incorporée de radionucléides inhalés, applicables aux travailleurs exposés. Ces valeurs sont exprimées en Sv.Bq-1.
Le coefficient de dose retenu par défaut pour le travailleur inhalant un aérosol est celui correspondant à un diamètre aérodynamique médian en activité des particules de 5 µm. Le coefficient de dose correspondant à 1 µm peut être utilisé s'il existe des données démontrant que le travailleur inhale un aérosol avec ce diamètre.
Dans ce tableau, les coefficients de dose s'appliquant aux aérosols sont donnés pour tous les radionucléides et pour les gaz ou vapeurs s'ils existent. Les aérosols et gaz sont désignés par un type d'absorption pulmonaire accompagné d'une description des formes chimiques correspondantes de l'élément. La mention « Pas de forme chimique particulière assignée » signifie qu'aucune forme chimique de l'élément n'a été identifiée comme appartenant à ce type d'absorption pulmonaire. La mention « Composés non spécifiés » signifie qu'en l'absence d'information spécifique, le type d'absorption pulmonaire indiqué sous cette mention peut être retenu par défaut.
III.3. Dose efficace engagée et coefficients de dose pour les descendants du radon 222 et du radon 220
Pour les descendants du radon 222 et du radon 220, les coefficients de dose suivants, extraits de la publication 137 de la CIPR et exprimés en dose efficace par unité d'exposition à l'énergie alpha potentielle volumique (Sv/J.h.m-3), sont appliqués.
L'énergie alpha potentielle des descendants du radon 222 est l'énergie alpha totale émise pendant la désintégration des atomes des descendants du radon 222 le long de la chaîne de désintégration jusqu'au polonium 214 inclus. Les émetteurs concernés sont le polonium 218, le plomb 214, le bismuth 214 et le polonium 214.
L'énergie alpha potentielle des descendants du radon 220 est l'énergie alpha totale émise pendant la désintégration des atomes des descendants du radon 220 le long de la chaîne de désintégration jusqu'au polonium 212 inclus. Les émetteurs concernés sont le polonium 216, le plomb 212, le bismuth 212 et le polonium 212.
L'unité de l'énergie alpha potentielle des descendants du radon 222 ou du radon 220 est le joule (J).
Pour une exposition à une énergie alpha potentielle volumique donnée (EAPV) pendant un temps donné (T), l'unité est le J.h.m-3.
Descendants du radon 222 :
La dose efficace engagée résultant de l'inhalation des descendants du radon 222 est donnée par la formule suivante :
Einterne = Cdradon 222 . EAPVradon 222 . T
où :
Einterne est la dose efficace engagée résultant de l'inhalation des descendants du radon 222 exprimée en sievert (Sv) ;
Cdradon 222 est le coefficient de dose applicable pour les descendants du radon 222 (Sv/J.h.m-3) ;
EAPVradon 222 est l'énergie alpha potentielle volumique des descendants du radon 222 (J.m-3) ;
T est le temps d'exposition en heures (h).
Si le facteur d'équilibre est connu, la dose efficace engagée résultant de l'inhalation des descendants du radon 222 peut être déterminée à partir de la formule suivante :
Einterne = Cdradon 222 . Feq . AVradon 222 . 5,56.10-9.T
où :
Einterne est la dose efficace engagée résultant de l'inhalation des descendants du radon 222 exprimée en sievert (Sv) ;
Cdradon 222 est le coefficient de dose applicable pour les descendants du radon 222 (Sv/J.h.m-3) ;
Feq est le facteur d'équilibre ;
AVradon 222 est l'activité volumique du radon 222 (Bq.m-3) ;
5,56.10-9 est l'énergie alpha potentielle volumique des descendants du radon 222 pour un becquerel de radon 222 en équilibre avec ses descendants (J/Bq) ;
T est le temps d'exposition en heures (h).
Descendants du radon 220 :
La dose efficace engagée résultant de l'inhalation des descendants du radon 220 est donnée par la formule suivante :
Einterne = Cdradon 220. EAPVradon220 . T
où :
Einterne est la dose efficace engagée résultant de l'inhalation des descendants du radon 220 exprimée en sievert (Sv) ;
Cdradon 220 est le coefficient de dose applicable pour les descendants du radon 220 (Sv/J.h.m-3) ;
EAPVradon220 est l'énergie alpha potentielle volumique des descendants du radon 220 (J.m-3) ;
T est le temps d'exposition en heures (h).
III.3.1. Coefficient de dose applicable à la population
| Type de lieux | Coefficient de dose pour les descendants du radon 222 applicable à la population (Sv/J.h.m-3) | 
|---|---|
| Habitations, établissements recevant du public | 3 | 
III.3.2. Coefficients de dose applicables aux travailleurs exposés
| Type de lieux de travail | Coefficient de dose pour les descendants du radon 222 applicable aux travailleurs exposés (Sv/J.h.m-3) | 
|---|---|
| Lieux de travail en intérieur où les travailleurs ont une activité majoritairement sédentaire (secteur tertiaire, bureaux…) | 3 | 
| Lieux de travail en intérieur où les travailleurs ont une activité majoritairement non sédentaire (activité physique significative : travaux, maintenance, entretien…) | 6 | 
| Concernant les lieux de travail spécifiques mentionnés au b) du 4° de l'article R. 4451-1 du code du travail, l'arrêté pris en application de l'article R. 4451-4 du même code dispose de modalités particulières pour le calcul de la dose efficace due au radon et peut définir des coefficients de dose applicables à certains types de lieux de travail spécifiques. | |
| Type de lieux de travail | Coefficient de dose pour les descendants du radon 220 applicable aux travailleurs exposés (Sv/J.h.m-3) | 
|---|---|
| Tout type de lieux de travail | 1,5 | 
III.4.Tableaux
Tableau 1.1. Doses efficaces engagées par unité d'activité incorporée par ingestion, exprimées en sievert par becquerel (Sv.Bq-1), applicables à la population ainsi qu'aux jeunes travailleurs jusqu'à 18 ans (sauf descendants du radon 222 et du radon 220), d'après les données de la publication 119 de la CIPR.
Tableau 1.2. Doses efficaces engagées par unité d'activité incorporée par inhalation d'aérosols, en Sv.Bq-1, applicables à la population ainsi qu'aux jeunes travailleurs jusqu'à 18 ans (sauf descendants du radon 222 et du radon 220), d'après les données de la publication 119 de la CIPR.
Tableau 2.1. Doses efficaces engagées par unité d'activité incorporée par inhalation de gaz et vapeurs solubles ou réactifs, en Sv.Bq-1, applicables à la population ainsi qu'aux jeunes travailleurs jusqu'à 18 ans, d'après les données de la publication 119 de la CIPR.
Tableau 2.2. Coefficients de dose efficace, exprimés en dose efficace par jour d'exposition et par unité d'activité volumique dans l'air (Sv.j-1/Bq.m-3), applicables à la population et aux travailleurs exposés aux gaz inertes, d'après les données de la publication 119 de la CIPR.
Tableau 3.1. Doses efficaces engagées par unité d'activité incorporée par ingestion, en Sv.Bq-1, applicables aux travailleurs exposés, d'après les données des publications 134, 137, 141 et 151 de la CIPR.
Tableau 3.2. Doses efficaces engagées par unité d'activité incorporée par inhalation, en Sv.Bq-1, applicables aux travailleurs exposés, d'après les données des publications 134, 137, 141 et 151 de la CIPR.
Tableau 1.1. Doses efficaces engagées par unité d'activité incorporée par ingestion, exprimées en sievert par becquerel (Sv.Bq-1), applicables à la population ainsi qu'aux jeunes travailleurs jusqu'à 18 ans (sauf descendants du radon 222 et du radon 220), d'après les données de la publication 119 de la CIPR
| Radionucléide | Age ≤ 1 an | 1-2 ans | 2-7 ans | 7-12 ans | 12-17 ans | > 17 ans | 
|---|---|---|---|---|---|---|
| h(g) (Sv.Bq-1) | h(g) (Sv.Bq-1) | h(g) (Sv.Bq-1) | h(g) (Sv.Bq-1) | h(g) (Sv.Bq-1) | h(g) (Sv.Bq-1) | |
| Hydrogène | ||||||
| Tritium organiquement lié | 1,2.10-10 | 1,2.10-10 | 7,3.10-11 | 5,7.10-11 | 4,2.10-11 | 4,2.10-11 | 
| Eau tritiée | 6,4.10-11 | 4,8.10-11 | 3,1.10-11 | 2,3.10-11 | 1,8.10-11 | 1,8.10-11 | 
| Béryllium | ||||||
| Be-7 | 1,8.10-10 | 1,3.10-10 | 7,7.10-11 | 5,3.10-11 | 3,5.10-11 | 2,8.10-11 | 
| Be-10 | 1,4.10-8 | 8,0.10-9 | 4,1.10-9 | 2,4.10-9 | 1,4.10-9 | 1,1.10-9 | 
| Carbone | ||||||
| C-11 | 2,6.10-10 | 1,5.10-10 | 7,3.10-11 | 4,3.10-11 | 3,0.10-11 | 2,4.10-11 | 
| C-14 | 1,4.10-9 | 1,6.10-9 | 9,9.10-10 | 8,0.10-10 | 5,7.10-10 | 5,8.10-10 | 
| Fluor | ||||||
| F-18 | 5,2.10-10 | 3,0.10-10 | 1,5.10-10 | 9,1.10-11 | 6,2.10-11 | 4,9.10-11 | 
| Sodium | ||||||
| Na-22 | 2,1.10-8 | 1,5.10-8 | 8,4.10-9 | 5,5.10-9 | 3,7.10-9 | 3,2.10-9 | 
| Na-24 | 3,5.10-9 | 2,3.10-9 | 1,2.10-9 | 7,7.10-10 | 5,2.10-10 | 4,3.10-10 | 
| Magnésium | ||||||
| Mg-28 | 1,2.10-8 | 1,4.10-8 | 7,4.10-9 | 4,5.10-9 | 2,7.10-9 | 2,2.10-9 | 
| Aluminium | ||||||
| Al-26 | 3,4.10-8 | 2,1.10-8 | 1,1.10-8 | 7,1.10-9 | 4,3.10-9 | 3,5.10-9 | 
| Silicium | ||||||
| Si-31 | 1,9.10-9 | 1,0.10-9 | 5,1.10-10 | 3,0.10-10 | 1,8.10-10 | 1,6.10-10 | 
| Si-32 | 7,3.10-9 | 4,1.10-9 | 2,0.10-9 | 1,2.10-9 | 7,0.10-10 | 5,6.10-10 | 
| Phosphore | ||||||
| P-32 | 3,1.10-8 | 1,9.10-8 | 9,4.10-9 | 5,3.10-9 | 3,1.10-9 | 2,4.10-9 | 
| P-33 | 2,7.10-9 | 1,8.10-9 | 9,1.10-10 | 5,3.10-10 | 3,1.10-10 | 2,4.10-10 | 
| Soufre | ||||||
| S-35 (organique) | 7,7.10-9 | 5,4.10-9 | 2,7.10-9 | 1,6.10-9 | 9,5.10-10 | 7,7.10-10 | 
| S-35 (inorganique) | 1,3.10-9 | 8,7.10-10 | 4,4.10-10 | 2,7.10-10 | 1,6.10-10 | 1,3.10-10 | 
| Chlore | ||||||
| Cl-36 | 9,8.10-9 | 6,3.10-9 | 3,2.10-9 | 1,9.10-9 | 1,2.10-9 | 9,3.10-10 | 
| Cl-38 | 1,4.10-9 | 7,7.10-10 | 3,8.10-10 | 2,2.10-10 | 1,5.10-10 | 1,2.10-10 | 
| Cl-39 | 9,7.10-10 | 5,5.10-10 | 2,7.10-10 | 1,6.10-10 | 1,1.10-10 | 8,5.10-11 | 
| Potassium | ||||||
| K-40 | 6,2.10-8 | 4,2.10-8 | 2,1.10-8 | 1,3.10-8 | 7,6.10-9 | 6,2.10-9 | 
| K-42 | 5,1.10-9 | 3,0.10-9 | 1,5.10-9 | 8,6.10-10 | 5,4.10-10 | 4,3.10-10 | 
| K-43 | 2,3.10-9 | 1,4.10-9 | 7,6.10-10 | 4,7.10-10 | 3,0.10-10 | 2,5.10-10 | 
| K-44 | 1,0.10-9 | 5,5.10-10 | 2,7.10-10 | 1,6.10-10 | 1,1.10-10 | 8,4.10-11 | 
| K-45 | 6,2.10-10 | 3,5.10-10 | 1,7.10-10 | 9,9.10-11 | 6,8.10-11 | 5,4.10-11 | 
| Calcium | ||||||
| Ca-41 | 1,2.10-9 | 5,2.10-10 | 3,9.10-10 | 4,8.10-10 | 5,0.10-10 | 1,9.10-10 | 
| Ca-45 | 1,1.10-8 | 4,9.10-9 | 2,6.10-9 | 1,8.10-9 | 1,3.10-9 | 7,1.10-10 | 
| Ca-47 | 1,3.10-8 | 9,3.10-9 | 4,9.10-9 | 3,0.10-9 | 1,8.10-9 | 1,6.10-9 | 
| Scandium | ||||||
| Sc-43 | 1,8.10-9 | 1,2.10-9 | 6,1.10-10 | 3,7.10-10 | 2,3.10-10 | 1,9.10-10 | 
| Sc-44 | 3,5.10-9 | 2,2.10-9 | 1,2.10-9 | 7,1.10-10 | 4,4.10-10 | 3,5.10-10 | 
| Sc-44m | 2,4.10-8 | 1,6.10-8 | 8,3.10-9 | 5,1.10-9 | 3,1.10-9 | 2,4.10-9 | 
| Sc-46 | 1,1.10-8 | 7,9.10-9 | 4,4.10-9 | 2,9.10-9 | 1,8.10-9 | 1,5.10-9 | 
| Sc-47 | 6,1.10-9 | 3,9.10-9 | 2,0.10-9 | 1,2.10-9 | 6,8.10-10 | 5,4.10-10 | 
| Sc-48 | 1,3.10-8 | 9,3.10-9 | 5,1.10-9 | 3,3.10-9 | 2,1.10-9 | 1,7.10-9 | 
| Sc-49 | 1,0.10-9 | 5,7.10-10 | 2,8.10-10 | 1,6.10-10 | 1,0.10-10 | 8,2.10-11 | 
| Titane | ||||||
| Ti-44 | 5,5.10-8 | 3,1.10-8 | 1,7.10-8 | 1,1.10-8 | 6,9.10-9 | 5,8.10-9 | 
| Ti-45 | 1,6.10-9 | 9,8.10-10 | 5,0.10-10 | 3,1.10-10 | 1,9.10-10 | 1,5.10-10 | 
| Vanadium | ||||||
| V-47 | 7,3.10-10 | 4,1.10-10 | 2,0.10-10 | 1,2.10-10 | 8,0.10-11 | 6,3.10-11 | 
| V-48 | 1,5.10-8 | 1,1.10-8 | 5,9.10-9 | 3,9.10-9 | 2,5.10-9 | 2,0.10-9 | 
| V-49 | 2,2.10-10 | 1,4.10-10 | 6,9.10-11 | 4,0.10-11 | 2,3.10-11 | 1,8.10-11 | 
| Chrome | ||||||
| Cr-48 (composés hexavalents) | 1,4.10-9 | 9,9.10-10 | 5,7.10-10 | 3,8.10-10 | 2,5.10-10 | 2,0.10-10 | 
| Cr-48 (composés trivalents) | 1,4.10-9 | 9,9.10-10 | 5,7.10-10 | 3,8.10-10 | 2,5.10-10 | 2,0.10-10 | 
| Cr-49 (composés hexavalents) | 6,8.10-10 | 3,9.10-10 | 2,0.10-10 | 1,1.10-10 | 7,7.10-11 | 6,1.10-11 | 
| Cr-49 (composés trivalents) | 6,8.10-10 | 3,9.10-10 | 2,0.10-10 | 1,1.10-10 | 7,7.10-11 | 6,1.10-11 | 
| Cr-51 (composés hexavalents) | 3,5.10-10 | 2,3.10-10 | 1,2.10-10 | 7,8.10-11 | 4,8.10-11 | 3,8.10-11 | 
| Cr-51 (composés trivalents) | 3,3.10-10 | 2,2.10-10 | 1,2.10-10 | 7,5.10-11 | 4,6.10-11 | 3,7.10-11 | 
| Manganèse | ||||||
| Mn-51 | 1,1.10-9 | 6,1.10-10 | 3,0.10-10 | 1,8.10-10 | 1,2.10-10 | 9,3.10-11 | 
| Mn-52 | 1,2.10-8 | 8,8.10-9 | 5,1.10-9 | 3,4.10-9 | 2,2.10-9 | 1,8.10-9 | 
| Mn-52m | 7,8.10-10 | 4,4.10-10 | 2,2.10-10 | 1,3.10-10 | 8,8.10-11 | 6,9.10-11 | 
| Mn-53 | 4,1.10-10 | 2,2.10-10 | 1,1.10-10 | 6,5.10-11 | 3,7.10-11 | 3,0.10-11 | 
| Mn-54 | 5,4.10-9 | 3,1.10-9 | 1,9.10-9 | 1,3.10-9 | 8,7.10-10 | 7,1.10-10 | 
| Mn-56 | 2,7.10-9 | 1,7.10-9 | 8,5.10-10 | 5,1.10-10 | 3,2.10-10 | 2,5.10-10 | 
| Fer | ||||||
| Fe-52 | 1,3.10-8 | 9,1.10-9 | 4,6.10-9 | 2,8.10-9 | 1,7.10-9 | 1,4.10-9 | 
| Fe-55 | 7,6.10-9 | 2,4.10-9 | 1,7.10-9 | 1,1.10-9 | 7,7.10-10 | 3,3.10-10 | 
| Fe-59 | 3,9.10-8 | 1,3.10-8 | 7,5.10-9 | 4,7.10-9 | 3,1.10-9 | 1,8.10-9 | 
| Fe-60 | 7,9.10-7 | 2,7.10-7 | 2,7.10-7 | 2,5.10-7 | 2,3.10-7 | 1,1.10-7 | 
| Cobalt | ||||||
| Co-55 | 6,0.10-9 | 5,5.10-9 | 2,9.10-9 | 1,8.10-9 | 1,1.10-9 | 1,0.10-9 | 
| Co-56 | 2,5.10-8 | 1,5.10-8 | 8,8.10-9 | 5,8.10-9 | 3,8.10-9 | 2,5.10-9 | 
| Co-57 | 2,9.10-9 | 1,6.10-9 | 8,9.10-10 | 5,8.10-10 | 3,7.10-10 | 2,1.10-10 | 
| Co-58 | 7,3.10-9 | 4,4.10-9 | 2,6.10-9 | 1,7.10-9 | 1,1.10-9 | 7,4.10-10 | 
| Co-58m | 2,0.10-10 | 1,5.10-10 | 7,8.10-11 | 4,7.10-11 | 2,8.10-11 | 2,4.10-11 | 
| Co-60 | 5,4.10-8 | 2,7.10-8 | 1,7.10-8 | 1,1.10-8 | 7,9.10-9 | 3,4.10-9 | 
| Co-60m | 2,2.10-11 | 1,2.10-11 | 5,7.10-12 | 3,2.10-12 | 2,2.10-12 | 1,7.10-12 | 
| Co-61 | 8,2.10-10 | 5,1.10-10 | 2,5.10-10 | 1,4.10-10 | 9,2.10-11 | 7,4.10-11 | 
| Co-62m | 5,3.10-10 | 3,0.10-10 | 1,5.10-10 | 8,7.10-11 | 6,0.10-11 | 4,7.10-11 | 
| Nickel | ||||||
| Ni-56 | 5,3.10-9 | 4,0.10-9 | 2,3.10-9 | 1,6.10-9 | 1,1.10-9 | 8,6.10-10 | 
| Ni-57 | 6,8.10-9 | 4,9.10-9 | 2,7.10-9 | 1,7.10-9 | 1,1.10-9 | 8,7.10-10 | 
| Ni-59 | 6,4.10-10 | 3,4.10-10 | 1,9.10-10 | 1,1.10-10 | 7,3.10-11 | 6,3.10-11 | 
| Ni-63 | 1,6.10-9 | 8,4.10-10 | 4,6.10-10 | 2,8.10-10 | 1,8.10-10 | 1,5.10-10 | 
| Ni-65 | 2,1.10-9 | 1,3.10-9 | 6,3.10-10 | 3,8.10-10 | 2,3.10-10 | 1,8.10-10 | 
| Ni-66 | 3,3.10-8 | 2,2.10-8 | 1,1.10-8 | 6,6.10-9 | 3,7.10-9 | 3,0.10-9 | 
| Cuivre | ||||||
| Cu-60 | 7,0.10-10 | 4,2.10-10 | 2,2.10-10 | 1,3.10-10 | 8,9.10-11 | 7,0.10-11 | 
| Cu-61 | 7,1.10-10 | 7,5.10-10 | 3,9.10-10 | 2,3.10-10 | 1,5.10-10 | 1,2.10-10 | 
| Cu-64 | 5,2.10-10 | 8,3.10-10 | 4,2.10-10 | 2,5.10-10 | 1,5.10-10 | 1,2.10-10 | 
| Cu-67 | 2,1.10-9 | 2,4.10-9 | 1,2.10-9 | 7,2.10-10 | 4,2.10-10 | 3,4.10-10 | 
| Zinc | ||||||
| Zn-62 | 4,2.10-9 | 6,5.10-9 | 3,3.10-9 | 2,0.10-9 | 1,2.10-9 | 9,4.10-10 | 
| Zn-63 | 8,7.10-10 | 5,2.10-10 | 2,6.10-10 | 1,5.10-10 | 1,0.10-10 | 7,9.10-11 | 
| Zn-65 | 3,6.10-8 | 1,6.10-8 | 9,7.10-9 | 6,4.10-9 | 4,5.10-9 | 3,9.10-9 | 
| Zn-69 | 3,5.10-10 | 2,2.10-10 | 1,1.10-10 | 6,0.10-11 | 3,9.10-11 | 3,1.10-11 | 
| Zn-69m | 1,3.10-9 | 2,3.10-9 | 1,2.10-9 | 7,0.10-10 | 4,1.10-10 | 3,3.10-10 | 
| Zn-71m | 1,4.10-9 | 1,5.10-9 | 7,8.10-10 | 4,8.10-10 | 3,0.10-10 | 2,4.10-10 | 
| Zn-72 | 8,7.10-9 | 8,6.10-9 | 4,5.10-9 | 2,8.10-9 | 1,7.10-9 | 1,4.10-9 | 
| Gallium | ||||||
| Ga-65 | 4,3.10-10 | 2,4.10-10 | 1,2.10-10 | 6,9.10-11 | 4,7.10-11 | 3,7.10-11 | 
| Ga-66 | 1,2.10-8 | 7,9.10-9 | 4,0.10-9 | 2,5.10-9 | 1,5.10-9 | 1,2.10-9 | 
| Ga-67 | 1,8.10-9 | 1,2.10-9 | 6,4.10-10 | 4,0.10-10 | 2,4.10-10 | 1,9.10-10 | 
| Ga-68 | 1,2.10-9 | 6,7.10-10 | 3,4.10-10 | 2,0.10-10 | 1,3.10-10 | 1,0.10-10 | 
| Ga-70 | 3,9.10-10 | 2,2.10-10 | 1,0.10-10 | 5,9.10-11 | 4,0.10-11 | 3,1.10-11 | 
| Ga-72 | 1,0.10-8 | 6,8.10-9 | 3,6.10-9 | 2,2.10-9 | 1,4.10-9 | 1,1.10-9 | 
| Ga-73 | 3,0.10-9 | 1,9.10-9 | 9,3.10-10 | 5,5.10-10 | 3,3.10-10 | 2,6.10-10 | 
| Germanium | ||||||
| Ge-66 | 8,3.10-10 | 5,3.10-10 | 2,9.10-10 | 1,9.10-10 | 1,3.10-10 | 1,0.10-10 | 
| Ge-67 | 7,7.10-10 | 4,2.10-10 | 2,1.10-10 | 1,2.10-10 | 8,2.10-11 | 6,5.10-11 | 
| Ge-68 | 1,2.10-8 | 8,0.10-9 | 4,2.10-9 | 2,6.10-9 | 1,6.10-9 | 1,3.10-9 | 
| Ge-69 | 2,0.10-9 | 1,3.10-9 | 7,1.10-10 | 4,6.10-10 | 3,0.10-10 | 2,4.10-10 | 
| Ge-71 | 1,2.10-10 | 7,8.10-11 | 4,0.10-11 | 2,4.10-11 | 1,5.10-11 | 1,2.10-11 | 
| Ge-75 | 5,5.10-10 | 3,1.10-10 | 1,5.10-10 | 8,7.10-11 | 5,9.10-11 | 4,6.10-11 | 
| Ge-77 | 3,0.10-9 | 1,8.10-9 | 9,9.10-10 | 6,2.10-10 | 4,1.10-10 | 3,3.10-10 | 
| Ge-78 | 1,2.10-9 | 7,0.10-10 | 3,6.10-10 | 2,2.10-10 | 1,5.10-10 | 1,2.10-10 | 
| Arsenic | ||||||
| As-69 | 6,6.10-10 | 3,7.10-10 | 1,8.10-10 | 1,1.10-10 | 7,2.10-11 | 5,7.10-11 | 
| As-70 | 1,2.10-9 | 7,8.10-10 | 4,1.10-10 | 2,5.10-10 | 1,7.10-10 | 1,3.10-10 | 
| As-71 | 2,8.10-9 | 2,8.10-9 | 1,5.10-9 | 9,3.10-10 | 5,7.10-10 | 4,6.10-10 | 
| As-72 | 1,1.10-8 | 1,2.10-8 | 6,3.10-9 | 3,8.10-9 | 2,3.10-9 | 1,8.10-9 | 
| As-73 | 2,6.10-9 | 1,9.10-9 | 9,3.10-10 | 5,6.10-10 | 3,2.10-10 | 2,6.10-10 | 
| As-74 | 1,0.10-8 | 8,2.10-9 | 4,3.10-9 | 2,6.10-9 | 1,6.10-9 | 1,3.10-9 | 
| As-76 | 1,0.10-8 | 1,1.10-8 | 5,8.10-9 | 3,4.10-9 | 2,0.10-9 | 1,6.10-9 | 
| As-77 | 2,7.10-9 | 2,9.10-9 | 1,5.10-9 | 8,7.10-10 | 5,0.10-10 | 4,0.10-10 | 
| As-78 | 2,0.10-9 | 1,4.10-9 | 7,0.10-10 | 4,1.10-10 | 2,7.10-10 | 2,1.10-10 | 
| Sélénium | ||||||
| Se-70 | 1,0.10-9 | 7,1.10-10 | 3,6.10-10 | 2,2.10-10 | 1,5.10-10 | 1,2.10-10 | 
| Se-73 | 1,6.10-9 | 1,4.10-9 | 7,4.10-10 | 4,8.10-10 | 2,5.10-10 | 2,1.10-10 | 
| Se-73m | 2,6.10-10 | 1,8.10-10 | 9,5.10-11 | 5,9.10-11 | 3,5.10-11 | 2,8.10-11 | 
| Se-75 | 2,0.10-8 | 1,3.10-8 | 8,3.10-9 | 6,0.10-9 | 3,1.10-9 | 2,6.10-9 | 
| Se-79 | 4,1.10-8 | 2,8.10-8 | 1,9.10-8 | 1,4.10-8 | 4,1.10-9 | 2,9.10-9 | 
| Se-81 | 3,4.10-10 | 1,9.10-10 | 9,0.10-11 | 5,1.10-11 | 3,4.10-11 | 2,7.10-11 | 
| Se-81m | 6,0.10-10 | 3,7.10-10 | 1,8.10-10 | 1,1.10-10 | 6,7.10-11 | 5,3.10-11 | 
| Se-83 | 4,6.10-10 | 2,9.10-10 | 1,5.10-10 | 8,7.10-11 | 5,9.10-11 | 4,7.10-11 | 
| Brome | ||||||
| Br-74 | 9,0.10-10 | 5,2.10-10 | 2,6.10-10 | 1,5.10-10 | 1,1.10-10 | 8,4.10-11 | 
| Br-74m | 1,5.10-9 | 8,5.10-10 | 4,3.10-10 | 2,5.10-10 | 1,7.10-10 | 1,4.10-10 | 
| Br-75 | 8,5.10-10 | 4,9.10-10 | 2,5.10-10 | 1,5.10-10 | 9,9.10-11 | 7,9.10-11 | 
| Br-76 | 4,2.10-9 | 2,7.10-9 | 1,4.10-9 | 8,7.10-10 | 5,6.10-10 | 4,6.10-10 | 
| Br-77 | 6,3.10-10 | 4,4.10-10 | 2,5.10-10 | 1,7.10-10 | 1,1.10-10 | 9,6.10-11 | 
| Br-80 | 3,9.10-10 | 2,1.10-10 | 1,0.10-10 | 5,8.10-11 | 3,9.10-11 | 3,1.10-11 | 
| Br-80m | 1,4.10-9 | 8,0.10-10 | 3,9.10-10 | 2,3.10-10 | 1,4.10-10 | 1,1.10-10 | 
| Br-82 | 3,7.10-9 | 2,6.10-9 | 1,5.10-9 | 9,5.10-10 | 6,4.10-10 | 5,4.10-10 | 
| Br-83 | 5,3.10-10 | 3,0.10-10 | 1,4.10-10 | 8,3.10-11 | 5,5.10-11 | 4,3.10-11 | 
| Br-84 | 1,0.10-9 | 5,8.10-10 | 2,8.10-10 | 1,6.10-10 | 1,1.10-10 | 8,8.10-11 | 
| Rubidium | ||||||
| Rb-79 | 5,7.10-10 | 3,2.10-10 | 1,6.10-10 | 9,2.10-11 | 6,3.10-11 | 5,0.10-11 | 
| Rb-81 | 5,4.10-10 | 3,2.10-10 | 1,6.10-10 | 1,0.10-10 | 6,7.10-11 | 5,4.10-11 | 
| Rb-81m | 1,1.10-10 | 6,2.10-11 | 3,1.10-11 | 1,8.10-11 | 1,2.10-11 | 9,7.10-12 | 
| Rb-82m | 8,7.10-10 | 5,9.10-10 | 3,4.10-10 | 2,2.10-10 | 1,5.10-10 | 1,3.10-10 | 
| Rb-83 | 1,1.10-8 | 8,4.10-9 | 4,9.10-9 | 3,2.10-9 | 2,2.10-9 | 1,9.10-9 | 
| Rb-84 | 2,0.10-8 | 1,4.10-8 | 7,9.10-9 | 5,0.10-9 | 3,3.10-9 | 2,8.10-9 | 
| Rb-86 | 3,1.10-8 | 2,0.10-8 | 9,9.10-9 | 5,9.10-9 | 3,5.10-9 | 2,8.10-9 | 
| Rb-87 | 1,5.10-8 | 1,0.10-8 | 5,2.10-9 | 3,1.10-9 | 1,8.10-9 | 1,5.10-9 | 
| Rb-88 | 1,1.10-9 | 6,2.10-10 | 3,0.10-10 | 1,7.10-10 | 1,2.10-10 | 9,0.10-11 | 
| Rb-89 | 5,4.10-10 | 3,0.10-10 | 1,5.10-10 | 8,6.10-11 | 5,9.10-11 | 4,7.10-11 | 
| Strontium | ||||||
| Sr-80 | 3,7.10-9 | 2,3.10-9 | 1,1.10-9 | 6,5.10-10 | 4,2.10-10 | 3,4.10-10 | 
| Sr-81 | 8,4.10-10 | 4,9.10-10 | 2,4.10-10 | 1,4.10-10 | 9,6.10-11 | 7,7.10-11 | 
| Sr-82 | 7,2.10-8 | 4,1.10-8 | 2,1.10-8 | 1,3.10-8 | 8,7.10-9 | 6,1.10-9 | 
| Sr-83 | 3,4.10-9 | 2,7.10-9 | 1,4.10-9 | 9,1.10-10 | 5,7.10-10 | 4,9.10-10 | 
| Sr-85 | 7,7.10-9 | 3,1.10-9 | 1,7.10-9 | 1,5.10-9 | 1,3.10-9 | 5,6.10-10 | 
| Sr-85m | 4,5.10-11 | 3,0.10-11 | 1,7.10-11 | 1,1.10-11 | 7,8.10-12 | 6,1.10-12 | 
| Sr-87m | 2,4.10-10 | 1,7.10-10 | 9,0.10-11 | 5,6.10-11 | 3,6.10-11 | 3,0.10-11 | 
| Sr-89 | 3,6.10-8 | 1,8.10-8 | 8,9.10-9 | 5,8.10-9 | 4,0.10-9 | 2,6.10-9 | 
| Sr-90 | 2,3.10-7 | 7,3.10-8 | 4,7.10-8 | 6,0.10-8 | 8,0.10-8 | 2,8.10-8 | 
| Sr-91 | 5,2.10-9 | 4,0.10-9 | 2,1.10-9 | 1,2.10-9 | 7,4.10-10 | 6,5.10-10 | 
| Sr-92 | 3,4.10-9 | 2,7.10-9 | 1,4.10-9 | 8,2.10-10 | 4,8.10-10 | 4,3.10-10 | 
| Yttrium | ||||||
| Y-86 | 7,6.10-9 | 5,2.10-9 | 2,9.10-9 | 1,9.10-9 | 1,2.10-9 | 9,6.10-10 | 
| Y-86m | 4,5.10-10 | 3,1.10-10 | 1,7.10-10 | 1,1.10-10 | 7,1.10-11 | 5,6.10-11 | 
| Y-87 | 4,6.10-9 | 3,2.10-9 | 1,8.10-9 | 1,1.10-9 | 7,0.10-10 | 5,5.10-10 | 
| Y-88 | 8,1.10-9 | 6,0.10-9 | 3,5.10-9 | 2,4.10-9 | 1,6.10-9 | 1,3.10-9 | 
| Y-90 | 3,1.10-8 | 2,0.10-8 | 1,0.10-8 | 5,9.10-9 | 3,3.10-9 | 2,7.10-9 | 
| Y-90m | 1,8.10-9 | 1,2.10-9 | 6,1.10-10 | 3,7.10-10 | 2,2.10-10 | 1,7.10-10 | 
| Y-91 | 2,8.10-8 | 1,8.10-8 | 8,8.10-9 | 5,2.10-9 | 2,9.10-9 | 2,4.10-9 | 
| Y-91m | 9,2.10-11 | 6,0.10-11 | 3,3.10-11 | 2,1.10-11 | 1,4.10-11 | 1,1.10-11 | 
| Y-92 | 5,9.10-9 | 3,6.10-9 | 1,8.10-9 | 1,0.10-9 | 6,2.10-10 | 4,9.10-10 | 
| Y-93 | 1,4.10-8 | 8,5.10-9 | 4,3.10-9 | 2,5.10-9 | 1,4.10-9 | 1,2.10-9 | 
| Y-94 | 9,9.10-10 | 5,5.10-10 | 2,7.10-10 | 1,5.10-10 | 1,0.10-10 | 8,1.10-11 | 
| Y-95 | 5,7.10-10 | 3,1.10-10 | 1,5.10-10 | 8,7.10-11 | 5,9.10-11 | 4,6.10-11 | 
| Zirconium | ||||||
| Zr-86 | 6,9.10-9 | 4,8.10-9 | 2,7.10-9 | 1,7.10-9 | 1,1.10-9 | 8,6.10-10 | 
| Zr-88 | 2,8.10-9 | 2,0.10-9 | 1,2.10-9 | 8,0.10-10 | 5,4.10-10 | 4,5.10-10 | 
| Zr-89 | 6,5.10-9 | 4,5.10-9 | 2,5.10-9 | 1,6.10-9 | 9,9.10-10 | 7,9.10-10 | 
| Zr-93 | 1,2.10-9 | 7,6.10-10 | 5,1.10-10 | 5,8.10-10 | 8,6.10-10 | 1,1.10-9 | 
| Zr-95 | 8,5.10-9 | 5,6.10-9 | 3,0.10-9 | 1,9.10-9 | 1,2.10-9 | 9,5.10-10 | 
| Zr-97 | 2,2.10-8 | 1,4.10-8 | 7,3.10-9 | 4,4.10-9 | 2,6.10-9 | 2,1.10-9 | 
| Niobium | ||||||
| Nb-88 | 6,7.10-10 | 3,8.10-10 | 1,9.10-10 | 1,1.10-10 | 7,9.10-11 | 6,3.10-11 | 
| Nb-89 | 3,0.10-9 | 2,0.10-9 | 1,0.10-9 | 6,0.10-10 | 3,4.10-10 | 2,7.10-10 | 
| Nb-89m | 1,5.10-9 | 8,7.10-10 | 4,4.10-10 | 2,7.10-10 | 1,8.10-10 | 1,4.10-10 | 
| Nb-90 | 1,1.10-8 | 7,2.10-9 | 3,9.10-9 | 2,5.10-9 | 1,6.10-9 | 1,2.10-9 | 
| Nb-93m | 1,5.10-9 | 9,1.10-10 | 4,6.10-10 | 2,7.10-10 | 1,5.10-10 | 1,2.10-10 | 
| Nb-94 | 1,5.10-8 | 9,7.10-9 | 5,3.10-9 | 3,4.10-9 | 2,1.10-9 | 1,7.10-9 | 
| Nb-95 | 4,6.10-9 | 3,2.10-9 | 1,8.10-9 | 1,1.10-9 | 7,4.10-10 | 5,8.10-10 | 
| Nb-95m | 6,4.10-9 | 4,1.10-9 | 2,1.10-9 | 1,2.10-9 | 7,1.10-10 | 5,6.10-10 | 
| Nb-96 | 9,2.10-9 | 6,3.10-9 | 3,4.10-9 | 2,2.10-9 | 1,4.10-9 | 1,1.10-9 | 
| Nb-97 | 7,7.10-10 | 4,5.10-10 | 2,3.10-10 | 1,3.10-10 | 8,7.10-11 | 6,8.10-11 | 
| Nb-98m | 1,2.10-9 | 7,1.10-10 | 3,6.10-10 | 2,2.10-10 | 1,4.10-10 | 1,1.10-10 | 
| Molybdène | ||||||
| Mo-90 | 1,7.10-9 | 1,2.10-9 | 6,3.10-10 | 4,0.10-10 | 2,7.10-10 | 2,2.10-10 | 
| Mo-93 | 7,9.10-9 | 6,9.10-9 | 5,0.10-9 | 4,0.10-9 | 3,4.10-9 | 3,1.10-9 | 
| Mo-93m | 8,0.10-10 | 5,4.10-10 | 3,1.10-10 | 2,0.10-10 | 1,4.10-10 | 1,1.10-10 | 
| Mo-99 | 5,5.10-9 | 3,5.10-9 | 1,8.10-9 | 1,1.10-9 | 7,6.10-10 | 6,0.10-10 | 
| Mo-101 | 4,8.10-10 | 2,7.10-10 | 1,3.10-10 | 7,6.10-11 | 5,2.10-11 | 4,1.10-11 | 
| Technétium | ||||||
| Tc-93 | 2,7.10-10 | 2,5.10-10 | 1,5.10-10 | 9,8.10-11 | 6,8.10-11 | 5,5.10-11 | 
| Tc-93m | 2,0.10-10 | 1,3.10-10 | 7,3.10-11 | 4,6.10-11 | 3,2.10-11 | 2,5.10-11 | 
| Tc-94 | 1,2.10-9 | 1,0.10-9 | 5,8.10-10 | 3,7.10-10 | 2,5.10-10 | 2,0.10-10 | 
| Tc-94m | 1,3.10-9 | 6,5.10-10 | 3,3.10-10 | 1,9.10-10 | 1,3.10-10 | 1,0.10-10 | 
| Tc-95 | 9,9.10-10 | 8,7.10-10 | 5,0.10-10 | 3,3.10-10 | 2,3.10-10 | 1,8.10-10 | 
| Tc-95m | 4,7.10-9 | 2,8.10-9 | 1,6.10-9 | 1,0.10-9 | 7,0.10-10 | 5,6.10-10 | 
| Tc-96 | 6,7.10-9 | 5,1.10-9 | 3,0.10-9 | 2,0.10-9 | 1,4.10-9 | 1,1.10-9 | 
| Tc-96m | 1,0.10-10 | 6,5.10-11 | 3,6.10-11 | 2,3.10-11 | 1,6.10-11 | 1,2.10-11 | 
| Tc-97 | 9,9.10-10 | 4,9.10-10 | 2,4.10-10 | 1,4.10-10 | 8,8.10-11 | 6,8.10-11 | 
| Tc-97m | 8,7.10-9 | 4,1.10-9 | 2,0.10-9 | 1,1.10-9 | 7,0.10-10 | 5,5.10-10 | 
| Tc-98 | 2,3.10-8 | 1,2.10-8 | 6,1.10-9 | 3,7.10-9 | 2,5.10-9 | 2,0.10-9 | 
| Tc-99 | 1,0.10-8 | 4,8.10-9 | 2,3.10-9 | 1,3.10-9 | 8,2.10-10 | 6,4.10-10 | 
| Tc-99m | 2,0.10-10 | 1,3.10-10 | 7,2.10-11 | 4,3.10-11 | 2,8.10-11 | 2,2.10-11 | 
| Tc-101 | 2,4.10-10 | 1,3.10-10 | 6,1.10-11 | 3,5.10-11 | 2,4.10-11 | 1,9.10-11 | 
| Tc-104 | 1,0.10-9 | 5,3.10-10 | 2,6.10-10 | 1,5.10-10 | 1,0.10-10 | 8,0.10-11 | 
| Ruthénium | ||||||
| Ru-94 | 9,3.10-10 | 5,9.10-10 | 3,1.10-10 | 1,9.10-10 | 1,2.10-10 | 9,4.10-11 | 
| Ru-97 | 1,2.10-9 | 8,5.10-10 | 4,7.10-10 | 3,0.10-10 | 1,9.10-10 | 1,5.10-10 | 
| Ru-103 | 7,1.10-9 | 4,6.10-9 | 2,4.10-9 | 1,5.10-9 | 9,2.10-10 | 7,3.10-10 | 
| Ru-105 | 2,7.10-9 | 1,8.10-9 | 9,1.10-10 | 5,5.10-10 | 3,3.10-10 | 2,6.10-10 | 
| Ru-106 | 8,4.10-8 | 4,9.10-8 | 2,5.10-8 | 1,5.10-8 | 8,6.10-9 | 7,0.10-9 | 
| Rhodium | ||||||
| Rh-99 | 4,2.10-9 | 2,9.10-9 | 1,6.10-9 | 1,0.10-9 | 6,5.10-10 | 5,1.10-10 | 
| Rh-99m | 4,9.10-10 | 3,5.10-10 | 2,0.10-10 | 1,3.10-10 | 8,3.10-11 | 6,6.10-11 | 
| Rh-100 | 4,9.10-9 | 3,6.10-9 | 2,0.10-9 | 1,4.10-9 | 8,8.10-10 | 7,1.10-10 | 
| Rh-101 | 4,9.10-9 | 2,8.10-9 | 1,6.10-9 | 1,0.10-9 | 6,7.10-10 | 5,5.10-10 | 
| Rh-101m | 1,7.10-9 | 1,2.10-9 | 6,8.10-10 | 4,4.10-10 | 2,8.10-10 | 2,2.10-10 | 
| Rh-102m | 1,9.10-8 | 1,0.10-8 | 6,4.10-9 | 4,3.10-9 | 3,0.10-9 | 2,6.10-9 | 
| Rh-102 | 1,2.10-8 | 7,4.10-9 | 3,9.10-9 | 2,4.10-9 | 1,4.10-9 | 1,2.10-9 | 
| Rh-103m | 4,7.10-11 | 2,7.10-11 | 1,3.10-11 | 7,4.10-12 | 4,8.10-12 | 3,8.10-12 | 
| Rh-105 | 4,0.10-9 | 2,7.10-9 | 1,3.10-9 | 8,0.10-10 | 4,6.10-10 | 3,7.10-10 | 
| Rh-106m | 1,4.10-9 | 9,7.10-10 | 5,3.10-10 | 3,3.10-10 | 2,0.10-10 | 1,6.10-10 | 
| Rh-107 | 2,9.10-10 | 1,6.10-10 | 7,9.10-11 | 4,5.10-11 | 3,1.10-11 | 2,4.10-11 | 
| Palladium | ||||||
| Pd-100 | 7,4.10-9 | 5,2.10-9 | 2,9.10-9 | 1,9.10-9 | 1,2.10-9 | 9,4.10-10 | 
| Pd-101 | 8,2.10-10 | 5,7.10-10 | 3,1.10-10 | 1,9.10-10 | 1,2.10-10 | 9,4.10-11 | 
| Pd-103 | 2,2.10-9 | 1,4.10-9 | 7,2.10-10 | 4,3.10-10 | 2,4.10-10 | 1,9.10-10 | 
| Pd-107 | 4,4.10-10 | 2,8.10-10 | 1,4.10-10 | 8,1.10-11 | 4,6.10-11 | 3,7.10-11 | 
| Pd-109 | 6,3.10-9 | 4,1.10-9 | 2,0.10-9 | 1,2.10-9 | 6,8.10-10 | 5,5.10-10 | 
| Argent | ||||||
| Ag-102 | 4,2.10-10 | 2,4.10-10 | 1,2.10-10 | 7,3.10-11 | 5,0.10-11 | 4,0.10-11 | 
| Ag-103 | 4,5.10-10 | 2,7.10-10 | 1,4.10-10 | 8,3.10-11 | 5,5.10-11 | 4,3.10-11 | 
| Ag-104 | 4,3.10-10 | 2,9.10-10 | 1,7.10-10 | 1,1.10-10 | 7,5.10-11 | 6,0.10-11 | 
| Ag-104m | 5,6.10-10 | 3,3.10-10 | 1,7.10-10 | 1,0.10-10 | 6,8.10-11 | 5,4.10-11 | 
| Ag-105 | 3,9.10-9 | 2,5.10-9 | 1,4.10-9 | 9,1.10-10 | 5,9.10-10 | 4,7.10-10 | 
| Ag-106 | 3,7.10-10 | 2,1.10-10 | 1,0.10-10 | 6,0.10-11 | 4,1.10-11 | 3,2.10-11 | 
| Ag-106m | 9,7.10-9 | 6,9.10-9 | 4,1.10-9 | 2,8.10-9 | 1,8.10-9 | 1,5.10-9 | 
| Ag-108m | 2,1.10-8 | 1,1.10-8 | 6,5.10-9 | 4,3.10-9 | 2,8.10-9 | 2,3.10-9 | 
| Ag-110m | 2,4.10-8 | 1,4.10-8 | 7,8.10-9 | 5,2.10-9 | 3,4.10-9 | 2,8.10-9 | 
| Ag-111 | 1,4.10-8 | 9,3.10-9 | 4,6.10-9 | 2,7.10-9 | 1,6.10-9 | 1,3.10-9 | 
| Ag-112 | 4,9.10-9 | 3,0.10-9 | 1,5.10-9 | 8,9.10-10 | 5,4.10-10 | 4,3.10-10 | 
| Ag-115 | 7,2.10-10 | 4,1.10-10 | 2,0.10-10 | 1,2.10-10 | 7,7.10-11 | 6,0.10-11 | 
| Cadmium | ||||||
| Cd-104 | 4,2.10-10 | 2,9.10-10 | 1,7.10-10 | 1,1.10-10 | 7,2.10-11 | 5,4.10-11 | 
| Cd-107 | 7,1.10-10 | 4,6.10-10 | 2,3.10-10 | 1,3.10-10 | 7,8.10-11 | 6,2.10-11 | 
| Cd-109 | 2,1.10-8 | 9,5.10-9 | 5,5.10-9 | 3,5.10-9 | 2,4.10-9 | 2,0.10-9 | 
| Cd-113 | 1,0.10-7 | 4,8.10-8 | 3,7.10-8 | 3,0.10-8 | 2,6.10-8 | 2,5.10-8 | 
| Cd-113m | 1,2.10-7 | 5,6.10-8 | 3,9.10-8 | 2,9.10-8 | 2,4.10-8 | 2,3.10-8 | 
| Cd-115 | 1,4.10-8 | 9,7.10-9 | 4,9.10-9 | 2,9.10-9 | 1,7.10-9 | 1,4.10-9 | 
| Cd-115m | 4,1.10-8 | 1,9.10-8 | 9,7.10-9 | 6,9.10-9 | 4,1.10-9 | 3,3.10-9 | 
| Cd-117 | 2,9.10-9 | 1,9.10-9 | 9,5.10-10 | 5,7.10-10 | 3,5.10-10 | 2,8.10-10 | 
| Cd-117m | 2,6.10-9 | 1,7.10-9 | 9,0.10-10 | 5,6.10-10 | 3,5.10-10 | 2,8.10-10 | 
| Indium | ||||||
| In-109 | 5,2.10-10 | 3,6.10-10 | 2,0.10-10 | 1,3.10-10 | 8,2.10-11 | 6,6.10-11 | 
| In-110 | 1,5.10-9 | 1,1.10-9 | 6,5.10-10 | 4,4.10-10 | 3,0.10-10 | 2,4.10-10 | 
| In-110m | 1,1.10-9 | 6,4.10-10 | 3,2.10-10 | 1,9.10-10 | 1,3.10-10 | 1,0.10-10 | 
| In-111 | 2,4.10-9 | 1,7.10-9 | 9,1.10-10 | 5,9.10-10 | 3,7.10-10 | 2,9.10-10 | 
| In-112 | 1,2.10-10 | 6,7.10-11 | 3,3.10-11 | 1,9.10-11 | 1,3.10-11 | 1,0.10-11 | 
| In-113m | 3,0.10-10 | 1,8.10-10 | 9,3.10-11 | 6,2.10-11 | 3,6.10-11 | 2,8.10-11 | 
| In-114m | 5,6.10-8 | 3,1.10-8 | 1,5.10-8 | 9,0.10-9 | 5,2.10-9 | 4,1.10-9 | 
| In-115 | 1,3.10-7 | 6,4.10-8 | 4,8.10-8 | 4,3.10-8 | 3,6.10-8 | 3,2.10-8 | 
| In-115m | 9,6.10-10 | 6,0.10-10 | 3,0.10-10 | 1,8.10-10 | 1,1.10-10 | 8,6.10-11 | 
| In-116m | 5,8.10-10 | 3,6.10-10 | 1,9.10-10 | 1,2.10-10 | 8,0.10-11 | 6,4.10-11 | 
| In-117 | 3,3.10-10 | 1,9.10-10 | 9,7.10-11 | 5,8.10-11 | 3,9.10-11 | 3,1.10-11 | 
| In-117m | 1,4.10-9 | 8,6.10-10 | 4,3.10-10 | 2,5.10-10 | 1,6.10-10 | 1,2.10-10 | 
| In-119m | 5,9.10-10 | 3,2.10-10 | 1,6.10-10 | 8,8.10-11 | 6,0.10-11 | 4,7.10-11 | 
| Étain | ||||||
| Sn-110 | 3,5.10-9 | 2,3.10-9 | 1,2.10-9 | 7,4.10-10 | 4,4.10-10 | 3,5.10-10 | 
| Sn-111 | 2,5.10-10 | 1,5.10-10 | 7,4.10-11 | 4,4.10-11 | 3,0.10-11 | 2,3.10-11 | 
| Sn-113 | 7,8.10-9 | 5,0.10-9 | 2,6.10-9 | 1,6.10-9 | 9,2.10-10 | 7,3.10-10 | 
| Sn-117m | 7,7.10-9 | 5,0.10-9 | 2,5.10-9 | 1,5.10-9 | 8,8.10-10 | 7,1.10-10 | 
| Sn-119m | 4,1.10-9 | 2,5.10-9 | 1,3.10-9 | 7,5.10-10 | 4,3.10-10 | 3,4.10-10 | 
| Sn-121 | 2,6.10-9 | 1,7.10-9 | 8,4.10-10 | 5,0.10-10 | 2,8.10-10 | 2,3.10-10 | 
| Sn-121m | 4,6.10-9 | 2,7.10-9 | 1,4.10-9 | 8,2.10-10 | 4,7.10-10 | 3,8.10-10 | 
| Sn-123 | 2,5.10-8 | 1,6.10-8 | 7,8.10-9 | 4,6.10-9 | 2,6.10-9 | 2,1.10-9 | 
| Sn-123m | 4,7.10-10 | 2,6.10-10 | 1,3.10-10 | 7,3.10-11 | 4,9.10-11 | 3,8.10-11 | 
| Sn-125 | 3,5.10-8 | 2,2.10-8 | 1,1.10-8 | 6,7.10-9 | 3,8.10-9 | 3,1.10-9 | 
| Sn-126 | 5,0.10-8 | 3,0.10-8 | 1,6.10-8 | 9,8.10-9 | 5,9.10-9 | 4,7.10-9 | 
| Sn-127 | 2,0.10-9 | 1,3.10-9 | 6,6.10-10 | 4,0.10-10 | 2,5.10-10 | 2,0.10-10 | 
| Sn-128 | 1,6.10-9 | 9,7.10-10 | 4,9.10-10 | 3,0.10-10 | 1,9.10-10 | 1,5.10-10 | 
| Antimoine | ||||||
| Sb-115 | 2,5.10-10 | 1,5.10-10 | 7,5.10-11 | 4,5.10-11 | 3,1.10-11 | 2,4.10-11 | 
| Sb-116 | 2,7.10-10 | 1,6.10-10 | 8,0.10-11 | 4,8.10-11 | 3,3.10-11 | 2,6.10-11 | 
| Sb-116m | 5,0.10-10 | 3,3.10-10 | 1,9.10-10 | 1,2.10-10 | 8,3.10-11 | 6,7.10-11 | 
| Sb-117 | 1,6.10-10 | 1,0.10-10 | 5,6.10-11 | 3,5.10-11 | 2,2.10-11 | 1,8.10-11 | 
| Sb-118m | 1,3.10-9 | 1,0.10-9 | 5,8.10-10 | 3,9.10-10 | 2,6.10-10 | 2,1.10-10 | 
| Sb-119 | 8,4.10-10 | 5,8.10-10 | 3,0.10-10 | 1,8.10-10 | 1,0.10-10 | 8,0.10-11 | 
| Sb-120m | 8,1.10-9 | 6,0.10-9 | 3,5.10-9 | 2,3.10-9 | 1,6.10-9 | 1,2.10-9 | 
| Sb-120 | 1,7.10-10 | 9,4.10-11 | 4,6.10-11 | 2,7.10-11 | 1,8.10-11 | 1,4.10-11 | 
| Sb-122 | 1,8.10-8 | 1,2.10-8 | 6,1.10-9 | 3,7.10-9 | 2,1.10-9 | 1,7.10-9 | 
| Sb-124 | 2,5.10-8 | 1,6.10-8 | 8,4.10-9 | 5,2.10-9 | 3,2.10-9 | 2,5.10-9 | 
| Sb-124n | 8,5.10-11 | 4,9.10-11 | 2,5.10-11 | 1,5.10-11 | 1,0.10-11 | 8,0.10-12 | 
| Sb-125 | 1,1.10-8 | 6,1.10-9 | 3,4.10-9 | 2,1.10-9 | 1,4.10-9 | 1,1.10-9 | 
| Sb-126 | 2,0.10-8 | 1,4.10-8 | 7,6.10-9 | 4,9.10-9 | 3,1.10-9 | 2,4.10-9 | 
| Sb-126m | 3,9.10-10 | 2,2.10-10 | 1,1.10-10 | 6,6.10-11 | 4,5.10-11 | 3,6.10-11 | 
| Sb-127 | 1,7.10-8 | 1,2.10-8 | 5,9.10-9 | 3,6.10-9 | 2,1.10-9 | 1,7.10-9 | 
| Sb-128 | 6,3.10-9 | 4,5.10-9 | 2,4.10-9 | 1,5.10-9 | 9,5.10-10 | 7,6.10-10 | 
| Sb-128m | 3,7.10-10 | 2,1.10-10 | 1,0.10-10 | 6,0.10-11 | 4,1.10-11 | 3,3.10-11 | 
| Sb-129 | 4,3.10-9 | 2,8.10-9 | 1,5.10-9 | 8,8.10-10 | 5,3.10-10 | 4,2.10-10 | 
| Sb-130 | 9,1.10-10 | 5,4.10-10 | 2,8.10-10 | 1,7.10-10 | 1,2.10-10 | 9,1.10-11 | 
| Sb-131 | 1,1.10-9 | 7,3.10-10 | 3,9.10-10 | 2,1.10-10 | 1,4.10-10 | 1,0.10-10 | 
| Tellure | ||||||
| Te-116 | 1,4.10-9 | 1,0.10-9 | 5,5.10-10 | 3,4.10-10 | 2,1.10-10 | 1,7.10-10 | 
| Te-121 | 3,1.10-9 | 2,0.10-9 | 1,2.10-9 | 8,0.10-10 | 5,4.10-10 | 4,3.10-10 | 
| Te-121m | 2,7.10-8 | 1,2.10-8 | 6,9.10-9 | 4,2.10-9 | 2,8.10-9 | 2,3.10-9 | 
| Te-123 | 2,0.10-8 | 9,3.10-9 | 6,9.10-9 | 5,4.10-9 | 4,7.10-9 | 4,4.10-9 | 
| Te-123m | 1,9.10-8 | 8,8.10-9 | 4,9.10-9 | 2,8.10-9 | 1,7.10-9 | 1,4.10-9 | 
| Te-125m | 1,3.10-8 | 6,3.10-9 | 3,3.10-9 | 1,9.10-9 | 1,1.10-9 | 8,7.10-10 | 
| Te-127 | 1,5.10-9 | 1,2.10-9 | 6,2.10-10 | 3,6.10-10 | 2,1.10-10 | 1,7.10-10 | 
| Te-127m | 4,1.10-8 | 1,8.10-8 | 9,5.10-9 | 5,2.10-9 | 3,0.10-9 | 2,3.10-9 | 
| Te-129 | 7,5.10-10 | 4,4.10-10 | 2,1.10-10 | 1,2.10-10 | 8,0.10-11 | 6,3.10-11 | 
| Te-129m | 4,4.10-8 | 2,4.10-8 | 1,2.10-8 | 6,6.10-9 | 3,9.10-9 | 3,0.10-9 | 
| Te-131 | 9,0.10-10 | 6,6.10-10 | 3,5.10-10 | 1,9.10-10 | 1,2.10-10 | 8,7.10-11 | 
| Te-131m | 2,0.10-8 | 1,4.10-8 | 7,8.10-9 | 4,3.10-9 | 2,7.10-9 | 1,9.10-9 | 
| Te-132 | 4,8.10-8 | 3,0.10-8 | 1,6.10-8 | 8,3.10-9 | 5,3.10-9 | 3,8.10-9 | 
| Te-133 | 8,4.10-10 | 6,3.10-10 | 3,3.10-10 | 1,6.10-10 | 1,1.10-10 | 7,2.10-11 | 
| Te-133m | 3,1.10-9 | 2,4.10-9 | 1,3.10-9 | 6,3.10-10 | 4,1.10-10 | 2,8.10-10 | 
| Te-134 | 1,1.10-9 | 7,5.10-10 | 3,9.10-10 | 2,2.10-10 | 1,4.10-10 | 1,1.10-10 | 
| Iode | ||||||
| I-120 | 3,9.10-9 | 2,8.10-9 | 1,4.10-9 | 7,2.10-10 | 4,8.10-10 | 3,4.10-10 | 
| I-120m | 2,3.10-9 | 1,5.10-9 | 7,8.10-10 | 4,2.10-10 | 2,9.10-10 | 2,1.10-10 | 
| I-121 | 6,2.10-10 | 5,3.10-10 | 3,1.10-10 | 1,7.10-10 | 1,2.10-10 | 8,2.10-11 | 
| I-123 | 2,2.10-9 | 1,9.10-9 | 1,1.10-9 | 4,9.10-10 | 3,3.10-10 | 2,1.10-10 | 
| I-124 | 1,2.10-7 | 1,1.10-7 | 6,3.10-8 | 3,1.10-8 | 2,0.10-8 | 1,3.10-8 | 
| I-125 | 5,2.10-8 | 5,7.10-8 | 4,1.10-8 | 3,1.10-8 | 2,2.10-8 | 1,5.10-8 | 
| I-126 | 2,1.10-7 | 2,1.10-7 | 1,3.10-7 | 6,8.10-8 | 4,5.10-8 | 2,9.10-8 | 
| I-128 | 5,7.10-10 | 3,3.10-10 | 1,6.10-10 | 8,9.10-11 | 6,0.10-11 | 4,6.10-11 | 
| I-129 | 1,8.10-7 | 2,2.10-7 | 1,7.10-7 | 1,9.10-7 | 1,4.10-7 | 1,1.10-7 | 
| I-130 | 2,1.10-8 | 1,8.10-8 | 9,8.10-9 | 4,6.10-9 | 3,0.10-9 | 2,0.10-9 | 
| I-131 | 1,8.10-7 | 1,8.10-7 | 1,0.10-7 | 5,2.10-8 | 3,4.10-8 | 2,2.10-8 | 
| I-132 | 3,0.10-9 | 2,4.10-9 | 1,3.10-9 | 6,2.10-10 | 4,1.10-10 | 2,9.10-10 | 
| I-132m | 2,4.10-9 | 2,0.10-9 | 1,1.10-9 | 5,0.10-10 | 3,3.10-10 | 2,2.10-10 | 
| I-133 | 4,9.10-8 | 4,4.10-8 | 2,3.10-8 | 1,0.10-8 | 6,8.10-9 | 4,3.10-9 | 
| I-134 | 1,1.10-9 | 7,5.10-10 | 3,9.10-10 | 2,1.10-10 | 1,4.10-10 | 1,1.10-10 | 
| I-135 | 1,0.10-8 | 8,9.10-9 | 4,7.10-9 | 2,2.10-9 | 1,4.10-9 | 9,3.10-10 | 
| Césium | ||||||
| Cs-125 | 3,9.10-10 | 2,2.10-10 | 1,1.10-10 | 6,5.10-11 | 4,4.10-11 | 3,5.10-11 | 
| Cs-127 | 1,8.10-10 | 1,2.10-10 | 6,6.10-11 | 4,2.10-11 | 2,9.10-11 | 2,4.10-11 | 
| Cs-129 | 4,4.10-10 | 3,0.10-10 | 1,7.10-10 | 1,1.10-10 | 7,2.10-11 | 6,0.10-11 | 
| Cs-130 | 3,3.10-10 | 1,8.10-10 | 9,0.10-11 | 5,2.10-11 | 3,6.10-11 | 2,8.10-11 | 
| Cs-131 | 4,6.10-10 | 2,9.10-10 | 1,6.10-10 | 1,0.10-10 | 6,9.10-11 | 5,8.10-11 | 
| Cs-132 | 2,7.10-9 | 1,8.10-9 | 1,1.10-9 | 7,7.10-10 | 5,7.10-10 | 5,0.10-10 | 
| Cs-134 | 2,6.10-8 | 1,6.10-8 | 1,3.10-8 | 1,4.10-8 | 1,9.10-8 | 1,9.10-8 | 
| Cs-134m | 2,1.10-10 | 1,2.10-10 | 5,9.10-11 | 3,5.10-11 | 2,5.10-11 | 2,0.10-11 | 
| Cs-135 | 4,1.10-9 | 2,3.10-9 | 1,7.10-9 | 1,7.10-9 | 2,0.10-9 | 2,0.10-9 | 
| Cs-135m | 1,3.10-10 | 8,6.10-11 | 4,9.10-11 | 3,2.10-11 | 2,3.10-11 | 1,9.10-11 | 
| Cs-136 | 1,5.10-8 | 9,5.10-9 | 6,1.10-9 | 4,4.10-9 | 3,4.10-9 | 3,0.10-9 | 
| Cs-137 | 2,1.10-8 | 1,2.10-8 | 9,6.10-9 | 1,0.10-8 | 1,3.10-8 | 1,3.10-8 | 
| Cs-138 | 1,1.10-9 | 5,9.10-10 | 2,9.10-10 | 1,7.10-10 | 1,2.10-10 | 9,2.10-11 | 
| Baryum | ||||||
| Ba-126 | 2,7.10-9 | 1,7.10-9 | 8,5.10-10 | 5,0.10-10 | 3,1.10-10 | 2,6.10-10 | 
| Ba-128 | 2,0.10-8 | 1,7.10-8 | 9,0.10-9 | 5,2.10-9 | 3,0.10-9 | 2,7.10-9 | 
| Ba-131 | 4,2.10-9 | 2,6.10-9 | 1,4.10-9 | 9,4.10-10 | 6,2.10-10 | 4,5.10-10 | 
| Ba-131m | 5,8.10-11 | 3,2.10-11 | 1,6.10-11 | 9,3.10-12 | 6,3.10-12 | 4,9.10-12 | 
| Ba-133 | 2,2.10-8 | 6,2.10-9 | 3,9.10-9 | 4,6.10-9 | 7,3.10-9 | 1,5.10-9 | 
| Ba-133m | 4,2.10-9 | 3,6.10-9 | 1,8.10-9 | 1,1.10-9 | 5,9.10-10 | 5,4.10-10 | 
| Ba-135m | 3,3.10-9 | 2,9.10-9 | 1,5.10-9 | 8,5.10-10 | 4,7.10-10 | 4,3.10-10 | 
| Ba-139 | 1,4.10-9 | 8,4.10-10 | 4,1.10-10 | 2,4.10-10 | 1,5.10-10 | 1,2.10-10 | 
| Ba-140 | 3,2.10-8 | 1,8.10-8 | 9,2.10-9 | 5,8.10-9 | 3,7.10-9 | 2,6.10-9 | 
| Ba-141 | 7,6.10-10 | 4,7.10-10 | 2,3.10-10 | 1,3.10-10 | 8,6.10-11 | 7,0.10-11 | 
| Ba-142 | 3,6.10-10 | 2,2.10-10 | 1,1.10-10 | 6,6.10-11 | 4,3.10-11 | 3,5.10-11 | 
| Lanthane | ||||||
| La-131 | 3,5.10-10 | 2,1.10-10 | 1,1.10-10 | 6,6.10-11 | 4,4.10-11 | 3,5.10-11 | 
| La-132 | 3,8.10-9 | 2,4.10-9 | 1,3.10-9 | 7,8.10-10 | 4,8.10-10 | 3,9.10-10 | 
| La-135 | 2,8.10-10 | 1,9.10-10 | 1,0.10-10 | 6,4.10-11 | 3,9.10-11 | 3,0.10-11 | 
| La-137 | 1,1.10-9 | 4,5.10-10 | 2,5.10-10 | 1,6.10-10 | 1,0.10-10 | 8,1.10-11 | 
| La-138 | 1,3.10-8 | 4,6.10-9 | 2,7.10-9 | 1,9.10-9 | 1,3.10-9 | 1,1.10-9 | 
| La-140 | 2,0.10-8 | 1,3.10-8 | 6,8.10-9 | 4,2.10-9 | 2,5.10-9 | 2,0.10-9 | 
| La-141 | 4,3.10-9 | 2,6.10-9 | 1,3.10-9 | 7,6.10-10 | 4,5.10-10 | 3,6.10-10 | 
| La-142 | 1,9.10-9 | 1,1.10-9 | 5,8.10-10 | 3,5.10-10 | 2,3.10-10 | 1,8.10-10 | 
| La-143 | 6,9.10-10 | 3,9.10-10 | 1,9.10-10 | 1,1.10-10 | 7,1.10-11 | 5,6.10-11 | 
| Cérium | ||||||
| Ce-134 | 2,8.10-8 | 1,8.10-8 | 9,1.10-9 | 5,5.10-9 | 3,2.10-9 | 2,5.10-9 | 
| Ce-135 | 7,0.10-9 | 4,7.10-9 | 2,6.10-9 | 1,6.10-9 | 1,0.10-9 | 7,9.10-10 | 
| Ce-137 | 2,6.10-10 | 1,7.10-10 | 8,8.10-11 | 5,4.10-11 | 3,2.10-11 | 2,5.10-11 | 
| Ce-137m | 6,1.10-9 | 3,9.10-9 | 2,0.10-9 | 1,2.10-9 | 6,8.10-10 | 5,4.10-10 | 
| Ce-139 | 2,6.10-9 | 1,6.10-9 | 8,6.10-10 | 5,4.10-10 | 3,3.10-10 | 2,6.10-10 | 
| Ce-141 | 8,1.10-9 | 5,1.10-9 | 2,6.10-9 | 1,5.10-9 | 8,8.10-10 | 7,1.10-10 | 
| Ce-143 | 1,2.10-8 | 8,0.10-9 | 4,1.10-9 | 2,4.10-9 | 1,4.10-9 | 1,1.10-9 | 
| Ce-144 | 6,6.10-8 | 3,9.10-8 | 1,9.10-8 | 1,1.10-8 | 6,5.10-9 | 5,2.10-9 | 
| Praséodyme | ||||||
| Pr-136 | 3,7.10-10 | 2,1.10-10 | 1,0.10-10 | 6,1.10-11 | 4,2.10-11 | 3,3.10-11 | 
| Pr-137 | 4,1.10-10 | 2,5.10-10 | 1,3.10-10 | 7,7.10-11 | 5,0.10-11 | 4,0.10-11 | 
| Pr-138m | 1,0.10-9 | 7,4.10-10 | 4,1.10-10 | 2,6.10-10 | 1,6.10-10 | 1,3.10-10 | 
| Pr-139 | 3,2.10-10 | 2,0.10-10 | 1,1.10-10 | 6,5.10-11 | 4,0.10-11 | 3,1.10-11 | 
| Pr-142 | 1,5.10-8 | 9,8.10-9 | 4,9.10-9 | 2,9.10-9 | 1,6.10-9 | 1,3.10-9 | 
| Pr-142m | 2,0.10-10 | 1,2.10-10 | 6,2.10-11 | 3,7.10-11 | 2,1.10-11 | 1,7.10-11 | 
| Pr-143 | 1,4.10-8 | 8,7.10-9 | 4,3.10-9 | 2,6.10-9 | 1,5.10-9 | 1,2.10-9 | 
| Pr-144 | 6,4.10-10 | 3,5.10-10 | 1,7.10-10 | 9,5.10-11 | 6,5.10-11 | 5,0.10-11 | 
| Pr-145 | 4,7.10-9 | 2,9.10-9 | 1,4.10-9 | 8,5.10-10 | 4,9.10-10 | 3,9.10-10 | 
| Pr-147 | 3,9.10-10 | 2,2.10-10 | 1,1.10-10 | 6,1.10-11 | 4,2.10-11 | 3,3.10-11 | 
| Néodyme | ||||||
| Nd-136 | 1,0.10-9 | 6,1.10-10 | 3,1.10-10 | 1,9.10-10 | 1,2.10-10 | 9,9.10-11 | 
| Nd-138 | 7,2.10-9 | 4,5.10-9 | 2,3.10-9 | 1,3.10-9 | 8,0.10-10 | 6,4.10-10 | 
| Nd-139 | 2,1.10-10 | 1,2.10-10 | 6,3.10-11 | 3,7.10-11 | 2,5.10-11 | 2,0.10-11 | 
| Nd-139m | 2,1.10-9 | 1,4.10-9 | 7,8.10-10 | 5,0.10-10 | 3,1.10-10 | 2,5.10-10 | 
| Nd-141 | 7,8.10-11 | 5,0.10-11 | 2,7.10-11 | 1,6.10-11 | 1,0.10-11 | 8,3.10-12 | 
| Nd-147 | 1,2.10-8 | 7,8.10-9 | 3,9.10-9 | 2,3.10-9 | 1,3.10-9 | 1,1.10-9 | 
| Nd-149 | 1,4.10-9 | 8,7.10-10 | 4,3.10-10 | 2,6.10-10 | 1,6.10-10 | 1,2.10-10 | 
| Nd-151 | 3,4.10-10 | 2,0.10-10 | 9,7.10-11 | 5,7.10-11 | 3,8.10-11 | 3,0.10-11 | 
| Prométhium | ||||||
| Pm-141 | 4,2.10-10 | 2,4.10-10 | 1,2.10-10 | 6,8.10-11 | 4,6.10-11 | 3,6.10-11 | 
| Pm-143 | 1,9.10-9 | 1,2.10-9 | 6,7.10-10 | 4,4.10-10 | 2,9.10-10 | 2,3.10-10 | 
| Pm-144 | 7,6.10-9 | 4,7.10-9 | 2,7.10-9 | 1,8.10-9 | 1,2.10-9 | 9,7.10-10 | 
| Pm-145 | 1,5.10-9 | 6,8.10-10 | 3,7.10-10 | 2,3.10-10 | 1,4.10-10 | 1,1.10-10 | 
| Pm-146 | 1,0.10-8 | 5,1.10-9 | 2,8.10-9 | 1,8.10-9 | 1,1.10-9 | 9,0.10-10 | 
| Pm-147 | 3,6.10-9 | 1,9.10-9 | 9,6.10-10 | 5,7.10-10 | 3,2.10-10 | 2,6.10-10 | 
| Pm-148 | 3,0.10-8 | 1,9.10-8 | 9,7.10-9 | 5,8.10-9 | 3,3.10-9 | 2,7.10-9 | 
| Pm-148m | 1,5.10-8 | 1,0.10-8 | 5,5.10-9 | 3,5.10-9 | 2,2.10-9 | 1,7.10-9 | 
| Pm-149 | 1,2.10-8 | 7,4.10-9 | 3,7.10-9 | 2,2.10-9 | 1,2.10-9 | 9,9.10-10 | 
| Pm-150 | 2,8.10-9 | 1,7.10-9 | 8,7.10-10 | 5,2.10-10 | 3,2.10-10 | 2,6.10-10 | 
| Pm-151 | 8,0.10-9 | 5,1.10-9 | 2,6.10-9 | 1,6.10-9 | 9,1.10-10 | 7,3.10-10 | 
| Samarium | ||||||
| Sm-141 | 4,5.10-10 | 2,5.10-10 | 1,3.10-10 | 7,3.10-11 | 5,0.10-11 | 3,9.10-11 | 
| Sm-141m | 7,0.10-10 | 4,0.10-10 | 2,0.10-10 | 1,2.10-10 | 8,2.10-11 | 6,5.10-11 | 
| Sm-142 | 2,2.10-9 | 1,3.10-9 | 6,2.10-10 | 3,6.10-10 | 2,4.10-10 | 1,9.10-10 | 
| Sm-145 | 2,4.10-9 | 1,4.10-9 | 7,3.10-10 | 4,5.10-10 | 2,7.10-10 | 2,1.10-10 | 
| Sm-146 | 1,5.10-6 | 1,5.10-7 | 1,0.10-7 | 7,0.10-8 | 5,8.10-8 | 5,4.10-8 | 
| Sm-147 | 1,4.10-6 | 1,4.10-7 | 9,2.10-8 | 6,4.10-8 | 5,2.10-8 | 4,9.10-8 | 
| Sm-151 | 1,5.10-9 | 6,4.10-10 | 3,3.10-10 | 2,0.10-10 | 1,2.10-10 | 9,8.10-11 | 
| Sm-153 | 8,4.10-9 | 5,4.10-9 | 2,7.10-9 | 1,6.10-9 | 9,2.10-10 | 7,4.10-10 | 
| Sm-155 | 3,6.10-10 | 2,0.10-10 | 9,7.10-11 | 5,5.10-11 | 3,7.10-11 | 2,9.10-11 | 
| Sm-156 | 2,8.10-9 | 1,8.10-9 | 9,0.10-10 | 5,4.10-10 | 3,1.10-10 | 2,5.10-10 | 
| Europium | ||||||
| Eu-145 | 5,1.10-9 | 3,7.10-9 | 2,1.10-9 | 1,4.10-9 | 9,4.10-10 | 7,5.10-10 | 
| Eu-146 | 8,5.10-9 | 6,2.10-9 | 3,6.10-9 | 2,4.10-9 | 1,6.10-9 | 1,3.10-9 | 
| Eu-147 | 3,7.10-9 | 2,5.10-9 | 1,4.10-9 | 8,9.10-10 | 5,6.10-10 | 4,4.10-10 | 
| Eu-148 | 8,5.10-9 | 6,0.10-9 | 3,5.10-9 | 2,4.10-9 | 1,6.10-9 | 1,3.10-9 | 
| Eu-149 | 9,7.10-10 | 6,3.10-10 | 3,4.10-10 | 2,1.10-10 | 1,3.10-10 | 1,0.10-10 | 
| Eu-150 | 1,3.10-8 | 5,7.10-9 | 3,4.10-9 | 2,3.10-9 | 1,5.10-9 | 1,3.10-9 | 
| Eu-150m | 4,4.10-9 | 2,8.10-9 | 1,4.10-9 | 8,2.10-10 | 4,7.10-10 | 3,8.10-10 | 
| Eu-152 | 1,6.10-8 | 7,4.10-9 | 4,1.10-9 | 2,6.10-9 | 1,7.10-9 | 1,4.10-9 | 
| Eu-152m | 5,7.10-9 | 3,6.10-9 | 1,8.10-9 | 1,1.10-9 | 6,2.10-10 | 5,0.10-10 | 
| Eu-154 | 2,5.10-8 | 1,2.10-8 | 6,5.10-9 | 4,1.10-9 | 2,5.10-9 | 2,0.10-9 | 
| Eu-155 | 4,3.10-9 | 2,2.10-9 | 1,1.10-9 | 6,8.10-10 | 4,0.10-10 | 3,2.10-10 | 
| Eu-156 | 2,2.10-8 | 1,5.10-8 | 7,5.10-9 | 4,6.10-9 | 2,7.10-9 | 2,2.10-9 | 
| Eu-157 | 6,7.10-9 | 4,3.10-9 | 2,2.10-9 | 1,3.10-9 | 7,5.10-10 | 6,0.10-10 | 
| Eu-158 | 1,1.10-9 | 6,2.10-10 | 3,1.10-10 | 1,8.10-10 | 1,2.10-10 | 9,4.10-11 | 
| Gadolinium | ||||||
| Gd-145 | 4,5.10-10 | 2,6.10-10 | 1,3.10-10 | 8,1.10-11 | 5,6.10-11 | 4,4.10-11 | 
| Gd-146 | 9,4.10-9 | 6,0.10-9 | 3,2.10-9 | 2,0.10-9 | 1,2.10-9 | 9,6.10-10 | 
| Gd-147 | 4,5.10-9 | 3,2.10-9 | 1,8.10-9 | 1,2.10-9 | 7,7.10-10 | 6,1.10-10 | 
| Gd-148 | 1,7.10-6 | 1,6.10-7 | 1,1.10-7 | 7,3.10-8 | 5,9.10-8 | 5,6.10-8 | 
| Gd-149 | 4,0.10-9 | 2,7.10-9 | 1,5.10-9 | 9,3.10-10 | 5,7.10-10 | 4,5.10-10 | 
| Gd-151 | 2,1.10-9 | 1,3.10-9 | 6,8.10-10 | 4,2.10-10 | 2,4.10-10 | 2,0.10-10 | 
| Gd-152 | 1,2.10-6 | 1,2.10-7 | 7,7.10-8 | 5,3.10-8 | 4,3.10-8 | 4,1.10-8 | 
| Gd-153 | 2,9.10-9 | 1,8.10-9 | 9,4.10-10 | 5,8.10-10 | 3,4.10-10 | 2,7.10-10 | 
| Gd-159 | 5,7.10-9 | 3,6.10-9 | 1,8.10-9 | 1,1.10-9 | 6,2.10-10 | 4,9.10-10 | 
| Terbium | ||||||
| Tb-147 | 1,5.10-9 | 1,0.10-9 | 5,4.10-10 | 3,3.10-10 | 2,0.10-10 | 1,6.10-10 | 
| Tb-149 | 2,4.10-9 | 1,5.10-9 | 8,0.10-10 | 5,0.10-10 | 3,1.10-10 | 2,5.10-10 | 
| Tb-150 | 2,5.10-9 | 1,6.10-9 | 8,3.10-10 | 5,1.10-10 | 3,2.10-10 | 2,5.10-10 | 
| Tb-151 | 2,7.10-9 | 1,9.10-9 | 1,0.10-9 | 6,7.10-10 | 4,2.10-10 | 3,4.10-10 | 
| Tb-153 | 2,3.10-9 | 1,5.10-9 | 8,2.10-10 | 5,1.10-10 | 3,1.10-10 | 2,5.10-10 | 
| Tb-154 | 4,7.10-9 | 3,4.10-9 | 1,9.10-9 | 1,3.10-9 | 8,1.10-10 | 6,5.10-10 | 
| Tb-155 | 1,9.10-9 | 1,3.10-9 | 6,8.10-10 | 4,3.10-10 | 2,6.10-10 | 2,1.10-10 | 
| Tb-156 | 9,0.10-9 | 6,3.10-9 | 3,5.10-9 | 2,3.10-9 | 1,5.10-9 | 1,2.10-9 | 
| Tb-156n | 8,0.10-10 | 5,2.10-10 | 2,7.10-10 | 1,7.10-10 | 1,0.10-10 | 8,1.10-11 | 
| Tb-156m | 1,5.10-9 | 1,0.10-9 | 5,6.10-10 | 3,5.10-10 | 2,2.10-10 | 1,7.10-10 | 
| Tb-157 | 4,9.10-10 | 2,2.10-10 | 1,1.10-10 | 6,8.10-11 | 4,1.10-11 | 3,4.10-11 | 
| Tb-158 | 1,3.10-8 | 5,9.10-9 | 3,3.10-9 | 2,1.10-9 | 1,4.10-9 | 1,1.10-9 | 
| Tb-160 | 1,6.10-8 | 1,0.10-8 | 5,4.10-9 | 3,3.10-9 | 2,0.10-9 | 1,6.10-9 | 
| Tb-161 | 8,3.10-9 | 5,3.10-9 | 2,7.10-9 | 1,6.10-9 | 9,0.10-10 | 7,2.10-10 | 
| Dysprosium | ||||||
| Dy-155 | 9,7.10-10 | 6,8.10-10 | 3,8.10-10 | 2,5.10-10 | 1,6.10-10 | 1,3.10-10 | 
| Dy-157 | 4,4.10-10 | 3,1.10-10 | 1,8.10-10 | 1,2.10-10 | 7,7.10-11 | 6,1.10-11 | 
| Dy-159 | 1,0.10-9 | 6,4.10-10 | 3,4.10-10 | 2,1.10-10 | 1,3.10-10 | 1,0.10-10 | 
| Dy-165 | 1,3.10-9 | 7,9.10-10 | 3,9.10-10 | 2,3.10-10 | 1,4.10-10 | 1,1.10-10 | 
| Dy-166 | 1,9.10-8 | 1,2.10-8 | 6,0.10-9 | 3,6.10-9 | 2,0.10-9 | 1,6.10-9 | 
| Holmium | ||||||
| Ho-155 | 3,8.10-10 | 2,3.10-10 | 1,2.10-10 | 7,1.10-11 | 4,7.10-11 | 3,7.10-11 | 
| Ho-157 | 5,8.10-11 | 3,6.10-11 | 1,9.10-11 | 1,2.10-11 | 8,1.10-12 | 6,5.10-12 | 
| Ho-159 | 7,1.10-11 | 4,3.10-11 | 2,3.10-11 | 1,4.10-11 | 9,9.10-12 | 7,9.10-12 | 
| Ho-161 | 1,4.10-10 | 8,1.10-11 | 4,2.10-11 | 2,5.10-11 | 1,6.10-11 | 1,3.10-11 | 
| Ho-162 | 3,5.10-11 | 2,0.10-11 | 1,0.10-11 | 6,0.10-12 | 4,2.10-12 | 3,3.10-12 | 
| Ho-162m | 2,4.10-10 | 1,5.10-10 | 7,9.10-11 | 4,9.10-11 | 3,3.10-11 | 2,6.10-11 | 
| Ho-164 | 1,2.10-10 | 6,5.10-11 | 3,2.10-11 | 1,8.10-11 | 1,2.10-11 | 9,5.10-12 | 
| Ho-164m | 2,0.10-10 | 1,1.10-10 | 5,5.10-11 | 3,2.10-11 | 2,1.10-11 | 1,6.10-11 | 
| Ho-166 | 1,6.10-8 | 1,0.10-8 | 5,2.10-9 | 3,1.10-9 | 1,7.10-9 | 1,4.10-9 | 
| Ho-166m | 2,6.10-8 | 9,3.10-9 | 5,3.10-9 | 3,5.10-9 | 2,4.10-9 | 2,0.10-9 | 
| Ho-167 | 8,8.10-10 | 5,5.10-10 | 2,8.10-10 | 1,7.10-10 | 1,0.10-10 | 8,3.10-11 | 
| Erbium | ||||||
| Er-161 | 6,5.10-10 | 4,4.10-10 | 2,4.10-10 | 1,6.10-10 | 1,0.10-10 | 8,0.10-11 | 
| Er-165 | 1,7.10-10 | 1,1.10-10 | 6,2.10-11 | 3,9.10-11 | 2,4.10-11 | 1,9.10-11 | 
| Er-169 | 4,4.10-9 | 2,8.10-9 | 1,4.10-9 | 8,2.10-10 | 4,7.10-10 | 3,7.10-10 | 
| Er-171 | 4,0.10-9 | 2,5.10-9 | 1,3.10-9 | 7,6.10-10 | 4,5.10-10 | 3,6.10-10 | 
| Er-172 | 1,0.10-8 | 6,8.10-9 | 3,5.10-9 | 2,1.10-9 | 1,3.10-9 | 1,0.10-9 | 
| Thulium | ||||||
| Tm-162 | 2,9.10-10 | 1,7.10-10 | 8,7.10-11 | 5,2.10-11 | 3,6.10-11 | 2,9.10-11 | 
| Tm-166 | 2,1.10-9 | 1,5.10-9 | 8,3.10-10 | 5,5.10-10 | 3,5.10-10 | 2,8.10-10 | 
| Tm-167 | 6,0.10-9 | 3,9.10-9 | 2,0.10-9 | 1,2.10-9 | 7,0.10-10 | 5,6.10-10 | 
| Tm-170 | 1,6.10-8 | 9,8.10-9 | 4,9.10-9 | 2,9.10-9 | 1,6.10-9 | 1,3.10-9 | 
| Tm-171 | 1,5.10-9 | 7,8.10-10 | 3,9.10-10 | 2,3.10-10 | 1,3.10-10 | 1,1.10-10 | 
| Tm-172 | 1,9.10-8 | 1,2.10-8 | 6,1.10-9 | 3,7.10-9 | 2,1.10-9 | 1,7.10-9 | 
| Tm-173 | 3,3.10-9 | 2,1.10-9 | 1,1.10-9 | 6,5.10-10 | 3,8.10-10 | 3,1.10-10 | 
| Tm-175 | 3,1.10-10 | 1,7.10-10 | 8,6.10-11 | 5,0.10-11 | 3,4.10-11 | 2,7.10-11 | 
| Ytterbium | ||||||
| Yb-162 | 2,2.10-10 | 1,3.10-10 | 6,9.10-11 | 4,2.10-11 | 2,9.10-11 | 2,3.10-11 | 
| Yb-166 | 7,7.10-9 | 5,4.10-9 | 2,9.10-9 | 1,9.10-9 | 1,2.10-9 | 9,5.10-10 | 
| Yb-167 | 7,0.10-11 | 4,1.10-11 | 2,1.10-11 | 1,2.10-11 | 8,4.10-12 | 6,7.10-12 | 
| Yb-169 | 7,1.10-9 | 4,6.10-9 | 2,4.10-9 | 1,5.10-9 | 8,8.10-10 | 7,1.10-10 | 
| Yb-175 | 5,0.10-9 | 3,2.10-9 | 1,6.10-9 | 9,5.10-10 | 5,4.10-10 | 4,4.10-10 | 
| Yb-177 | 1,0.10-9 | 6,8.10-10 | 3,4.10-10 | 2,0.10-10 | 1,1.10-10 | 8,8.10-11 | 
| Yb-178 | 1,4.10-9 | 8,4.10-10 | 4,2.10-10 | 2,4.10-10 | 1,5.10-10 | 1,2.10-10 | 
| Lutétium | ||||||
| Lu-169 | 3,5.10-9 | 2,4.10-9 | 1,4.10-9 | 8,9.10-10 | 5,7.10-10 | 4,6.10-10 | 
| Lu-170 | 7,4.10-9 | 5,2.10-9 | 2,9.10-9 | 1,9.10-9 | 1,2.10-9 | 9,9.10-10 | 
| Lu-171 | 5,9.10-9 | 4,0.10-9 | 2,2.10-9 | 1,4.10-9 | 8,5.10-10 | 6,7.10-10 | 
| Lu-172 | 1,0.10-8 | 7,0.10-9 | 3,9.10-9 | 2,5.10-9 | 1,6.10-9 | 1,3.10-9 | 
| Lu-173 | 2,7.10-9 | 1,6.10-9 | 8,6.10-10 | 5,3.10-10 | 3,2.10-10 | 2,6.10-10 | 
| Lu-174 | 3,2.10-9 | 1,7.10-9 | 9,1.10-10 | 5,6.10-10 | 3,3.10-10 | 2,7.10-10 | 
| Lu-174m | 6,2.10-9 | 3,8.10-9 | 1,9.10-9 | 1,1.10-9 | 6,6.10-10 | 5,3.10-10 | 
| Lu-176 | 2,4.10-8 | 1,1.10-8 | 5,7.10-9 | 3,5.10-9 | 2,2.10-9 | 1,8.10-9 | 
| Lu-176m | 2,0.10-9 | 1,2.10-9 | 6,0.10-10 | 3,5.10-10 | 2,1.10-10 | 1,7.10-10 | 
| Lu-177 | 6,1.10-9 | 3,9.10-9 | 2,0.10-9 | 1,2.10-9 | 6,6.10-10 | 5,3.10-10 | 
| Lu-177m | 1,7.10-8 | 1,1.10-8 | 5,8.10-9 | 3,6.10-9 | 2,1.10-9 | 1,7.10-9 | 
| Lu-178 | 5,9.10-10 | 3,3.10-10 | 1,6.10-10 | 9,0.10-11 | 6,1.10-11 | 4,7.10-11 | 
| Lu-178m | 4,3.10-10 | 2,4.10-10 | 1,2.10-10 | 7,1.10-11 | 4,9.10-11 | 3,8.10-11 | 
| Lu-179 | 2,4.10-9 | 1,5.10-9 | 7,5.10-10 | 4,4.10-10 | 2,6.10-10 | 2,1.10-10 | 
| Hafnium | ||||||
| Hf-170 | 3,9.10-9 | 2,7.10-9 | 1,5.10-9 | 9,5.10-10 | 6,0.10-10 | 4,8.10-10 | 
| Hf-172 | 1,9.10-8 | 6,1.10-9 | 3,3.10-9 | 2,0.10-9 | 1,3.10-9 | 1,0.10-9 | 
| Hf-173 | 1,9.10-9 | 1,3.10-9 | 7,2.10-10 | 4,6.10-10 | 2,8.10-10 | 2,3.10-10 | 
| Hf-175 | 3,8.10-9 | 2,4.10-9 | 1,3.10-9 | 8,4.10-10 | 5,2.10-10 | 4,1.10-10 | 
| Hf-177m | 7,8.10-10 | 4,7.10-10 | 2,5.10-10 | 1,5.10-10 | 1,0.10-10 | 8,1.10-11 | 
| Hf-178m | 7,0.10-8 | 1,9.10-8 | 1,1.10-8 | 7,8.10-9 | 5,5.10-9 | 4,7.10-9 | 
| Hf-179m | 1,2.10-8 | 7,8.10-9 | 4,1.10-9 | 2,6.10-9 | 1,6.10-9 | 1,2.10-9 | 
| Hf-180m | 1,4.10-9 | 9,7.10-10 | 5,3.10-10 | 3,3.10-10 | 2,1.10-10 | 1,7.10-10 | 
| Hf-181 | 1,2.10-8 | 7,4.10-9 | 3,8.10-9 | 2,3.10-9 | 1,4.10-9 | 1,1.10-9 | 
| Hf-182 | 5,6.10-8 | 7,9.10-9 | 5,4.10-9 | 4,0.10-9 | 3,3.10-9 | 3,0.10-9 | 
| Hf-182m | 4,1.10-10 | 2,5.10-10 | 1,3.10-10 | 7,8.10-11 | 5,2.10-11 | 4,2.10-11 | 
| Hf-183 | 8,1.10-10 | 4,8.10-10 | 2,4.10-10 | 1,4.10-10 | 9,3.10-11 | 7,3.10-11 | 
| Hf-184 | 5,5.10-9 | 3,6.10-9 | 1,8.10-9 | 1,1.10-9 | 6,6.10-10 | 5,2.10-10 | 
| Tantale | ||||||
| Ta-172 | 5,5.10-10 | 3,2.10-10 | 1,6.10-10 | 9,8.10-11 | 6,6.10-11 | 5,3.10-11 | 
| Ta-173 | 2,0.10-9 | 1,3.10-9 | 6,5.10-10 | 3,9.10-10 | 2,4.10-10 | 1,9.10-10 | 
| Ta-174 | 6,2.10-10 | 3,7.10-10 | 1,9.10-10 | 1,1.10-10 | 7,2.10-11 | 5,7.10-11 | 
| Ta-175 | 1,6.10-9 | 1,1.10-9 | 6,2.10-10 | 4,0.10-10 | 2,6.10-10 | 2,1.10-10 | 
| Ta-176 | 2,4.10-9 | 1,7.10-9 | 9,2.10-10 | 6,1.10-10 | 3,9.10-10 | 3,1.10-10 | 
| Ta-177 | 1,0.10-9 | 6,9.10-10 | 3,6.10-10 | 2,2.10-10 | 1,3.10-10 | 1,1.10-10 | 
| Ta-178m | 6,3.10-10 | 4,5.10-10 | 2,4.10-10 | 1,5.10-10 | 9,1.10-11 | 7,2.10-11 | 
| Ta-179 | 6,2.10-10 | 4,1.10-10 | 2,2.10-10 | 1,3.10-10 | 8,1.10-11 | 6,5.10-11 | 
| Ta-180 | 5,8.10-10 | 3,7.10-10 | 1,9.10-10 | 1,1.10-10 | 6,7.10-11 | 5,4.10-11 | 
| Ta-182 | 1,4.10-8 | 9,4.10-9 | 5,0.10-9 | 3,1.10-9 | 1,9.10-9 | 1,5.10-9 | 
| Ta-182m | 1,4.10-10 | 7,5.10-11 | 3,7.10-11 | 2,1.10-11 | 1,5.10-11 | 1,2.10-11 | 
| Ta-183 | 1,4.10-8 | 9,3.10-9 | 4,7.10-9 | 2,8.10-9 | 1,6.10-9 | 1,3.10-9 | 
| Ta-184 | 6,7.10-9 | 4,4.10-9 | 2,3.10-9 | 1,4.10-9 | 8,5.10-10 | 6,8.10-10 | 
| Ta-185 | 8,3.10-10 | 4,6.10-10 | 2,3.10-10 | 1,3.10-10 | 8,6.10-11 | 6,8.10-11 | 
| Ta-186 | 3,8.10-10 | 2,1.10-10 | 1,1.10-10 | 6,1.10-11 | 4,2.10-11 | 3,3.10-11 | 
| Tungstène | ||||||
| W-176 | 6,8.10-10 | 5,5.10-10 | 3,0.10-10 | 2,0.10-10 | 1,3.10-10 | 1,0.10-10 | 
| W-177 | 4,4.10-10 | 3,2.10-10 | 1,7.10-10 | 1,1.10-10 | 7,2.10-11 | 5,8.10-11 | 
| W-178 | 1,8.10-9 | 1,4.10-9 | 7,3.10-10 | 4,5.10-10 | 2,7.10-10 | 2,2.10-10 | 
| W-179 | 3,4.10-11 | 2,0.10-11 | 1,0.10-11 | 6,2.10-12 | 4,2.10-12 | 3,3.10-12 | 
| W-181 | 6,3.10-10 | 4,7.10-10 | 2,5.10-10 | 1,6.10-10 | 9,5.10-11 | 7,6.10-11 | 
| W-185 | 4,4.10-9 | 3,3.10-9 | 1,6.10-9 | 9,7.10-10 | 5,5.10-10 | 4,4.10-10 | 
| W-187 | 5,5.10-9 | 4,3.10-9 | 2,2.10-9 | 1,3.10-9 | 7,8.10-10 | 6,3.10-10 | 
| W-188 | 2,1.10-8 | 1,5.10-8 | 7,7.10-9 | 4,6.10-9 | 2,6.10-9 | 2,1.10-9 | 
| Rhénium | ||||||
| Re-177 | 2,5.10-10 | 1,4.10-10 | 7,2.10-11 | 4,1.10-11 | 2,8.10-11 | 2,2.10-11 | 
| Re-178 | 2,9.10-10 | 1,6.10-10 | 7,9.10-11 | 4,6.10-11 | 3,1.10-11 | 2,5.10-11 | 
| Re-181 | 4,2.10-9 | 2,8.10-9 | 1,4.10-9 | 8,2.10-10 | 5,4.10-10 | 4,2.10-10 | 
| Re-182 | 1,4.10-8 | 8,9.10-9 | 4,7.10-9 | 2,8.10-9 | 1,8.10-9 | 1,4.10-9 | 
| Re-182m | 2,4.10-9 | 1,7.10-9 | 8,9.10-10 | 5,2.10-10 | 3,5.10-10 | 2,7.10-10 | 
| Re-184 | 8,9.10-9 | 5,6.10-9 | 3,0.10-9 | 1,8.10-9 | 1,3.10-9 | 1,0.10-9 | 
| Re-184m | 1,7.10-8 | 9,8.10-9 | 4,9.10-9 | 2,8.10-9 | 1,9.10-9 | 1,5.10-9 | 
| Re-186 | 1,9.10-8 | 1,1.10-8 | 5,5.10-9 | 3,0.10-9 | 1,9.10-9 | 1,5.10-9 | 
| Re-186m | 3,0.10-8 | 1,6.10-8 | 7,6.10-9 | 4,4.10-9 | 2,8.10-9 | 2,2.10-9 | 
| Re-187 | 6,8.10-11 | 3,8.10-11 | 1,8.10-11 | 1,0.10-11 | 6,6.10-12 | 5,1.10-12 | 
| Re-188 | 1,7.10-8 | 1,1.10-8 | 5,4.10-9 | 2,9.10-9 | 1,8.10-9 | 1,4.10-9 | 
| Re-188m | 3,8.10-10 | 2,3.10-10 | 1,1.10-10 | 6,1.10-11 | 4,0.10-11 | 3,0.10-11 | 
| Re-189 | 9,8.10-9 | 6,2.10-9 | 3,0.10-9 | 1,6.10-9 | 1,0.10-9 | 7,8.10-10 | 
| Osmium | ||||||
| Os-180 | 1,6.10-10 | 9,8.10-11 | 5,1.10-11 | 3,2.10-11 | 2,2.10-11 | 1,7.10-11 | 
| Os-181 | 7,6.10-10 | 5,0.10-10 | 2,7.10-10 | 1,7.10-10 | 1,1.10-10 | 8,9.10-11 | 
| Os-182 | 4,6.10-9 | 3,2.10-9 | 1,7.10-9 | 1,1.10-9 | 7,0.10-10 | 5,6.10-10 | 
| Os-185 | 3,8.10-9 | 2,6.10-9 | 1,5.10-9 | 9,8.10-10 | 6,5.10-10 | 5,1.10-10 | 
| Os-189m | 2,1.10-10 | 1,3.10-10 | 6,5.10-11 | 3,8.10-11 | 2,2.10-11 | 1,8.10-11 | 
| Os-191 | 6,3.10-9 | 4,1.10-9 | 2,1.10-9 | 1,2.10-9 | 7,0.10-10 | 5,7.10-10 | 
| Os-191m | 1,1.10-9 | 7,1.10-10 | 3,5.10-10 | 2,1.10-10 | 1,2.10-10 | 9,6.10-11 | 
| Os-193 | 9,3.10-9 | 6,0.10-9 | 3,0.10-9 | 1,8.10-9 | 1,0.10-9 | 8,1.10-10 | 
| Os-194 | 2,9.10-8 | 1,7.10-8 | 8,8.10-9 | 5,2.10-9 | 3,0.10-9 | 2,4.10-9 | 
| Iridium | ||||||
| Ir-182 | 5,3.10-10 | 3,0.10-10 | 1,5.10-10 | 8,9.10-11 | 6,0.10-11 | 4,8.10-11 | 
| Ir-184 | 1,5.10-9 | 9,7.10-10 | 5,2.10-10 | 3,3.10-10 | 2,1.10-10 | 1,7.10-10 | 
| Ir-185 | 2,4.10-9 | 1,6.10-9 | 8,6.10-10 | 5,3.10-10 | 3,3.10-10 | 2,6.10-10 | 
| Ir-186 | 3,8.10-9 | 2,7.10-9 | 1,5.10-9 | 9,6.10-10 | 6,1.10-10 | 4,9.10-10 | 
| Ir-186m | 5,8.10-10 | 3,6.10-10 | 2,1.10-10 | 1,3.10-10 | 7,7.10-11 | 6,1.10-11 | 
| Ir-187 | 1,1.10-9 | 7,3.10-10 | 3,9.10-10 | 2,5.10-10 | 1,5.10-10 | 1,2.10-10 | 
| Ir-188 | 4,6.10-9 | 3,3.10-9 | 1,8.10-9 | 1,2.10-9 | 7,9.10-10 | 6,3.10-10 | 
| Ir-189 | 2,5.10-9 | 1,7.10-9 | 8,6.10-10 | 5,2.10-10 | 3,0.10-10 | 2,4.10-10 | 
| Ir-190 | 1,0.10-8 | 7,1.10-9 | 3,9.10-9 | 2,5.10-9 | 1,6.10-9 | 1,2.10-9 | 
| Ir-190n | 9,4.10-10 | 6,4.10-10 | 3,5.10-10 | 2,3.10-10 | 1,5.10-10 | 1,2.10-10 | 
| Ir-190m | 7,9.10-11 | 5,0.10-11 | 2,6.10-11 | 1,6.10-11 | 1,0.10-11 | 8,0.10-12 | 
| Ir-192 | 1,3.10-8 | 8,7.10-9 | 4,6.10-9 | 2,8.10-9 | 1,7.10-9 | 1,4.10-9 | 
| Ir-192n | 2,8.10-9 | 1,4.10-9 | 8,3.10-10 | 5,5.10-10 | 3,7.10-10 | 3,1.10-10 | 
| Ir-193m | 3,2.10-9 | 2,0.10-9 | 1,0.10-9 | 6,0.10-10 | 3,4.10-10 | 2,7.10-10 | 
| Ir-194 | 1,5.10-8 | 9,8.10-9 | 4,9.10-9 | 2,9.10-9 | 1,7.10-9 | 1,3.10-9 | 
| Ir-194m | 1,7.10-8 | 1,1.10-8 | 6,4.10-9 | 4,1.10-9 | 2,6.10-9 | 2,1.10-9 | 
| Ir-195 | 1,2.10-9 | 7,3.10-10 | 3,6.10-10 | 2,1.10-10 | 1,3.10-10 | 1,0.10-10 | 
| Ir-195m | 2,3.10-9 | 1,5.10-9 | 7,3.10-10 | 4,3.10-10 | 2,6.10-10 | 2,1.10-10 | 
| Platine | ||||||
| Pt-186 | 7,8.10-10 | 5,3.10-10 | 2,9.10-10 | 1,8.10-10 | 1,2.10-10 | 9,3.10-11 | 
| Pt-188 | 6,7.10-9 | 4,5.10-9 | 2,4.10-9 | 1,5.10-9 | 9,5.10-10 | 7,6.10-10 | 
| Pt-189 | 1,1.10-9 | 7,4.10-10 | 3,9.10-10 | 2,5.10-10 | 1,5.10-10 | 1,2.10-10 | 
| Pt-191 | 3,1.10-9 | 2,1.10-9 | 1,1.10-9 | 6,9.10-10 | 4,2.10-10 | 3,4.10-10 | 
| Pt-193 | 3,7.10-10 | 2,4.10-10 | 1,2.10-10 | 6,9.10-11 | 3,9.10-11 | 3,1.10-11 | 
| Pt-193m | 5,2.10-9 | 3,4.10-9 | 1,7.10-9 | 9,9.10-10 | 5,6.10-10 | 4,5.10-10 | 
| Pt-195m | 7,1.10-9 | 4,6.10-9 | 2,3.10-9 | 1,4.10-9 | 7,9.10-10 | 6,3.10-10 | 
| Pt-197 | 4,7.10-9 | 3,0.10-9 | 1,5.10-9 | 8,8.10-10 | 5,1.10-10 | 4,0.10-10 | 
| Pt-197m | 1,0.10-9 | 6,1.10-10 | 3,0.10-10 | 1,8.10-10 | 1,1.10-10 | 8,4.10-11 | 
| Pt-199 | 4,7.10-10 | 2,7.10-10 | 1,3.10-10 | 7,5.10-11 | 5,0.10-11 | 3,9.10-11 | 
| Pt-200 | 1,4.10-8 | 8,8.10-9 | 4,4.10-9 | 2,6.10-9 | 1,5.10-9 | 1,2.10-9 | 
| Or | ||||||
| Au-193 | 1,2.10-9 | 8,8.10-10 | 4,6.10-10 | 2,8.10-10 | 1,7.10-10 | 1,3.10-10 | 
| Au-194 | 2,9.10-9 | 2,2.10-9 | 1,2.10-9 | 8,1.10-10 | 5,3.10-10 | 4,2.10-10 | 
| Au-195 | 2,4.10-9 | 1,7.10-9 | 8,9.10-10 | 5,4.10-10 | 3,2.10-10 | 2,5.10-10 | 
| Au-198 | 1,0.10-8 | 7,2.10-9 | 3,7.10-9 | 2,2.10-9 | 1,3.10-9 | 1,0.10-9 | 
| Au-198m | 1,2.10-8 | 8,5.10-9 | 4,4.10-9 | 2,7.10-9 | 1,6.10-9 | 1,3.10-9 | 
| Au-199 | 4,5.10-9 | 3,1.10-9 | 1,6.10-9 | 9,5.10-10 | 5,5.10-10 | 4,4.10-10 | 
| Au-200 | 8,3.10-10 | 4,7.10-10 | 2,3.10-10 | 1,3.10-10 | 8,7.10-11 | 6,8.10-11 | 
| Au-200m | 9,2.10-9 | 6,6.10-9 | 3,5.10-9 | 2,2.10-9 | 1,3.10-9 | 1,1.10-9 | 
| Au-201 | 3,1.10-10 | 1,7.10-10 | 8,2.10-11 | 4,6.10-11 | 3,1.10-11 | 2,4.10-11 | 
| Mercure | ||||||
| Hg-193 (mercure inorganique) | 8,5.10-10 | 5,5.10-10 | 2,8.10-10 | 1,7.10-10 | 1,0.10-10 | 8,2.10-11 | 
| Hg-193 (méthylmercure) | 3,3.10-10 | 1,9.10-10 | 9,8.10-11 | 5,8.10-11 | 3,9.10-11 | 3,1.10-11 | 
| Hg-193 (autres formes organiques) | 4,7.10-10 | 4,4.10-10 | 2,2.10-10 | 1,4.10-10 | 8,3.10-11 | 6,6.10-11 | 
| Hg-193m (mercure inorganique) | 3,6.10-9 | 2,4.10-9 | 1,3.10-9 | 8,1.10-10 | 5,0.10-10 | 4,0.10-10 | 
| Hg-193m (méthylmercure) | 1,1.10-9 | 6,8.10-10 | 3,7.10-10 | 2,3.10-10 | 1,5.10-10 | 1,3.10-10 | 
| Hg-193m (autres formes organiques) | 1,6.10-9 | 1,8.10-9 | 9,5.10-10 | 6,0.10-10 | 3,7.10-10 | 3,0.10-10 | 
| Hg-194 (mercure inorganique) | 7,2.10-9 | 3,6.10-9 | 2,6.10-9 | 1,9.10-9 | 1,5.10-9 | 1,4.10-9 | 
| Hg-194 (méthylmercure) | 1,3.10-7 | 1,2.10-7 | 8,4.10-8 | 6,6.10-8 | 5,5.10-8 | 5,1.10-8 | 
| Hg-194 (autres formes organiques) | 1,1.10-7 | 4,8.10-8 | 3,5.10-8 | 2,7.10-8 | 2,3.10-8 | 2,1.10-8 | 
| Hg-195 (mercure inorganique) | 9,5.10-10 | 6,3.10-10 | 3,3.10-10 | 2,0.10-10 | 1,2.10-10 | 9,7.10-11 | 
| Hg-195 (méthylmercure) | 3,0.10-10 | 2,0.10-10 | 1,0.10-10 | 6,4.10-11 | 4,2.10-11 | 3,4.10-11 | 
| Hg-195 (autres formes organiques) | 4,6.10-10 | 4,8.10-10 | 2,5.10-10 | 1,5.10-10 | 9,3.10-11 | 7,5.10-11 | 
| Hg-195m (mercure inorganique) | 5,8.10-9 | 3,8.10-9 | 2,0.10-9 | 1,2.10-9 | 7,0.10-10 | 5,6.10-10 | 
| Hg-195m (méthylmercure) | 2,1.10-9 | 1,3.10-9 | 6,8.10-10 | 4,2.10-10 | 2,7.10-10 | 2,2.10-10 | 
| Hg-195m (autres formes organiques) | 2,6.10-9 | 2,8.10-9 | 1,4.10-9 | 8,7.10-10 | 5,1.10-10 | 4,1.10-10 | 
| Hg-197 (mercure inorganique) | 2,5.10-9 | 1,6.10-9 | 8,3.10-10 | 5,0.10-10 | 2,9.10-10 | 2,3.10-10 | 
| Hg-197 (méthylmercure) | 9,7.10-10 | 6,2.10-10 | 3,1.10-10 | 1,9.10-10 | 1,2.10-10 | 9,9.10-11 | 
| Hg-197 (autres formes organiques) | 1,3.10-9 | 1,2.10-9 | 6,1.10-10 | 3,7.10-10 | 2,2.10-10 | 1,7.10-10 | 
| Hg-197m (mercure inorganique) | 5,2.10-9 | 3,4.10-9 | 1,7.10-9 | 1,0.10-9 | 5,9.10-10 | 4,7.10-10 | 
| Hg-197m (méthylmercure) | 1,5.10-9 | 9,5.10-10 | 4,8.10-10 | 2,9.10-10 | 1,8.10-10 | 1,5.10-10 | 
| Hg-197m (autres formes organiques) | 2,2.10-9 | 2,5.10-9 | 1,2.10-9 | 7,3.10-10 | 4,2.10-10 | 3,4.10-10 | 
| Hg-199m (mercure inorganique) | 3,7.10-10 | 2,1.10-10 | 1,0.10-10 | 5,9.10-11 | 3,9.10-11 | 3,1.10-11 | 
| Hg-199m (méthylmercure) | 3,4.10-10 | 1,9.10-10 | 9,3.10-11 | 5,3.10-11 | 3,6.10-11 | 2,8.10-11 | 
| Hg-199m (autres formes organiques) | 3,6.10-10 | 2,1.10-10 | 1,0.10-10 | 5,8.10-11 | 3,9.10-11 | 3,1.10-11 | 
| Hg-203 (mercure inorganique) | 5,5.10-9 | 3,6.10-9 | 1,8.10-9 | 1,1.10-9 | 6,7.10-10 | 5,4.10-10 | 
| Hg-203 (méthylmercure) | 1,5.10-8 | 1,1.10-8 | 5,7.10-9 | 3,6.10-9 | 2,3.10-9 | 1,9.10-9 | 
| Hg-203 (autres formes organiques) | 1,3.10-8 | 6,4.10-9 | 3,4.10-9 | 2,1.10-9 | 1,3.10-9 | 1,1.10-9 | 
| Thallium | ||||||
| Tl-194 | 6,1.10-11 | 3,9.10-11 | 2,2.10-11 | 1,4.10-11 | 1,0.10-11 | 8,1.10-12 | 
| Tl-194m | 3,8.10-10 | 2,2.10-10 | 1,2.10-10 | 7,0.10-11 | 4,9.10-11 | 4,0.10-11 | 
| Tl-195 | 2,3.10-10 | 1,4.10-10 | 7,5.10-11 | 4,7.10-11 | 3,3.10-11 | 2,7.10-11 | 
| Tl-197 | 2,1.10-10 | 1,3.10-10 | 6,7.10-11 | 4,2.10-11 | 2,8.10-11 | 2,3.10-11 | 
| Tl-198 | 4,7.10-10 | 3,3.10-10 | 1,9.10-10 | 1,2.10-10 | 8,7.10-11 | 7,3.10-11 | 
| Tl-198m | 4,8.10-10 | 3,0.10-10 | 1,6.10-10 | 9,7.10-11 | 6,7.10-11 | 5,4.10-11 | 
| Tl-199 | 2,3.10-10 | 1,5.10-10 | 7,7.10-11 | 4,8.10-11 | 3,2.10-11 | 2,6.10-11 | 
| Tl-200 | 1,3.10-9 | 9,1.10-10 | 5,3.10-10 | 3,5.10-10 | 2,4.10-10 | 2,0.10-10 | 
| Tl-201 | 8,4.10-10 | 5,5.10-10 | 2,9.10-10 | 1,8.10-10 | 1,2.10-10 | 9,5.10-11 | 
| Tl-202 | 2,9.10-9 | 2,1.10-9 | 1,2.10-9 | 7,9.10-10 | 5,4.10-10 | 4,5.10-10 | 
| Tl-204 | 1,3.10-8 | 8,5.10-9 | 4,2.10-9 | 2,5.10-9 | 1,5.10-9 | 1,2.10-9 | 
| Plomb | ||||||
| Pb-195m | 2,6.10-10 | 1,6.10-10 | 8,4.10-11 | 5,2.10-11 | 3,5.10-11 | 2,9.10-11 | 
| Pb-198 | 5,9.10-10 | 4,8.10-10 | 2,7.10-10 | 1,7.10-10 | 1,1.10-10 | 1,0.10-10 | 
| Pb-199 | 3,5.10-10 | 2,6.10-10 | 1,5.10-10 | 9,4.10-11 | 6,3.10-11 | 5,4.10-11 | 
| Pb-200 | 2,5.10-9 | 2,0.10-9 | 1,1.10-9 | 7,0.10-10 | 4,4.10-10 | 4,0.10-10 | 
| Pb-201 | 9,4.10-10 | 7,8.10-10 | 4,3.10-10 | 2,7.10-10 | 1,8.10-10 | 1,6.10-10 | 
| Pb-202 | 3,4.10-8 | 1,6.10-8 | 1,3.10-8 | 1,9.10-8 | 2,7.10-8 | 8,8.10-9 | 
| Pb-202m | 7,6.10-10 | 6,1.10-10 | 3,5.10-10 | 2,3.10-10 | 1,5.10-10 | 1,3.10-10 | 
| Pb-203 | 1,6.10-9 | 1,3.10-9 | 6,8.10-10 | 4,3.10-10 | 2,7.10-10 | 2,4.10-10 | 
| Pb-205 | 2,1.10-9 | 9,9.10-10 | 6,2.10-10 | 6,1.10-10 | 6,5.10-10 | 2,8.10-10 | 
| Pb-209 | 5,7.10-10 | 3,8.10-10 | 1,9.10-10 | 1,1.10-10 | 6,6.10-11 | 5,7.10-11 | 
| Pb-210 | 8,4.10-6 | 3,6.10-6 | 2,2.10-6 | 1,9.10-6 | 1,9.10-6 | 6,9.10-7 | 
| Pb-211 | 3,1.10-9 | 1,4.10-9 | 7,1.10-10 | 4,1.10-10 | 2,7.10-10 | 1,8.10-10 | 
| Pb-212 | 1,5.10-7 | 6,3.10-8 | 3,3.10-8 | 2,0.10-8 | 1,3.10-8 | 6,0.10-9 | 
| Pb-214 | 2,7.10-9 | 1,0.10-9 | 5,2.10-10 | 3,1.10-10 | 2,0.10-10 | 1,4.10-10 | 
| Bismuth | ||||||
| Bi-200 | 4,2.10-10 | 2,7.10-10 | 1,5.10-10 | 9,5.10-11 | 6,4.10-11 | 5,1.10-11 | 
| Bi-201 | 1,0.10-9 | 6,7.10-10 | 3,6.10-10 | 2,2.10-10 | 1,4.10-10 | 1,2.10-10 | 
| Bi-202 | 6,4.10-10 | 4,4.10-10 | 2,5.10-10 | 1,6.10-10 | 1,1.10-10 | 8,9.10-11 | 
| Bi-203 | 3,5.10-9 | 2,5.10-9 | 1,4.10-9 | 9,3.10-10 | 6,0.10-10 | 4,8.10-10 | 
| Bi-205 | 6,1.10-9 | 4,5.10-9 | 2,6.10-9 | 1,7.10-9 | 1,1.10-9 | 9,0.10-10 | 
| Bi-206 | 1,4.10-8 | 1,0.10-8 | 5,7.10-9 | 3,7.10-9 | 2,4.10-9 | 1,9.10-9 | 
| Bi-207 | 1,0.10-8 | 7,1.10-9 | 3,9.10-9 | 2,5.10-9 | 1,6.10-9 | 1,3.10-9 | 
| Bi-210 | 1,5.10-8 | 9,7.10-9 | 4,8.10-9 | 2,9.10-9 | 1,6.10-9 | 1,3.10-9 | 
| Bi-210m | 2,1.10-7 | 9,1.10-8 | 4,7.10-8 | 3,0.10-8 | 1,9.10-8 | 1,5.10-8 | 
| Bi-212 | 3,2.10-9 | 1,8.10-9 | 8,7.10-10 | 5,0.10-10 | 3,3.10-10 | 2,6.10-10 | 
| Bi-213 | 2,5.10-9 | 1,4.10-9 | 6,7.10-10 | 3,9.10-10 | 2,5.10-10 | 2,0.10-10 | 
| Bi-214 | 1,4.10-9 | 7,4.10-10 | 3,6.10-10 | 2,1.10-10 | 1,4.10-10 | 1,1.10-10 | 
| Polonium | ||||||
| Po-203 | 2,9.10-10 | 2,4.10-10 | 1,3.10-10 | 8,5.10-11 | 5,8.10-11 | 4,6.10-11 | 
| Po-205 | 3,5.10-10 | 2,8.10-10 | 1,6.10-10 | 1,1.10-10 | 7,2.10-11 | 5,8.10-11 | 
| Po-207 | 4,4.10-10 | 5,7.10-10 | 3,2.10-10 | 2,1.10-10 | 1,4.10-10 | 1,1.10-10 | 
| Po-210 | 2,6.10-5 | 8,8.10-6 | 4,4.10-6 | 2,6.10-6 | 1,6.10-6 | 1,2.10-6 | 
| Astate | ||||||
| At-207 | 2,5.10-9 | 1,6.10-9 | 8,0.10-10 | 4,8.10-10 | 2,9.10-10 | 2,4.10-10 | 
| At-211 | 1,2.10-7 | 7,8.10-8 | 3,8.10-8 | 2,3.10-8 | 1,3.10-8 | 1,1.10-8 | 
| Francium | ||||||
| Fr-222 | 6,2.10-9 | 3,9.10-9 | 2,0.10-9 | 1,3.10-9 | 8,5.10-10 | 7,2.10-10 | 
| Fr-223 | 2,6.10-8 | 1,7.10-8 | 8,3.10-9 | 5,0.10-9 | 2,9.10-9 | 2,4.10-9 | 
| Radium | ||||||
| Ra-223 | 5,3.10-6 | 1,1.10-6 | 5,7.10-7 | 4,5.10-7 | 3,7.10-7 | 1,0.10-7 | 
| Ra-224 | 2,7.10-6 | 6,6.10-7 | 3,5.10-7 | 2,6.10-7 | 2,0.10-7 | 6,5.10-8 | 
| Ra-225 | 7,1.10-6 | 1,2.10-6 | 6,1.10-7 | 5,0.10-7 | 4,4.10-7 | 9,9.10-8 | 
| Ra-226 | 4,7.10-6 | 9,6.10-7 | 6,2.10-7 | 8,0.10-7 | 1,5.10-6 | 2,8.10-7 | 
| Ra-227 | 1,1.10-9 | 4,3.10-10 | 2,5.10-10 | 1,7.10-10 | 1,3.10-10 | 8,1.10-11 | 
| Ra-228 | 3,0.10-5 | 5,7.10-6 | 3,4.10-6 | 3,9.10-6 | 5,3.10-6 | 6,9.10-7 | 
| Actinium | ||||||
| Ac-224 | 1,0.10-8 | 5,2.10-9 | 2,6.10-9 | 1,5.10-9 | 8,8.10-10 | 7,0.10-10 | 
| Ac-225 | 4,6.10-7 | 1,8.10-7 | 9,1.10-8 | 5,4.10-8 | 3,0.10-8 | 2,4.10-8 | 
| Ac-226 | 1,4.10-7 | 7,6.10-8 | 3,8.10-8 | 2,3.10-8 | 1,3.10-8 | 1,0.10-8 | 
| Ac-227 | 3,3.10-5 | 3,1.10-6 | 2,2.10-6 | 1,5.10-6 | 1,2.10-6 | 1,1.10-6 | 
| Ac-228 | 7,4.10-9 | 2,8.10-9 | 1,4.10-9 | 8,7.10-10 | 5,3.10-10 | 4,3.10-10 | 
| Thorium | ||||||
| Th-226 | 4,4.10-9 | 2,4.10-9 | 1,2.10-9 | 6,7.10-10 | 4,5.10-10 | 3,5.10-10 | 
| Th-227 | 3,0.10-7 | 7,0.10-8 | 3,6.10-8 | 2,3.10-8 | 1,5.10-8 | 8,8.10-9 | 
| Th-228 | 3,7.10-6 | 3,7.10-7 | 2,2.10-7 | 1,4.10-7 | 9,4.10-8 | 7,2.10-8 | 
| Th-229 | 1,1.10-5 | 1,0.10-6 | 7,8.10-7 | 6,2.10-7 | 5,3.10-7 | 4,9.10-7 | 
| Th-230 | 4,1.10-6 | 4,1.10-7 | 3,1.10-7 | 2,4.10-7 | 2,2.10-7 | 2,1.10-7 | 
| Th-231 | 3,9.10-9 | 2,5.10-9 | 1,2.10-9 | 7,4.10-10 | 4,2.10-10 | 3,4.10-10 | 
| Th-232 | 4,6.10-6 | 4,5.10-7 | 3,5.10-7 | 2,9.10-7 | 2,5.10-7 | 2,3.10-7 | 
| Th-234 | 4,0.10-8 | 2,5.10-8 | 1,3.10-8 | 7,4.10-9 | 4,2.10-9 | 3,4.10-9 | 
| Protactinium | ||||||
| Pa-227 | 5,8.10-9 | 3,2.10-9 | 1,5.10-9 | 8,7.10-10 | 5,8.10-10 | 4,5.10-10 | 
| Pa-228 | 1,2.10-8 | 4,8.10-9 | 2,6.10-9 | 1,6.10-9 | 9,7.10-10 | 7,8.10-10 | 
| Pa-230 | 2,6.10-8 | 5,7.10-9 | 3,1.10-9 | 1,9.10-9 | 1,1.10-9 | 9,2.10-10 | 
| Pa-231 | 1,3.10-5 | 1,3.10-6 | 1,1.10-6 | 9,2.10-7 | 8,0.10-7 | 7,1.10-7 | 
| Pa-232 | 7,2.10-9 | 4,3.10-9 | 2,3.10-9 | 1,4.10-9 | 8,9.10-10 | 7,2.10-10 | 
| Pa-233 | 9,7.10-9 | 6,2.10-9 | 3,2.10-9 | 1,9.10-9 | 1,1.10-9 | 8,7.10-10 | 
| Pa-234 | 5,0.10-9 | 3,2.10-9 | 1,7.10-9 | 1,0.10-9 | 6,4.10-10 | 5,1.10-10 | 
| Uranium | ||||||
| U-230 | 7,9.10-7 | 3,0.10-7 | 1,5.10-7 | 1,0.10-7 | 6,6.10-8 | 5,6.10-8 | 
| U-231 | 3,1.10-9 | 2,0.10-9 | 1,0.10-9 | 6,1.10-10 | 3,6.10-10 | 2,8.10-10 | 
| U-232 | 2,5.10-6 | 8,2.10-7 | 5,8.10-7 | 5,7.10-7 | 6,4.10-7 | 3,3.10-7 | 
| U-233 | 3,8.10-7 | 1,4.10-7 | 9,2.10-8 | 7,8.10-8 | 7,8.10-8 | 5,1.10-8 | 
| U-234 | 3,7.10-7 | 1,3.10-7 | 8,8.10-8 | 7,4.10-8 | 7,4.10-8 | 4,9.10-8 | 
| U-235 | 3,5.10-7 | 1,3.10-7 | 8,5.10-8 | 7,1.10-8 | 7,0.10-8 | 4,7.10-8 | 
| U-236 | 3,5.10-7 | 1,3.10-7 | 8,4.10-8 | 7,0.10-8 | 7,0.10-8 | 4,7.10-8 | 
| U-237 | 8,3.10-9 | 5,4.10-9 | 2,8.10-9 | 1,6.10-9 | 9,5.10-10 | 7,6.10-10 | 
| U-238 | 3,4.10-7 | 1,2.10-7 | 8,0.10-8 | 6,8.10-8 | 6,7.10-8 | 4,5.10-8 | 
| U-239 | 3,4.10-10 | 1,9.10-10 | 9,3.10-11 | 5,4.10-11 | 3,5.10-11 | 2,7.10-11 | 
| U-240 | 1,3.10-8 | 8,1.10-9 | 4,1.10-9 | 2,4.10-9 | 1,4.10-9 | 1,1.10-9 | 
| Neptunium | ||||||
| Np-232 | 8,7.10-11 | 5,1.10-11 | 2,7.10-11 | 1,7.10-11 | 1,2.10-11 | 9,7.10-12 | 
| Np-233 | 2,1.10-11 | 1,3.10-11 | 6,6.10-12 | 4,0.10-12 | 2,8.10-12 | 2,2.10-12 | 
| Np-234 | 6,2.10-9 | 4,4.10-9 | 2,4.10-9 | 1,6.10-9 | 1,0.10-9 | 8,1.10-10 | 
| Np-235 | 7,1.10-10 | 4,1.10-10 | 2,0.10-10 | 1,2.10-10 | 6,8.10-11 | 5,3.10-11 | 
| Np-236 | 1,9.10-7 | 2,4.10-8 | 1,8.10-8 | 1,8.10-8 | 1,8.10-8 | 1,7.10-8 | 
| Np-236m | 2,5.10-9 | 1,3.10-9 | 6,6.10-10 | 4,0.10-10 | 2,4.10-10 | 1,9.10-10 | 
| Np-237 | 2,0.10-6 | 2,1.10-7 | 1,4.10-7 | 1,1.10-7 | 1,1.10-7 | 1,1.10-7 | 
| Np-238 | 9,5.10-9 | 6,2.10-9 | 3,2.10-9 | 1,9.10-9 | 1,1.10-9 | 9,1.10-10 | 
| Np-239 | 8,9.10-9 | 5,7.10-9 | 2,9.10-9 | 1,7.10-9 | 1,0.10-9 | 8,0.10-10 | 
| Np-240 | 8,7.10-10 | 5,2.10-10 | 2,6.10-10 | 1,6.10-10 | 1,0.10-10 | 8,2.10-11 | 
| Plutonium | ||||||
| Pu-234 | 2,1.10-9 | 1,1.10-9 | 5,5.10-10 | 3,3.10-10 | 2,0.10-10 | 1,6.10-10 | 
| Pu-235 | 2,2.10-11 | 1,3.10-11 | 6,5.10-12 | 3,9.10-12 | 2,7.10-12 | 2,1.10-12 | 
| Pu-236 | 2,1.10-6 | 2,2.10-7 | 1,4.10-7 | 1,0.10-7 | 8,5.10-8 | 8,7.10-8 | 
| Pu-237 | 1,1.10-9 | 6,9.10-10 | 3,6.10-10 | 2,2.10-10 | 1,3.10-10 | 1,0.10-10 | 
| Pu-238 | 4,0.10-6 | 4,0.10-7 | 3,1.10-7 | 2,4.10-7 | 2,2.10-7 | 2,3.10-7 | 
| Pu-239 | 4,2.10-6 | 4,2.10-7 | 3,3.10-7 | 2,7.10-7 | 2,4.10-7 | 2,5.10-7 | 
| Pu-240 | 4,2.10-6 | 4,2.10-7 | 3,3.10-7 | 2,7.10-7 | 2,4.10-7 | 2,5.10-7 | 
| Pu-241 | 5,6.10-8 | 5,7.10-9 | 5,5.10-9 | 5,1.10-9 | 4,8.10-9 | 4,8.10-9 | 
| Pu-242 | 4,0.10-6 | 4,0.10-7 | 3,2.10-7 | 2,6.10-7 | 2,3.10-7 | 2,4.10-7 | 
| Pu-243 | 1,0.10-9 | 6,2.10-10 | 3,1.10-10 | 1,8.10-10 | 1,1.10-10 | 8,5.10-11 | 
| Pu-244 | 4,0.10-6 | 4,1.10-7 | 3,2.10-7 | 2,6.10-7 | 2,3.10-7 | 2,4.10-7 | 
| Pu-245 | 8,0.10-9 | 5,1.10-9 | 2,6.10-9 | 1,5.10-9 | 8,9.10-10 | 7,2.10-10 | 
| Pu-246 | 3,6.10-8 | 2,3.10-8 | 1,2.10-8 | 7,1.10-9 | 4,1.10-9 | 3,3.10-9 | 
| Américium | ||||||
| Am-237 | 1,7.10-10 | 1,0.10-10 | 5,5.10-11 | 3,3.10-11 | 2,2.10-11 | 1,8.10-11 | 
| Am-238 | 2,5.10-10 | 1,6.10-10 | 9,1.10-11 | 5,9.10-11 | 4,0.10-11 | 3,2.10-11 | 
| Am-239 | 2,6.10-9 | 1,7.10-9 | 8,4.10-10 | 5,1.10-10 | 3,0.10-10 | 2,4.10-10 | 
| Am-240 | 4,7.10-9 | 3,3.10-9 | 1,8.10-9 | 1,2.10-9 | 7,3.10-10 | 5,8.10-10 | 
| Am-241 | 3,7.10-6 | 3,7.10-7 | 2,7.10-7 | 2,2.10-7 | 2,0.10-7 | 2,0.10-7 | 
| Am-242 | 5,0.10-9 | 2,2.10-9 | 1,1.10-9 | 6,4.10-10 | 3,7.10-10 | 3,0.10-10 | 
| Am-242m | 3,1.10-6 | 3,0.10-7 | 2,3.10-7 | 2,0.10-7 | 1,9.10-7 | 1,9.10-7 | 
| Am-243 | 3,6.10-6 | 3,7.10-7 | 2,7.10-7 | 2,2.10-7 | 2,0.10-7 | 2,0.10-7 | 
| Am-244 | 4,9.10-9 | 3,1.10-9 | 1,6.10-9 | 9,6.10-10 | 5,8.10-10 | 4,6.10-10 | 
| Am-244m | 3,7.10-10 | 2,0.10-10 | 9,6.10-11 | 5,5.10-11 | 3,7.10-11 | 2,9.10-11 | 
| Am-245 | 6,8.10-10 | 4,5.10-10 | 2,2.10-10 | 1,3.10-10 | 7,9.10-11 | 6,2.10-11 | 
| Am-246 | 6,7.10-10 | 3,8.10-10 | 1,9.10-10 | 1,1.10-10 | 7,3.10-11 | 5,8.10-11 | 
| Am-246m | 3,9.10-10 | 2,2.10-10 | 1,1.10-10 | 6,4.10-11 | 4,4.10-11 | 3,4.10-11 | 
| Curium | ||||||
| Cm-238 | 7,8.10-10 | 4,9.10-10 | 2,6.10-10 | 1,6.10-10 | 1,0.10-10 | 8,0.10-11 | 
| Cm-240 | 2,2.10-7 | 4,8.10-8 | 2,5.10-8 | 1,5.10-8 | 9,2.10-9 | 7,6.10-9 | 
| Cm-241 | 1,1.10-8 | 5,7.10-9 | 3,0.10-9 | 1,9.10-9 | 1,1.10-9 | 9,1.10-10 | 
| Cm-242 | 5,9.10-7 | 7,6.10-8 | 3,9.10-8 | 2,4.10-8 | 1,5.10-8 | 1,2.10-8 | 
| Cm-243 | 3,2.10-6 | 3,3.10-7 | 2,2.10-7 | 1,6.10-7 | 1,4.10-7 | 1,5.10-7 | 
| Cm-244 | 2,9.10-6 | 2,9.10-7 | 1,9.10-7 | 1,4.10-7 | 1,2.10-7 | 1,2.10-7 | 
| Cm-245 | 3,7.10-6 | 3,7.10-7 | 2,8.10-7 | 2,3.10-7 | 2,1.10-7 | 2,1.10-7 | 
| Cm-246 | 3,7.10-6 | 3,7.10-7 | 2,8.10-7 | 2,2.10-7 | 2,1.10-7 | 2,1.10-7 | 
| Cm-247 | 3,4.10-6 | 3,5.10-7 | 2,6.10-7 | 2,1.10-7 | 1,9.10-7 | 1,9.10-7 | 
| Cm-248 | 1,4.10-5 | 1,4.10-6 | 1,0.10-6 | 8,4.10-7 | 7,7.10-7 | 7,7.10-7 | 
| Cm-249 | 3,9.10-10 | 2,2.10-10 | 1,1.10-10 | 6,1.10-11 | 4,0.10-11 | 3,1.10-11 | 
| Cm-250 | 7,8.10-5 | 8,2.10-6 | 6,0.10-6 | 4,9.10-6 | 4,4.10-6 | 4,4.10-6 | 
| Berkélium | ||||||
| Bk-245 | 6,1.10-9 | 3,9.10-9 | 2,0.10-9 | 1,2.10-9 | 7,2.10-10 | 5,7.10-10 | 
| Bk-246 | 3,7.10-9 | 2,6.10-9 | 1,4.10-9 | 9,4.10-10 | 6,0.10-10 | 4,8.10-10 | 
| Bk-247 | 8,9.10-6 | 8,6.10-7 | 6,3.10-7 | 4,6.10-7 | 3,8.10-7 | 3,5.10-7 | 
| Bk-249 | 2,2.10-8 | 2,9.10-9 | 1,9.10-9 | 1,4.10-9 | 1,1.10-9 | 9,7.10-10 | 
| Bk-250 | 1,5.10-9 | 8,5.10-10 | 4,4.10-10 | 2,7.10-10 | 1,7.10-10 | 1,4.10-10 | 
| Californium | ||||||
| Cf-244 | 9,8.10-10 | 4,8.10-10 | 2,4.10-10 | 1,3.10-10 | 8,9.10-11 | 7,0.10-11 | 
| Cf-246 | 5,0.10-8 | 2,4.10-8 | 1,2.10-8 | 7,3.10-9 | 4,1.10-9 | 3,3.10-9 | 
| Cf-248 | 1,5.10-6 | 1,6.10-7 | 9,9.10-8 | 6,0.10-8 | 3,3.10-8 | 2,8.10-8 | 
| Cf-249 | 9,0.10-6 | 8,7.10-7 | 6,4.10-7 | 4,7.10-7 | 3,8.10-7 | 3,5.10-7 | 
| Cf-250 | 5,7.10-6 | 5,5.10-7 | 3,7.10-7 | 2,3.10-7 | 1,7.10-7 | 1,6.10-7 | 
| Cf-251 | 9,1.10-6 | 8,8.10-7 | 6,5.10-7 | 4,7.10-7 | 3,9.10-7 | 3,6.10-7 | 
| Cf-252 | 5,0.10-6 | 5,1.10-7 | 3,2.10-7 | 1,9.10-7 | 1,0.10-7 | 9,0.10-8 | 
| Cf-253 | 1,0.10-7 | 1,1.10-8 | 6,0.10-9 | 3,7.10-9 | 1,8.10-9 | 1,4.10-9 | 
| Cf-254 | 1,1.10-5 | 2,6.10-6 | 1,4.10-6 | 8,4.10-7 | 5,0.10-7 | 4,0.10-7 | 
| Einsteinium | ||||||
| Es-250m | 2,3.10-10 | 9,9.10-11 | 5,7.10-11 | 3,7.10-11 | 2,6.10-11 | 2,1.10-11 | 
| Es-251 | 1,9.10-9 | 1,2.10-9 | 6,1.10-10 | 3,7.10-10 | 2,2.10-10 | 1,7.10-10 | 
| Es-253 | 1,7.10-7 | 4,5.10-8 | 2,3.10-8 | 1,4.10-8 | 7,6.10-9 | 6,1.10-9 | 
| Es-254 | 1,4.10-6 | 1,6.10-7 | 9,8.10-8 | 6,0.10-8 | 3,3.10-8 | 2,8.10-8 | 
| Es-254m | 5,7.10-8 | 3,0.10-8 | 1,5.10-8 | 9,1.10-9 | 5,2.10-9 | 4,2.10-9 | 
| Fermium | ||||||
| Fm-252 | 3,8.10-8 | 2,0.10-8 | 9,9.10-9 | 5,9.10-9 | 3,3.10-9 | 2,7.10-9 | 
| Fm-253 | 2,5.10-8 | 6,7.10-9 | 3,4.10-9 | 2,1.10-9 | 1,1.10-9 | 9,1.10-10 | 
| Fm-254 | 5,6.10-9 | 3,2.10-9 | 1,6.10-9 | 9,3.10-10 | 5,6.10-10 | 4,4.10-10 | 
| Fm-255 | 3,3.10-8 | 1,9.10-8 | 9,5.10-9 | 5,6.10-9 | 3,2.10-9 | 2,5.10-9 | 
| Fm-257 | 9,8.10-7 | 1,1.10-7 | 6,5.10-8 | 4,0.10-8 | 1,9.10-8 | 1,5.10-8 | 
| Mendélévium | ||||||
| Md-257 | 3,1.10-9 | 8,8.10-10 | 4,5.10-10 | 2,7.10-10 | 1,5.10-10 | 1,2.10-10 | 
| Md-258 | 6,3.10-7 | 8,9.10-8 | 5,0.10-8 | 3,0.10-8 | 1,6.10-8 | 1,3.10-8 | 
Tableau 1.2. Doses efficaces engagées par unité d'activité incorporée par inhalation d'aérosols, en Sv.Bq-1, applicables à la population ainsi qu'aux jeunes travailleurs jusqu'à 18 ans (sauf descendants du radon 222 et du radon 220), d'après les données de la publication 119 de la CIPR
Les abréviations suivantes sont utilisées. F : clairance pulmonaire rapide ; M : clairance pulmonaire moyenne ; S : clairance pulmonaire lente ; * : type d'absorption par défaut recommandé pour les aérosols lorsqu'aucune information spécifique n'est disponible (cf. publication 71 de la CIPR).
Le diamètre aérodynamique médian en activité retenu par défaut pour l'inhalation d'aérosols par la population est de 1 µm. Un autre diamètre aérodynamique médian en activité peut être utilisé s'il existe des données démontrant que la population inhale un aérosol avec ce diamètre.
| Radionucléide | Type d'absorption | Age ≤ 1 an | 1-2 ans | 2-7 ans | 7-12 ans | 12-17 ans | > 17 ans | 
| h(g) (Sv.Bq-1) | h(g) (Sv.Bq-1) | h(g) (Sv.Bq-1) | h(g) (Sv.Bq-1) | h(g) (Sv.Bq-1) | h(g) (Sv.Bq-1) | ||
| Hydrogène | |||||||
| H-3 | F | 2,6.10-11 | 2,0.10-11 | 1,1.10-11 | 8,2.10-12 | 5,9.10-12 | 6,2.10-12 | 
| M* | 3,4.10-10 | 2,7.10-10 | 1,4.10-10 | 8,2.10-11 | 5,3.10-11 | 4,5.10-11 | |
| S | 1,2.10-9 | 1,0.10-9 | 6,3.10-10 | 3,8.10-10 | 2,8.10-10 | 2,6.10-10 | |
| Béryllium | |||||||
| Be-7 | M | 2,5.10-10 | 2,1.10-10 | 1,2.10-10 | 8,3.10-11 | 6,2.10-11 | 5,0.10-11 | 
| S | 2,8.10-10 | 2,4.10-10 | 1,4.10-10 | 9,6.10-11 | 6,8.10-11 | 5,5.10-11 | |
| Be-10 | M | 4,1.10-8 | 3,4.10-8 | 2,0.10-8 | 1,3.10-8 | 1,1.10-8 | 9,6.10-9 | 
| S | 9,9.10-8 | 9,1.10-8 | 6,1.10-8 | 4,2.10-8 | 3,7.10-8 | 3,5.10-8 | |
| Carbone | |||||||
| C-11 | F | 1,0.10-10 | 7,0.10-11 | 3,2.10-11 | 2,1.10-11 | 1,3.10-11 | 1,1.10-11 | 
| M* | 1,5.10-10 | 1,1.10-10 | 4,9.10-11 | 3,2.10-11 | 2,1.10-11 | 1,8.10-11 | |
| S | 1,6.10-10 | 1,1.10-10 | 5,1.10-11 | 3,3.10-11 | 2,2.10-11 | 1,8.10-11 | |
| C-14 | F | 6,1.10-10 | 6,7.10-10 | 3,6.10-10 | 2,9.10-10 | 1,9.10-10 | 2,0.10-10 | 
| M* | 8,3.10-9 | 6,6.10-9 | 4,0.10-9 | 2,8.10-9 | 2,5.10-9 | 2,0.10-9 | |
| S | 1,9.10-8 | 1,7.10-8 | 1,1.10-8 | 7,4.10-9 | 6,4.10-9 | 5,8.10-9 | |
| Fluor | |||||||
| F-18 | F | 2,6.10-10 | 1,9.10-10 | 9,1.10-11 | 5,6.10-11 | 3,4.10-11 | 2,8.10-11 | 
| M | 4,1.10-10 | 2,9.10-10 | 1,5.10-10 | 9,7.10-11 | 6,9.10-11 | 5,6.10-11 | |
| S | 4,2.10-10 | 3,1.10-10 | 1,5.10-10 | 1,0.10-10 | 7,3.10-11 | 5,9.10-11 | |
| Sodium | |||||||
| Na-22 | F | 9,7.10-9 | 7,3.10-9 | 3,8.10-9 | 2,4.10-9 | 1,5.10-9 | 1,3.10-9 | 
| Na-24 | F | 2,3.10-9 | 1,8.10-9 | 9,3.10-10 | 5,7.10-10 | 3,4.10-10 | 2,7.10-10 | 
| Magnésium | |||||||
| Mg-28 | F | 5,3.10-9 | 4,7.10-9 | 2,2.10-9 | 1,3.10-9 | 7,3.10-10 | 6,0.10-10 | 
| M | 7,3.10-9 | 7,2.10-9 | 3,5.10-9 | 2,3.10-9 | 1,5.10-9 | 1,2.10-9 | |
| Aluminium | |||||||
| Al-26 | F | 8,1.10-8 | 6,2.10-8 | 3,2.10-8 | 2,0.10-8 | 1,3.10-8 | 1,1.10-8 | 
| M | 8,8.10-8 | 7,4.10-8 | 4,4.10-8 | 2,9.10-8 | 2,2.10-8 | 2,0.10-8 | |
| Silicium | |||||||
| Si-31 | F | 3,6.10-10 | 2,3.10-10 | 9,5.10-11 | 5,9.10-11 | 3,2.10-11 | 2,7.10-11 | 
| M | 6,9.10-10 | 4,4.10-10 | 2,0.10-10 | 1,3.10-10 | 8,9.10-11 | 7,4.10-11 | |
| S | 7,2.10-10 | 4,7.10-10 | 2,2.10-10 | 1,4.10-10 | 9,5.10-11 | 7,9.10-11 | |
| Si-32 | F | 3,0.10-8 | 2,3.10-8 | 1,1.10-8 | 6,4.10-9 | 3,8.10-9 | 3,2.10-9 | 
| M | 7,1.10-8 | 6,0.10-8 | 3,6.10-8 | 2,4.10-8 | 1,9.10-8 | 1,7.10-8 | |
| S | 2,8.10-7 | 2,7.10-7 | 1,9.10-7 | 1,3.10-7 | 1,1.10-7 | 1,1.10-7 | |
| Phosphore | |||||||
| P-32 | F | 1,2.10-8 | 7,5.10-9 | 3,2.10-9 | 1,8.10-9 | 9,8.10-10 | 7,7.10-10 | 
| M | 2,2.10-8 | 1,5.10-8 | 8,0.10-9 | 5,3.10-9 | 4,0.10-9 | 3,4.10-9 | |
| P-33 | F | 1,2.10-9 | 7,8.10-10 | 3,0.10-10 | 2,0.10-10 | 1,1.10-10 | 9,2.10-11 | 
| M | 6,1.10-9 | 4,6.10-9 | 2,8.10-9 | 2,1.10-9 | 1,9.10-9 | 1,5.10-9 | |
| Soufre | |||||||
| S-35 (inorganique) | F | 5,5.10-10 | 3,9.10-10 | 1,8.10-10 | 1,1.10-10 | 6,0.10-11 | 5,1.10-11 | 
| M* | 5,9.10-9 | 4,5.10-9 | 2,8.10-9 | 2,0.10-9 | 1,8.10-9 | 1,4.10-9 | |
| S | 7,7.10-9 | 6,0.10-9 | 3,6.10-9 | 2,6.10-9 | 2,3.10-9 | 1,9.10-9 | |
| Chlore | |||||||
| Cl-36 | F | 3,9.10-9 | 2,6.10-9 | 1,1.10-9 | 7,1.10-10 | 3,9.10-10 | 3,3.10-10 | 
| M | 3,1.10-8 | 2,6.10-8 | 1,5.10-8 | 1,0.10-8 | 8,8.10-9 | 7,3.10-9 | |
| Cl-38 | F | 2,9.10-10 | 1,9.10-10 | 8,4.10-11 | 5,1.10-11 | 3,0.10-11 | 2,5.10-11 | 
| M | 4,7.10-10 | 3,0.10-10 | 1,4.10-10 | 8,5.10-11 | 5,4.10-11 | 4,5.10-11 | |
| Cl-39 | F | 2,7.10-10 | 1,8.10-10 | 8,4.10-11 | 5,1.10-11 | 3,1.10-11 | 2,5.10-11 | 
| M | 4,3.10-10 | 2,8.10-10 | 1,3.10-10 | 8,5.10-11 | 5,6.10-11 | 4,6.10-11 | |
| Potassium | |||||||
| K-40 | F | 2,4.10-8 | 1,7.10-8 | 7,5.10-9 | 4,5.10-9 | 2,5.10-9 | 2,1.10-9 | 
| K-42 | F | 1,6.10-9 | 1,0.10-9 | 4,4.10-10 | 2,6.10-10 | 1,5.10-10 | 1,2.10-10 | 
| K-43 | F | 1,3.10-9 | 9,7.10-10 | 4,7.10-10 | 2,9.10-10 | 1,7.10-10 | 1,4.10-10 | 
| K-44 | F | 2,2.10-10 | 1,4.10-10 | 6,5.10-11 | 4,0.10-11 | 2,4.10-11 | 2,0.10-11 | 
| K-45 | F | 1,5.10-10 | 1,0.10-10 | 4,8.10-11 | 3,0.10-11 | 1,8.10-11 | 1,5.10-11 | 
| Calcium | |||||||
| Ca-41 | F | 6,7.10-10 | 3,8.10-10 | 2,6.10-10 | 3,3.10-10 | 3,3.10-10 | 1,7.10-10 | 
| M | 4,2.10-10 | 2,6.10-10 | 1,7.10-10 | 1,7.10-10 | 1,6.10-10 | 9,5.10-11 | |
| S | 6,7.10-10 | 6,0.10-10 | 3,8.10-10 | 2,4.10-10 | 1,9.10-10 | 1,8.10-10 | |
| Ca-45 | F | 5,7.10-9 | 3,0.10-9 | 1,4.10-9 | 1,0.10-9 | 7,6.10-10 | 4,6.10-10 | 
| M | 1,2.10-8 | 8,8.10-9 | 5,3.10-9 | 3,9.10-9 | 3,5.10-9 | 2,7.10-9 | |
| S | 1,5.10-8 | 1,2.10-8 | 7,2.10-9 | 5,1.10-9 | 4,6.10-9 | 3,7.10-9 | |
| Ca-47 | F | 4,9.10-9 | 3,6.10-9 | 1,7.10-9 | 1,1.10-9 | 6,1.10-10 | 5,5.10-10 | 
| M | 1,0.10-8 | 7,7.10-9 | 4,2.10-9 | 2,9.10-9 | 2,4.10-9 | 1,9.10-9 | |
| S | 1,2.10-8 | 8,5.10-9 | 4,6.10-9 | 3,3.10-9 | 2,6.10-9 | 2,1.10-9 | |
| Scandium | |||||||
| Sc-43 | S | 9,3.10-10 | 6,7.10-10 | 3,3.10-10 | 2,2.10-10 | 1,4.10-10 | 1,1.10-10 | 
| Sc-44 | S | 1,6.10-9 | 1,2.10-9 | 5,6.10-10 | 3,6.10-10 | 2,3.10-10 | 1,8.10-10 | 
| Sc-44m | S | 1,1.10-8 | 8,4.10-9 | 4,2.10-9 | 2,8.10-9 | 1,7.10-9 | 1,4.10-9 | 
| Sc-46 | S | 2,8.10-8 | 2,3.10-8 | 1,4.10-8 | 9,8.10-9 | 8,4.10-9 | 6,8.10-9 | 
| Sc-47 | S | 4,0.10-9 | 2,8.10-9 | 1,5.10-9 | 1,1.10-9 | 9,2.10-10 | 7,3.10-10 | 
| Sc-48 | S | 7,8.10-9 | 5,9.10-9 | 3,1.10-9 | 2,0.10-9 | 1,4.10-9 | 1,1.10-9 | 
| Sc-49 | S | 3,9.10-10 | 2,4.10-10 | 1,1.10-10 | 7,1.10-11 | 4,7.10-11 | 4,0.10-11 | 
| Titane | |||||||
| Ti-44 | F | 3,1.10-7 | 2,6.10-7 | 1,5.10-7 | 9,6.10-8 | 6,6.10-8 | 6,1.10-8 | 
| M | 1,7.10-7 | 1,5.10-7 | 9,2.10-8 | 5,9.10-8 | 4,6.10-8 | 4,2.10-8 | |
| S | 3,2.10-7 | 3,1.10-7 | 2,1.10-7 | 1,5.10-7 | 1,3.10-7 | 1,2.10-7 | |
| Ti-45 | F | 4,4.10-10 | 3,2.10-10 | 1,5.10-10 | 9,1.10-11 | 5,1.10-11 | 4,2.10-11 | 
| M | 7,4.10-10 | 5,2.10-10 | 2,5.10-10 | 1,6.10-10 | 1,1.10-10 | 8,8.10-11 | |
| S | 7,7.10-10 | 5,5.10-10 | 2,7.10-10 | 1,7.10-10 | 1,1.10-10 | 9,3.10-11 | |
| Vanadium | |||||||
| V-47 | F | 1,8.10-10 | 1,2.10-10 | 5,6.10-11 | 3,5.10-11 | 2,1.10-11 | 1,7.10-11 | 
| M | 2,8.10-10 | 1,9.10-10 | 8,6.10-11 | 5,5.10-11 | 3,5.10-11 | 2,9.10-11 | |
| V-48 | F | 8,4.10-9 | 6,4.10-9 | 3,3.10-9 | 2,1.10-9 | 1,3.10-9 | 1,1.10-9 | 
| M | 1,4.10-8 | 1,1.10-8 | 6,3.10-9 | 4,3.10-9 | 2,9.10-9 | 2,4.10-9 | |
| V-49 | F | 2,0.10-10 | 1,6.10-10 | 7,7.10-11 | 4,3.10-11 | 2,5.10-11 | 2,1.10-11 | 
| M | 2,8.10-10 | 2,1.10-10 | 1,1.10-10 | 6,3.10-11 | 4,0.10-11 | 3,4.10-11 | |
| Chrome | |||||||
| Cr-48 | F | 7,6.10-10 | 6,0.10-10 | 3,1.10-10 | 2,0.10-10 | 1,2.10-10 | 9,9.10-11 | 
| M | 1,1.10-9 | 9,1.10-10 | 5,1.10-10 | 3,4.10-10 | 2,5.10-10 | 2,0.10-10 | |
| S | 1,2.10-9 | 9,8.10-10 | 5,5.10-10 | 3,7.10-10 | 2,8.10-10 | 2,2.10-10 | |
| Cr-49 | F | 1,9.10-10 | 1,3.10-10 | 6,0.10-11 | 3,7.10-11 | 2,2.10-11 | 1,9.10-11 | 
| M | 3,0.10-10 | 2,0.10-10 | 9,5.10-11 | 6,1.10-11 | 4,0.10-11 | 3,3.10-11 | |
| S | 3,1.10-10 | 2,1.10-10 | 9,9.10-11 | 6,4.10-11 | 4,2.10-11 | 3,5.10-11 | |
| Cr-51 | F | 1,7.10-10 | 1,3.10-10 | 6,3.10-11 | 4,0.10-11 | 2,4.10-11 | 2,0.10-11 | 
| M | 2,6.10-10 | 1,9.10-10 | 1,0.10-10 | 6,4.10-11 | 3,9.10-11 | 3,2.10-11 | |
| S | 2,6.10-10 | 2,1.10-10 | 1,0.10-10 | 6,6.10-11 | 4,5.10-11 | 3,7.10-11 | |
| Manganèse | |||||||
| Mn-51 | F | 2,5.10-10 | 1,7.10-10 | 7,5.10-11 | 4,6.10-11 | 2,7.10-11 | 2,3.10-11 | 
| M | 4,0.10-10 | 2,7.10-10 | 1,2.10-10 | 7,8.10-11 | 5,0.10-11 | 4,1.10-11 | |
| Mn-52 | F | 7,0.10-9 | 5,5.10-9 | 2,9.10-9 | 1,8.10-9 | 1,1.10-9 | 9,4.10-10 | 
| M | 8,6.10-9 | 6,8.10-9 | 3,7.10-9 | 2,4.10-9 | 1,7.10-9 | 1,4.10-9 | |
| Mn-52m | F | 1,9.10-10 | 1,3.10-10 | 6,1.10-11 | 3,8.10-11 | 2,2.10-11 | 1,9.10-11 | 
| M | 2,8.10-10 | 1,9.10-10 | 8,7.10-11 | 5,5.10-11 | 3,4.10-11 | 2,9.10-11 | |
| Mn-53 | F | 3,2.10-10 | 2,2.10-10 | 1,1.10-10 | 6,0.10-11 | 3,4.10-11 | 2,9.10-11 | 
| M | 4,6.10-10 | 3,4.10-10 | 1,7.10-10 | 1,0.10-10 | 6,4.10-11 | 5,4.10-11 | |
| Mn-54 | F | 5,2.10-9 | 4,1.10-9 | 2,2.10-9 | 1,5.10-9 | 9,9.10-10 | 8,5.10-10 | 
| M | 7,5.10-9 | 6,2.10-9 | 3,8.10-9 | 2,4.10-9 | 1,9.10-9 | 1,5.10-9 | |
| Mn-56 | F | 6,9.10-10 | 4,9.10-10 | 2,3.10-10 | 1,4.10-10 | 7,8.10-11 | 6,4.10-11 | 
| M | 1,1.10-9 | 7,8.10-10 | 3,7.10-10 | 2,4.10-10 | 1,5.10-10 | 1,2.10-10 | |
| Fer | |||||||
| Fe-52 | F | 5,2.10-9 | 3,6.10-9 | 1,5.10-9 | 8,9.10-10 | 4,9.10-10 | 3,9.10-10 | 
| M* | 5,8.10-9 | 4,1.10-9 | 1,9.10-9 | 1,2.10-9 | 7,4.10-10 | 6,0.10-10 | |
| S | 6,0.10-9 | 4,2.10-9 | 2,0.10-9 | 1,3.10-9 | 7,7.10-10 | 6,3.10-10 | |
| Fe-55 | F | 4,2.10-9 | 3,2.10-9 | 2,2.10-9 | 1,4.10-9 | 9,4.10-10 | 7,7.10-10 | 
| M* | 1,9.10-9 | 1,4.10-9 | 9,9.10-10 | 6,2.10-10 | 4,4.10-10 | 3,8.10-10 | |
| S | 1,0.10-9 | 8,5.10-10 | 5,0.10-10 | 2,9.10-10 | 2,0.10-10 | 1,8.10-10 | |
| Fe-59 | F | 2,1.10-8 | 1,3.10-8 | 7,1.10-9 | 4,2.10-9 | 2,6.10-9 | 2,2.10-9 | 
| M* | 1,8.10-8 | 1,3.10-8 | 7,9.10-9 | 5,5.10-9 | 4,6.10-9 | 3,7.10-9 | |
| S | 1,7.10-8 | 1,3.10-8 | 8,1.10-9 | 5,8.10-9 | 5,1.10-9 | 4,0.10-9 | |
| Fe-60 | F | 4,4.10-7 | 3,9.10-7 | 3,5.10-7 | 3,2.10-7 | 2,9.10-7 | 2,8.10-7 | 
| M* | 2,0.10-7 | 1,7.10-7 | 1,6.10-7 | 1,4.10-7 | 1,4.10-7 | 1,4.10-7 | |
| S | 9,3.10-8 | 8,8.10-8 | 6,7.10-8 | 5,2.10-8 | 4,9.10-8 | 4,9.10-8 | |
| Cobalt | |||||||
| Co-55 | F | 2,2.10-9 | 1,8.10-9 | 9,0.10-10 | 5,5.10-10 | 3,1.10-10 | 2,7.10-10 | 
| M* | 4,1.10-9 | 3,1.10-9 | 1,5.10-9 | 9,8.10-10 | 6,1.10-10 | 5,0.10-10 | |
| S | 4,6.10-9 | 3,3.10-9 | 1,6.10-9 | 1,1.10-9 | 6,6.10-10 | 5,3.10-10 | |
| Co-56 | F | 1,4.10-8 | 1,0.10-8 | 5,5.10-9 | 3,5.10-9 | 2,2.10-9 | 1,8.10-9 | 
| M* | 2,5.10-8 | 2,1.10-8 | 1,1.10-8 | 7,4.10-9 | 5,8.10-9 | 4,8.10-9 | |
| S | 2,9.10-8 | 2,5.10-8 | 1,5.10-8 | 1,0.10-8 | 8,0.10-9 | 6,7.10-9 | |
| Co-57 | F | 1,5.10-9 | 1,1.10-9 | 5,6.10-10 | 3,7.10-10 | 2,3.10-10 | 1,9.10-10 | 
| M* | 2,8.10-9 | 2,2.10-9 | 1,3.10-9 | 8,5.10-10 | 6,7.10-10 | 5,5.10-10 | |
| S | 4,4.10-9 | 3,7.10-9 | 2,3.10-9 | 1,5.10-9 | 1,2.10-9 | 1,0.10-9 | |
| Co-58 | F | 4,0.10-9 | 3,0.10-9 | 1,6.10-9 | 1,0.10-9 | 6,4.10-10 | 5,3.10-10 | 
| M* | 7,3.10-9 | 6,5.10-9 | 3,5.10-9 | 2,4.10-9 | 2,0.10-9 | 1,6.10-9 | |
| S | 9,0.10-9 | 7,5.10-9 | 4,5.10-9 | 3,1.10-9 | 2,6.10-9 | 2,1.10-9 | |
| Co-58m | F | 4,8.10-11 | 3,6.10-11 | 1,7.10-11 | 1,1.10-11 | 5,9.10-12 | 5,2.10-12 | 
| M* | 1,1.10-10 | 7,6.10-11 | 3,8.10-11 | 2,4.10-11 | 1,6.10-11 | 1,3.10-11 | |
| S | 1,3.10-10 | 9,0.10-11 | 4,5.10-11 | 3,0.10-11 | 2,0.10-11 | 1,7.10-11 | |
| Co-60 | F | 3,0.10-8 | 2,3.10-8 | 1,4.10-8 | 8,9.10-9 | 6,1.10-9 | 5,2.10-9 | 
| M* | 4,2.10-8 | 3,4.10-8 | 2,1.10-8 | 1,5.10-8 | 1,2.10-8 | 1,0.10-8 | |
| S | 9,2.10-8 | 8,6.10-8 | 5,9.10-8 | 4,0.10-8 | 3,4.10-8 | 3,1.10-8 | |
| Co-60m | F | 4,4.10-12 | 2,8.10-12 | 1,5.10-12 | 1,0.10-12 | 8,3.10-13 | 6,9.10-13 | 
| M* | 7,1.10-12 | 4,7.10-12 | 2,7.10-12 | 1,8.10-12 | 1,5.10-12 | 1,2.10-12 | |
| S | 7,6.10-12 | 5,1.10-12 | 2,9.10-12 | 2,0.10-12 | 1,7.10-12 | 1,4.10-12 | |
| Co-61 | F | 2,1.10-10 | 1,4.10-10 | 6,0.10-11 | 3,8.10-11 | 2,2.10-11 | 1,9.10-11 | 
| M* | 4,0.10-10 | 2,7.10-10 | 1,2.10-10 | 8,2.10-11 | 5,7.10-11 | 4,7.10-11 | |
| S | 4,3.10-10 | 2,8.10-10 | 1,3.10-10 | 8,8.10-11 | 6,1.10-11 | 5,1.10-11 | |
| Co-62m | F | 1,4.10-10 | 9,5.10-11 | 4,5.10-11 | 2,8.10-11 | 1,7.10-11 | 1,4.10-11 | 
| M* | 1,9.10-10 | 1,3.10-10 | 6,1.10-11 | 3,8.10-11 | 2,4.10-11 | 2,0.10-11 | |
| S | 2,0.10-10 | 1,3.10-10 | 6,3.10-11 | 4,0.10-11 | 2,5.10-11 | 2,1.10-11 | |
| Nickel | |||||||
| Ni-56 | F | 3,3.10-9 | 2,8.10-9 | 1,5.10-9 | 9,3.10-10 | 5,8.10-10 | 4,9.10-10 | 
| M* | 4,9.10-9 | 4,1.10-9 | 2,3.10-9 | 1,5.10-9 | 1,1.10-9 | 8,7.10-10 | |
| S | 5,5.10-9 | 4,6.10-9 | 2,7.10-9 | 1,8.10-9 | 1,3.10-9 | 1,0.10-9 | |
| Ni-57 | F | 2,2.10-9 | 1,8.10-9 | 8,9.10-10 | 5,5.10-10 | 3,1.10-10 | 2,5.10-10 | 
| M* | 3,6.10-9 | 2,8.10-9 | 1,5.10-9 | 9,5.10-10 | 6,2.10-10 | 5,0.10-10 | |
| S | 3,9.10-9 | 3,0.10-9 | 1,5.10-9 | 1,0.10-9 | 6,6.10-10 | 5,3.10-10 | |
| Ni-59 | F | 9,6.10-10 | 8,1.10-10 | 4,5.10-10 | 2,8.10-10 | 1,9.10-10 | 1,8.10-10 | 
| M* | 7,9.10-10 | 6,2.10-10 | 3,4.10-10 | 2,1.10-10 | 1,4.10-10 | 1,3.10-10 | |
| S | 1,7.10-9 | 1,5.10-9 | 9,5.10-10 | 5,9.10-10 | 4,6.10-10 | 4,4.10-10 | |
| Ni-63 | F | 2,3.10-9 | 2,0.10-9 | 1,1.10-9 | 6,7.10-10 | 4,6.10-10 | 4,4.10-10 | 
| M* | 2,5.10-9 | 1,9.10-9 | 1,1.10-9 | 7,0.10-10 | 5,3.10-10 | 4,8.10-10 | |
| S | 4,8.10-9 | 4,3.10-9 | 2,7.10-9 | 1,7.10-9 | 1,3.10-9 | 1,3.10-9 | |
| Ni-65 | F | 4,4.10-10 | 3,0.10-10 | 1,4.10-10 | 8,5.10-11 | 4,9.10-11 | 4,1.10-11 | 
| M* | 7,7.10-10 | 5,2.10-10 | 2,4.10-10 | 1,6.10-10 | 1,0.10-10 | 8,5.10-11 | |
| S | 8,1.10-10 | 5,5.10-10 | 2,6.10-10 | 1,7.10-10 | 1,1.10-10 | 9,0.10-11 | |
| Ni-66 | F | 5,7.10-9 | 3,8.10-9 | 1,6.10-9 | 1,0.10-9 | 5,1.10-10 | 4,2.10-10 | 
| M* | 1,3.10-8 | 9,4.10-9 | 4,5.10-9 | 2,9.10-9 | 2,0.10-9 | 1,6.10-9 | |
| S | 1,5.10-8 | 1,0.10-8 | 5,0.10-9 | 3,2.10-9 | 2,2.10-9 | 1,8.10-9 | |
| Cuivre | |||||||
| Cu-60 | F | 2,1.10-10 | 1,6.10-10 | 7,5.10-11 | 4,6.10-11 | 2,8.10-11 | 2,3.10-11 | 
| M | 3,0.10-10 | 2,2.10-10 | 1,0.10-10 | 6,5.10-11 | 4,0.10-11 | 3,3.10-11 | |
| S | 3,1.10-10 | 2,2.10-10 | 1,1.10-10 | 6,7.10-11 | 4,2.10-11 | 3,4.10-11 | |
| Cu-61 | F | 3,1.10-10 | 2,7.10-10 | 1,3.10-10 | 7,9.10-11 | 4,5.10-11 | 3,7.10-11 | 
| M | 4,9.10-10 | 4,4.10-10 | 2,1.10-10 | 1,4.10-10 | 9,1.10-11 | 7,4.10-11 | |
| S | 5,1.10-10 | 4,5.10-10 | 2,2.10-10 | 1,4.10-10 | 9,6.10-11 | 7,8.10-11 | |
| Cu-64 | F | 2,8.10-10 | 2,7.10-10 | 1,2.10-10 | 7,6.10-11 | 4,2.10-11 | 3,5.10-11 | 
| M | 5,5.10-10 | 5,4.10-10 | 2,7.10-10 | 1,9.10-10 | 1,4.10-10 | 1,1.10-10 | |
| S | 5,8.10-10 | 5,7.10-10 | 2,9.10-10 | 2,0.10-10 | 1,3.10-10 | 1,2.10-10 | |
| Cu-67 | F | 9,5.10-10 | 8,0.10-10 | 3,5.10-10 | 2,2.10-10 | 1,2.10-10 | 1,0.10-10 | 
| M | 2,3.10-9 | 2,0.10-9 | 1,1.10-9 | 8,1.10-10 | 6,9.10-10 | 5,5.10-10 | |
| S | 2,5.10-9 | 2,1.10-9 | 1,2.10-9 | 8,9.10-10 | 7,7.10-10 | 6,1.10-10 | |
| Zinc | |||||||
| Zn-62 | F | 1,7.10-9 | 1,7.10-9 | 7,7.10-10 | 4,6.10-10 | 2,5.10-10 | 2,0.10-10 | 
| M* | 4,5.10-9 | 3,5.10-9 | 1,6.10-9 | 1,0.10-9 | 6,0.10-10 | 5,0.10-10 | |
| S | 5,1.10-9 | 3,4.10-9 | 1,8.10-9 | 1,1.10-9 | 6,6.10-10 | 5,5.10-10 | |
| Zn-63 | F | 2,1.10-10 | 1,4.10-10 | 6,5.10-11 | 4,0.10-11 | 2,4.10-11 | 2,0.10-11 | 
| M* | 3,4.10-10 | 2,3.10-10 | 1,0.10-10 | 6,6.10-11 | 4,2.10-11 | 3,5.10-11 | |
| S | 3,6.10-10 | 2,4.10-10 | 1,1.10-10 | 6,9.10-11 | 4,4.10-11 | 3,7.10-11 | |
| Zn-65 | F | 1,5.10-8 | 1,0.10-8 | 5,7.10-9 | 3,8.10-9 | 2,5.10-9 | 2,2.10-9 | 
| M* | 8,5.10-9 | 6,5.10-9 | 3,7.10-9 | 2,4.10-9 | 1,9.10-9 | 1,6.10-9 | |
| S | 7,6.10-9 | 6,7.10-9 | 4,4.10-9 | 2,9.10-9 | 2,4.10-9 | 2,0.10-9 | |
| Zn-69 | F | 1,1.10-10 | 7,4.10-11 | 3,2.10-11 | 2,1.10-11 | 1,2.10-11 | 1,1.10-11 | 
| M* | 2,2.10-10 | 1,4.10-10 | 6,5.10-11 | 4,4.10-11 | 3,1.10-11 | 2,6.10-11 | |
| S | 2,3.10-10 | 1,5.10-10 | 6,9.10-11 | 4,7.10-11 | 3,4.10-11 | 2,8.10-11 | |
| Zn-69m | F | 6,6.10-10 | 6,7.10-10 | 3,0.10-10 | 1,8.10-10 | 9,9.10-11 | 8,2.10-11 | 
| M* | 2,1.10-9 | 1,5.10-9 | 7,5.10-10 | 5,0.10-10 | 3,0.10-10 | 2,4.10-10 | |
| S | 2,2.10-9 | 1,7.10-9 | 8,2.10-10 | 5,4.10-10 | 3,3.10-10 | 2,7.10-10 | |
| Zn-71m | F | 6,2.10-10 | 5,5.10-10 | 2,6.10-10 | 1,6.10-10 | 9,1.10-11 | 7,4.10-11 | 
| M* | 1,3.10-9 | 9,4.10-10 | 4,6.10-10 | 2,9.10-10 | 1,9.10-10 | 1,5.10-10 | |
| S | 1,4.10-9 | 1,0.10-9 | 4,9.10-10 | 3,1.10-10 | 2,0.10-10 | 1,6.10-10 | |
| Zn-72 | F | 4,3.10-9 | 3,5.10-9 | 1,7.10-9 | 1,0.10-9 | 5,9.10-10 | 4,9.10-10 | 
| M* | 8,8.10-9 | 6,5.10-9 | 3,4.10-9 | 2,3.10-9 | 1,5.10-9 | 1,2.10-9 | |
| S | 9,7.10-9 | 7,0.10-9 | 3,6.10-9 | 2,4.10-9 | 1,6.10-9 | 1,3.10-9 | |
| Gallium | |||||||
| Ga-65 | F | 1,1.10-10 | 7,3.10-11 | 3,4.10-11 | 2,1.10-11 | 1,3.10-11 | 1,1.10-11 | 
| M | 1,6.10-10 | 1,1.10-10 | 4,8.10-11 | 3,1.10-11 | 2,0.10-11 | 1,7.10-11 | |
| Ga-66 | F | 2,8.10-9 | 2,0.10-9 | 9,2.10-10 | 5,7.10-10 | 3,0.10-10 | 2,5.10-10 | 
| M | 4,5.10-9 | 3,1.10-9 | 1,5.10-9 | 9,2.10-10 | 5,3.10-10 | 4,4.10-10 | |
| Ga-67 | F | 6,4.10-10 | 4,6.10-10 | 2,2.10-10 | 1,4.10-10 | 7,7.10-11 | 6,4.10-11 | 
| M | 1,4.10-9 | 1,0.10-9 | 5,0.10-10 | 3,6.10-10 | 3,0.10-10 | 2,4.10-10 | |
| Ga-68 | F | 2,9.10-10 | 1,9.10-10 | 8,8.10-11 | 5,4.10-11 | 3,1.10-11 | 2,6.10-11 | 
| M | 4,6.10-10 | 3,1.10-10 | 1,4.10-10 | 9,2.10-11 | 5,9.10-11 | 4,9.10-11 | |
| Ga-70 | F | 9,5.10-11 | 6,0.10-11 | 2,6.10-11 | 1,6.10-11 | 1,0.10-11 | 8,8.10-12 | 
| M | 1,5.10-10 | 9,6.10-11 | 4,3.10-11 | 2,8.10-11 | 1,8.10-11 | 1,6.10-11 | |
| Ga-72 | F | 2,9.10-9 | 2,2.10-9 | 1,0.10-9 | 6,4.10-10 | 3,6.10-10 | 2,9.10-10 | 
| M | 4,5.10-9 | 3,3.10-9 | 1,6.10-9 | 1,0.10-9 | 6,5.10-10 | 5,3.10-10 | |
| Ga-73 | F | 6,7.10-10 | 4,5.10-10 | 2,0.10-10 | 1,2.10-10 | 6,4.10-11 | 5,4.10-11 | 
| M | 1,2.10-9 | 8,4.10-10 | 4,0.10-10 | 2,6.10-10 | 1,7.10-10 | 1,4.10-10 | |
| Germanium | |||||||
| Ge-66 | F | 4,5.10-10 | 3,5.10-10 | 1,8.10-10 | 1,1.10-10 | 6,7.10-11 | 5,4.10-11 | 
| M | 6,4.10-10 | 4,8.10-10 | 2,5.10-10 | 1,6.10-10 | 1,1.10-10 | 9,1.10-11 | |
| Ge-67 | F | 1,7.10-10 | 1,1.10-10 | 4,9.10-11 | 3,1.10-11 | 1,8.10-11 | 1,5.10-11 | 
| M | 2,5.10-10 | 1,6.10-10 | 7,3.10-11 | 4,6.10-11 | 2,9.10-11 | 2,5.10-11 | |
| Ge-68 | F | 5,4.10-9 | 3,8.10-9 | 1,8.10-9 | 1,1.10-9 | 6,3.10-10 | 5,2.10-10 | 
| M | 6,0.10-8 | 5,0.10-8 | 3,0.10-8 | 2,0.10-8 | 1,6.10-8 | 1,4.10-8 | |
| Ge-69 | F | 1,2.10-9 | 9,0.10-10 | 4,6.10-10 | 2,8.10-10 | 1,7.10-10 | 1,3.10-10 | 
| M | 1,8.10-9 | 1,4.10-9 | 7,4.10-10 | 4,9.10-10 | 3,6.10-10 | 2,9.10-10 | |
| Ge-71 | F | 6,0.10-11 | 4,3.10-11 | 2,0.10-11 | 1,1.10-11 | 6,1.10-12 | 4,8.10-12 | 
| M | 1,2.10-10 | 8,6.10-11 | 4,1.10-11 | 2,4.10-11 | 1,3.10-11 | 1,1.10-11 | |
| Ge-75 | F | 1,6.10-10 | 1,0.10-10 | 4,3.10-11 | 2,8.10-11 | 1,7.10-11 | 1,5.10-11 | 
| M | 2,9.10-10 | 1,9.10-10 | 8,9.10-11 | 6,1.10-11 | 4,4.10-11 | 3,6.10-11 | |
| Ge-77 | F | 1,3.10-9 | 9,5.10-10 | 4,7.10-10 | 2,9.10-10 | 1,7.10-10 | 1,4.10-10 | 
| M | 2,3.10-9 | 1,7.10-9 | 8,8.10-10 | 6,0.10-10 | 4,5.10-10 | 3,7.10-10 | |
| Ge-78 | F | 4,3.10-10 | 2,9.10-10 | 1,4.10-10 | 8,9.10-11 | 5,5.10-11 | 4,5.10-11 | 
| M | 7,3.10-10 | 5,0.10-10 | 2,5.10-10 | 1,6.10-10 | 1,2.10-10 | 9,5.10-11 | |
| Arsenic | |||||||
| As-69 | M | 2,1.10-10 | 1,4.10-10 | 6,3.10-11 | 4,0.10-11 | 2,5.10-11 | 2,1.10-11 | 
| As-70 | M | 5,7.10-10 | 4,3.10-10 | 2,1.10-10 | 1,3.10-10 | 8,3.10-11 | 6,7.10-11 | 
| As-71 | M | 2,2.10-9 | 1,9.10-9 | 1,0.10-9 | 6,8.10-10 | 5,0.10-10 | 4,0.10-10 | 
| As-72 | M | 5,9.10-9 | 5,7.10-9 | 2,7.10-9 | 1,7.10-9 | 1,1.10-9 | 9,0.10-10 | 
| As-73 | M | 5,4.10-9 | 4,0.10-9 | 2,3.10-9 | 1,5.10-9 | 1,2.10-9 | 1,0.10-9 | 
| As-74 | M | 1,1.10-8 | 8,4.10-9 | 4,7.10-9 | 3,3.10-9 | 2,6.10-9 | 2,1.10-9 | 
| As-76 | M | 5,1.10-9 | 4,6.10-9 | 2,2.10-9 | 1,4.10-9 | 8,8.10-10 | 7,4.10-10 | 
| As-77 | M | 2,2.10-9 | 1,7.10-9 | 8,9.10-10 | 6,2.10-10 | 5,0.10-10 | 3,9.10-10 | 
| As-78 | M | 8,0.10-10 | 5,8.10-10 | 2,7.10-10 | 1,7.10-10 | 1,1.10-10 | 8,9.10-11 | 
| Sélénium | |||||||
| Se-70 | F* | 3,9.10-10 | 3,0.10-10 | 1,5.10-10 | 9,0.10-11 | 5,1.10-11 | 4,2.10-11 | 
| M | 6,5.10-10 | 4,7.10-10 | 2,3.10-10 | 1,4.10-10 | 8,9.10-11 | 7,3.10-11 | |
| S | 6,8.10-10 | 4,8.10-10 | 2,3.10-10 | 1,5.10-10 | 9,4.10-11 | 7,6.10-11 | |
| Se-73 | F* | 7,7.10-10 | 6,5.10-10 | 3,3.10-10 | 2,1.10-10 | 1,0.10-10 | 8,0.10-11 | 
| M | 1,6.10-9 | 1,2.10-9 | 5,9.10-10 | 3,8.10-10 | 2,4.10-10 | 1,9.10-10 | |
| S | 1,8.10-9 | 1,3.10-9 | 6,3.10-10 | 4,0.10-10 | 2,6.10-10 | 2,1.10-10 | |
| Se-73m | F* | 9,3.10-11 | 7,2.10-11 | 3,5.10-11 | 2,3.10-11 | 1,1.10-11 | 9,2.10-12 | 
| M | 1,8.10-10 | 1,3.10-10 | 6,1.10-11 | 3,9.10-11 | 2,5.10-11 | 2,0.10-11 | |
| S | 1,9.10-10 | 1,3.10-10 | 6,5.10-11 | 4,1.10-11 | 2,6.10-11 | 2,2.10-11 | |
| Se-75 | F* | 7,8.10-9 | 6,0.10-9 | 3,4.10-9 | 2,5.10-9 | 1,2.10-9 | 1,0.10-9 | 
| M | 5,4.10-9 | 4,5.10-9 | 2,5.10-9 | 1,7.10-9 | 1,3.10-9 | 1,1.10-9 | |
| S | 5,6.10-9 | 4,7.10-9 | 2,9.10-9 | 2,0.10-9 | 1,6.10-9 | 1,3.10-9 | |
| Se-79 | F* | 1,6.10-8 | 1,3.10-8 | 7,7.10-9 | 5,6.10-9 | 1,5.10-9 | 1,1.10-9 | 
| M | 1,4.10-8 | 1,1.10-8 | 6,9.10-9 | 4,9.10-9 | 3,3.10-9 | 2,6.10-9 | |
| S | 2,3.10-8 | 2,0.10-8 | 1,3.10-8 | 8,7.10-9 | 7,6.10-9 | 6,8.10-9 | |
| Se-81 | F* | 8,6.10-11 | 5,4.10-11 | 2,3.10-11 | 1,5.10-11 | 9,2.10-12 | 8,0.10-12 | 
| M | 1,3.10-10 | 8,5.10-11 | 3,8.10-11 | 2,5.10-11 | 1,6.10-11 | 1,4.10-11 | |
| S | 1,4.10-10 | 8,9.10-11 | 3,9.10-11 | 2,6.10-11 | 1,7.10-11 | 1,5.10-11 | |
| Se-81m | F* | 1,8.10-10 | 1,2.10-10 | 5,4.10-11 | 3,4.10-11 | 1,9.10-11 | 1,6.10-11 | 
| M | 3,8.10-10 | 2,5.10-10 | 1,2.10-10 | 8,0.10-11 | 5,8.10-11 | 4,7.10-11 | |
| S | 4,1.10-10 | 2,7.10-10 | 1,3.10-10 | 8,5.10-11 | 6,2.10-11 | 5,1.10-11 | |
| Se-83 | F* | 1,7.10-10 | 1,2.10-10 | 5,8.10-11 | 3,6.10-11 | 2,1.10-11 | 1,8.10-11 | 
| M | 2,7.10-10 | 1,9.10-10 | 9,2.10-11 | 5,9.10-11 | 3,9.10-11 | 3,2.10-11 | |
| S | 2,8.10-10 | 2,0.10-10 | 9,6.10-11 | 6,2.10-11 | 4,1.10-11 | 3,4.10-11 | |
| Brome | |||||||
| Br-74 | F | 2,5.10-10 | 1,8.10-10 | 8,6.10-11 | 5,3.10-11 | 3,2.10-11 | 2,6.10-11 | 
| M | 3,6.10-10 | 2,5.10-10 | 1,2.10-10 | 7,5.10-11 | 4,6.10-11 | 3,8.10-11 | |
| Br-74m | F | 4,0.10-10 | 2,8.10-10 | 1,3.10-10 | 8,1.10-11 | 4,8.10-11 | 3,9.10-11 | 
| M | 5,9.10-10 | 4,1.10-10 | 1,9.10-10 | 1,2.10-10 | 7,5.10-11 | 6,2.10-11 | |
| Br-75 | F | 2,9.10-10 | 2,1.10-10 | 9,7.10-11 | 5,9.10-11 | 3,5.10-11 | 2,9.10-11 | 
| M | 4,5.10-10 | 3,1.10-10 | 1,5.10-10 | 9,7.10-11 | 6,5.10-11 | 5,3.10-11 | |
| Br-76 | F | 2,2.10-9 | 1,7.10-9 | 8,4.10-10 | 5,1.10-10 | 3,0.10-10 | 2,4.10-10 | 
| M | 3,0.10-9 | 2,3.10-9 | 1,2.10-9 | 7,5.10-10 | 5,0.10-10 | 4,1.10-10 | |
| Br-77 | F | 5,3.10-10 | 4,4.10-10 | 2,2.10-10 | 1,3.10-10 | 7,7.10-11 | 6,2.10-11 | 
| M | 6,3.10-10 | 5,1.10-10 | 2,7.10-10 | 1,6.10-10 | 1,1.10-10 | 8,4.10-11 | |
| Br-80 | F | 7,1.10-11 | 4,4.10-11 | 1,8.10-11 | 1,2.10-11 | 6,9.10-12 | 5,9.10-12 | 
| M | 1,1.10-10 | 6,5.10-11 | 2,8.10-11 | 1,8.10-11 | 1,1.10-11 | 9,4.10-12 | |
| Br-80m | F | 4,3.10-10 | 2,8.10-10 | 1,2.10-10 | 7,2.10-11 | 4,0.10-11 | 3,3.10-11 | 
| M | 6,8.10-10 | 4,5.10-10 | 2,1.10-10 | 1,4.10-10 | 9,3.10-11 | 7,6.10-11 | |
| Br-82 | F | 2,7.10-9 | 2,2.10-9 | 1,2.10-9 | 7,0.10-10 | 4,2.10-10 | 3,5.10-10 | 
| M | 3,8.10-9 | 3,0.10-9 | 1,7.10-9 | 1,1.10-9 | 7,9.10-10 | 6,3.10-10 | |
| Br-83 | F | 1,7.10-10 | 1,1.10-10 | 4,7.10-11 | 3,0.10-11 | 1,8.10-11 | 1,6.10-11 | 
| M | 3,5.10-10 | 2,3.10-10 | 1,1.10-10 | 7,7.10-11 | 5,9.10-11 | 4,8.10-11 | |
| Br-84 | F | 2,4.10-10 | 1,6.10-10 | 7,1.10-11 | 4,4.10-11 | 2,6.10-11 | 2,2.10-11 | 
| M | 3,7.10-10 | 2,4.10-10 | 1,1.10-10 | 6,9.10-11 | 4,4.10-11 | 3,7.10-11 | |
| Rubidium | |||||||
| Rb-79 | F | 1,6.10-10 | 1,1.10-10 | 5,0.10-11 | 3,2.10-11 | 1,9.10-11 | 1,6.10-11 | 
| Rb-81 | F | 3,2.10-10 | 2,5.10-10 | 1,2.10-10 | 7,1.10-11 | 4,2.10-11 | 3,4.10-11 | 
| Rb-81m | F | 6,2.10-11 | 4,6.10-11 | 2,2.10-11 | 1,4.10-11 | 8,5.10-12 | 7,0.10-12 | 
| Rb-82m | F | 8,6.10-10 | 7,3.10-10 | 3,9.10-10 | 2,3.10-10 | 1,4.10-10 | 1,1.10-10 | 
| Rb-83 | F | 4,9.10-9 | 3,8.10-9 | 2,0.10-9 | 1,3.10-9 | 7,9.10-10 | 6,9.10-10 | 
| Rb-84 | F | 8,6.10-9 | 6,4.10-9 | 3,1.10-9 | 2,0.10-9 | 1,2.10-9 | 1,0.10-9 | 
| Rb-86 | F | 1,2.10-8 | 7,7.10-9 | 3,4.10-9 | 2,0.10-9 | 1,1.10-9 | 9,3.10-10 | 
| Rb-87 | F | 6,0.10-9 | 4,1.10-9 | 1,8.10-9 | 1,1.10-9 | 6,0.10-10 | 5,0.10-10 | 
| Rb-88 | F | 1,9.10-10 | 1,2.10-10 | 5,2.10-11 | 3,2.10-11 | 1,9.10-11 | 1,6.10-11 | 
| Rb-89 | F | 1,4.10-10 | 9,3.10-11 | 4,3.10-11 | 2,7.10-11 | 1,6.10-11 | 1,4.10-11 | 
| Strontium | |||||||
| Sr-80 | F | 7,8.10-10 | 5,4.10-10 | 2,4.10-10 | 1,4.10-10 | 7,9.10-11 | 7,1.10-11 | 
| M* | 1,4.10-9 | 9,0.10-10 | 4,1.10-10 | 2,5.10-10 | 1,5.10-10 | 1,3.10-10 | |
| S | 1,5.10-9 | 9,4.10-10 | 4,3.10-10 | 2,7.10-10 | 1,6.10-10 | 1,4.10-10 | |
| Sr-81 | F | 2,1.10-10 | 1,5.10-10 | 6,7.10-11 | 4,1.10-11 | 2,4.10-11 | 2,1.10-11 | 
| M* | 3,3.10-10 | 2,2.10-10 | 1,0.10-10 | 6,6.10-11 | 4,2.10-11 | 3,5.10-11 | |
| S | 3,4.10-10 | 2,3.10-10 | 1,1.10-10 | 6,9.10-11 | 4,4.10-11 | 3,7.10-11 | |
| Sr-82 | F | 2,8.10-8 | 1,5.10-8 | 6,6.10-9 | 4,6.10-9 | 3,2.10-9 | 2,1.10-9 | 
| M* | 5,5.10-8 | 4,0.10-8 | 2,1.10-8 | 1,4.10-8 | 1,0.10-8 | 8,9.10-9 | |
| S | 6,1.10-8 | 4,6.10-8 | 2,5.10-8 | 1,7.10-8 | 1,2.10-8 | 1,1.10-8 | |
| Sr-83 | F | 1,4.10-9 | 1,1.10-9 | 5,5.10-10 | 3,4.10-10 | 2,0.10-10 | 1,6.10-10 | 
| M* | 2,5.10-9 | 1,9.10-9 | 9,5.10-10 | 6,0.10-10 | 3,9.10-10 | 3,1.10-10 | |
| S | 2,8.10-9 | 2,0.10-9 | 1,0.10-9 | 6,5.10-10 | 4,2.10-10 | 3,4.10-10 | |
| Sr-85 | F | 4,4.10-9 | 2,3.10-9 | 1,1.10-9 | 9,6.10-10 | 8,3.10-10 | 3,8.10-10 | 
| M* | 4,3.10-9 | 3,1.10-9 | 1,8.10-9 | 1,2.10-9 | 8,8.10-10 | 6,4.10-10 | |
| S | 4,4.10-9 | 3,7.10-9 | 2,2.10-9 | 1,3.10-9 | 1,0.10-9 | 8,1.10-10 | |
| Sr-85m | F | 2,4.10-11 | 1,9.10-11 | 9,6.10-12 | 6,0.10-12 | 3,7.10-12 | 2,9.10-12 | 
| M* | 3,1.10-11 | 2,5.10-11 | 1,3.10-11 | 8,0.10-12 | 5,1.10-12 | 4,1.10-12 | |
| S | 3,2.10-11 | 2,6.10-11 | 1,3.10-11 | 8,3.10-12 | 5,4.10-12 | 4,3.10-12 | |
| Sr-87m | F | 9,7.10-11 | 7,8.10-11 | 3,8.10-11 | 2,3.10-11 | 1,3.10-11 | 1,1.10-11 | 
| M* | 1,6.10-10 | 1,2.10-10 | 5,9.10-11 | 3,8.10-11 | 2,5.10-11 | 2,0.10-11 | |
| S | 1,7.10-10 | 1,2.10-10 | 6,2.10-11 | 4,0.10-11 | 2,6.10-11 | 2,1.10-11 | |
| Sr-89 | F | 1,5.10-8 | 7,3.10-9 | 3,2.10-9 | 2,3.10-9 | 1,7.10-9 | 1,0.10-9 | 
| M* | 3,3.10-8 | 2,4.10-8 | 1,3.10-8 | 9,1.10-9 | 7,3.10-9 | 6,1.10-9 | |
| S | 3,9.10-8 | 3,0.10-8 | 1,7.10-8 | 1,2.10-8 | 9,3.10-9 | 7,9.10-9 | |
| Sr-90 | F | 1,3.10-7 | 5,2.10-8 | 3,1.10-8 | 4,1.10-8 | 5,3.10-8 | 2,4.10-8 | 
| M* | 1,5.10-7 | 1,1.10-7 | 6,5.10-8 | 5,1.10-8 | 5,0.10-8 | 3,6.10-8 | |
| S | 4,2.10-7 | 4,0.10-7 | 2,7.10-7 | 1,8.10-7 | 1,6.10-7 | 1,6.10-7 | |
| Sr-91 | F | 1,4.10-9 | 1,1.10-9 | 5,2.10-10 | 3,1.10-10 | 1,7.10-10 | 1,6.10-10 | 
| M* | 3,1.10-9 | 2,2.10-9 | 1,1.10-9 | 6,9.10-10 | 4,4.10-10 | 3,7.10-10 | |
| S | 3,5.10-9 | 2,5.10-9 | 1,2.10-9 | 7,7.10-10 | 4,9.10-10 | 4,1.10-10 | |
| Sr-92 | F | 9,0.10-10 | 7,1.10-10 | 3,3.10-10 | 2,0.10-10 | 1,0.10-10 | 9,8.10-11 | 
| M* | 1,9.10-9 | 1,4.10-9 | 6,5.10-10 | 4,1.10-10 | 2,5.10-10 | 2,1.10-10 | |
| S | 2,2.10-9 | 1,5.10-9 | 7,0.10-10 | 4,5.10-10 | 2,7.10-10 | 2,3.10-10 | |
| Yttrium | |||||||
| Y-86 | M | 3,7.10-9 | 2,9.10-9 | 1,5.10-9 | 9,3.10-10 | 5,6.10-10 | 4,5.10-10 | 
| S | 3,8.10-9 | 3,0.10-9 | 1,5.10-9 | 9,6.10-10 | 5,8.10-10 | 4,7.10-10 | |
| Y-86m | M | 2,2.10-10 | 1,7.10-10 | 8,7.10-11 | 5,6.10-11 | 3,4.10-11 | 2,7.10-11 | 
| S | 2,3.10-10 | 1,8.10-10 | 9,0.10-11 | 5,7.10-11 | 3,5.10-11 | 2,8.10-11 | |
| Y-87 | M | 2,7.10-9 | 2,1.10-9 | 1,1.10-9 | 7,0.10-10 | 4,7.10-10 | 3,7.10-10 | 
| S | 2,8.10-9 | 2,2.10-9 | 1,1.10-9 | 7,3.10-10 | 5,0.10-10 | 3,9.10-10 | |
| Y-88 | M | 1,9.10-8 | 1,6.10-8 | 1,0.10-8 | 6,7.10-9 | 4,9.10-9 | 4,1.10-9 | 
| S | 2,0.10-8 | 1,7.10-8 | 9,8.10-9 | 6,6.10-9 | 5,4.10-9 | 4,4.10-9 | |
| Y-90 | M | 1,3.10-8 | 8,4.10-9 | 4,0.10-9 | 2,6.10-9 | 1,7.10-9 | 1,4.10-9 | 
| S | 1,3.10-8 | 8,8.10-9 | 4,2.10-9 | 2,7.10-9 | 1,8.10-9 | 1,5.10-9 | |
| Y-90m | M | 7,2.10-10 | 5,7.10-10 | 2,8.10-10 | 1,8.10-10 | 1,1.10-10 | 9,5.10-11 | 
| S | 7,5.10-10 | 6,0.10-10 | 2,9.10-10 | 1,9.10-10 | 1,2.10-10 | 1,0.10-10 | |
| Y-91 | M | 3,9.10-8 | 3,0.10-8 | 1,6.10-8 | 1,1.10-8 | 8,4.10-9 | 7,1.10-9 | 
| S | 4,3.10-8 | 3,4.10-8 | 1,9.10-8 | 1,3.10-8 | 1,0.10-8 | 8,9.10-9 | |
| Y-91m | M | 7,0.10-11 | 5,5.10-11 | 2,9.10-11 | 1,8.10-11 | 1,2.10-11 | 1,0.10-11 | 
| S | 7,4.10-11 | 5,9.10-11 | 3,1.10-11 | 2,0.10-11 | 1,4.10-11 | 1,1.10-11 | |
| Y-92 | M | 1,8.10-9 | 1,2.10-9 | 5,3.10-10 | 3,3.10-10 | 2,0.10-10 | 1,7.10-10 | 
| S | 1,9.10-9 | 1,2.10-9 | 5,5.10-10 | 3,5.10-10 | 2,1.10-10 | 1,8.10-10 | |
| Y-93 | M | 4,4.10-9 | 2,9.10-9 | 1,3.10-9 | 8,1.10-10 | 4,7.10-10 | 4,0.10-10 | 
| S | 4,6.10-9 | 3,0.10-9 | 1,4.10-9 | 8,5.10-10 | 5,0.10-10 | 4,2.10-10 | |
| Y-94 | M | 2,8.10-10 | 1,8.10-10 | 8,1.10-11 | 5,0.10-11 | 3,1.10-11 | 2,7.10-11 | 
| S | 2,9.10-10 | 1,9.10-10 | 8,4.10-11 | 5,2.10-11 | 3,3.10-11 | 2,8.10-11 | |
| Y-95 | M | 1,5.10-10 | 9,8.10-11 | 4,4.10-11 | 2,8.10-11 | 1,8.10-11 | 1,5.10-11 | 
| S | 1,6.10-10 | 1,0.10-10 | 4,5.10-11 | 2,9.10-11 | 1,8.10-11 | 1,6.10-11 | |
| Zirconium | |||||||
| Zr-86 | F | 2,4.10-9 | 1,9.10-9 | 9,5.10-10 | 5,9.10-10 | 3,4.10-10 | 2,7.10-10 | 
| M* | 3,4.10-9 | 2,6.10-9 | 1,3.10-9 | 8,4.10-10 | 5,2.10-10 | 4,2.10-10 | |
| S | 3,5.10-9 | 2,7.10-9 | 1,4.10-9 | 8,7.10-10 | 5,4.10-10 | 4,3.10-10 | |
| Zr-88 | F | 6,9.10-9 | 8,3.10-9 | 5,6.10-9 | 4,7.10-9 | 3,6.10-9 | 3,5.10-9 | 
| M* | 8,5.10-9 | 7,8.10-9 | 5,1.10-9 | 3,6.10-9 | 3,0.10-9 | 2,6.10-9 | |
| S | 1,3.10-8 | 1,2.10-8 | 7,7.10-9 | 5,2.10-9 | 4,3.10-9 | 3,6.10-9 | |
| Zr-89 | F | 2,6.10-9 | 2,0.10-9 | 9,9.10-10 | 6,1.10-10 | 3,6.10-10 | 2,9.10-10 | 
| M* | 3,7.10-9 | 2,8.10-9 | 1,5.10-9 | 9,6.10-10 | 6,5.10-10 | 5,2.10-10 | |
| S | 3,9.10-9 | 2,9.10-9 | 1,5.10-9 | 1,0.10-9 | 6,8.10-10 | 5,5.10-10 | |
| Zr-93 | F | 3,5.10-9 | 4,8.10-9 | 5,3.10-9 | 9,7.10-9 | 1,8.10-8 | 2,5.10-8 | 
| M* | 3,3.10-9 | 3,1.10-9 | 2,8.10-9 | 4,1.10-9 | 7,5.10-9 | 1,0.10-8 | |
| S | 7,0.10-9 | 6,4.10-9 | 4,5.10-9 | 3,3.10-9 | 3,3.10-9 | 3,3.10-9 | |
| Zr-95 | F | 1,2.10-8 | 1,1.10-8 | 6,4.10-9 | 4,2.10-9 | 2,8.10-9 | 2,5.10-9 | 
| M* | 2,0.10-8 | 1,6.10-8 | 9,7.10-9 | 6,8.10-9 | 5,9.10-9 | 4,8.10-9 | |
| S | 2,4.10-8 | 1,9.10-8 | 1,2.10-8 | 8,3.10-9 | 7,3.10-9 | 5,9.10-9 | |
| Zr-97 | F | 5,0.10-9 | 3,4.10-9 | 1,5.10-9 | 9,1.10-10 | 4,8.10-10 | 3,9.10-10 | 
| M* | 7,8.10-9 | 5,3.10-9 | 2,8.10-9 | 1,8.10-9 | 1,1.10-9 | 9,2.10-10 | |
| S | 8,2.10-9 | 5,6.10-9 | 2,9.10-9 | 1,9.10-9 | 1,2.10-9 | 8,9.10-10 | |
| Niobium | |||||||
| Nb-88 | F | 1,8.10-10 | 1,3.10-10 | 6,3.10-11 | 3,9.10-11 | 2,4.10-11 | 1,9.10-11 | 
| M* | 2,5.10-10 | 1,8.10-10 | 8,5.10-11 | 5,3.10-11 | 3,3.10-11 | 2,7.10-11 | |
| S | 2,6.10-10 | 1,8.10-10 | 8,7.10-11 | 5,5.10-11 | 3,5.10-11 | 2,8.10-11 | |
| Nb-89 | F | 7,0.10-10 | 4,8.10-10 | 2,2.10-10 | 1,3.10-10 | 7,4.10-11 | 6,1.10-11 | 
| M* | 1,1.10-9 | 7,6.10-10 | 3,6.10-10 | 2,2.10-10 | 1,4.10-10 | 1,1.10-10 | |
| S | 1,2.10-9 | 7,9.10-10 | 3,7.10-10 | 2,3.10-10 | 1,5.10-10 | 1,2.10-10 | |
| Nb-89m | F | 4,0.10-10 | 2,9.10-10 | 1,4.10-10 | 8,3.10-11 | 4,8.10-11 | 3,9.10-11 | 
| M* | 6,2.10-10 | 4,3.10-10 | 2,1.10-10 | 1,3.10-10 | 8,2.10-11 | 6,8.10-11 | |
| S | 6,4.10-10 | 4,4.10-10 | 2,1.10-10 | 1,4.10-10 | 8,6.10-11 | 7,1.10-11 | |
| Nb-90 | F | 3,5.10-9 | 2,7.10-9 | 1,3.10-9 | 8,2.10-10 | 4,7.10-10 | 3,8.10-10 | 
| M* | 5,1.10-9 | 3,9.10-9 | 1,9.10-9 | 1,3.10-9 | 7,8.10-10 | 6,3.10-10 | |
| S | 5,3.10-9 | 4,0.10-9 | 2,0.10-9 | 1,3.10-9 | 8,1.10-10 | 6,6.10-10 | |
| Nb-93m | F | 1,8.10-9 | 1,4.10-9 | 7,0.10-10 | 4,4.10-10 | 2,7.10-10 | 2,2.10-10 | 
| M* | 3,1.10-9 | 2,4.10-9 | 1,3.10-9 | 8,2.10-10 | 5,9.10-10 | 5,1.10-10 | |
| S | 7,4.10-9 | 6,5.10-9 | 4,0.10-9 | 2,5.10-9 | 1,9.10-9 | 1,8.10-9 | |
| Nb-94 | F | 3,1.10-8 | 2,7.10-8 | 1,5.10-8 | 1,0.10-8 | 6,7.10-9 | 5,8.10-9 | 
| M* | 4,3.10-8 | 3,7.10-8 | 2,3.10-8 | 1,6.10-8 | 1,3.10-8 | 1,1.10-8 | |
| S | 1,2.10-7 | 1,2.10-7 | 8,3.10-8 | 5,8.10-8 | 5,2.10-8 | 4,9.10-8 | |
| Nb-95 | F | 4,1.10-9 | 3,1.10-9 | 1,6.10-9 | 1,2.10-9 | 7,5.10-10 | 5,7.10-10 | 
| M* | 6,8.10-9 | 5,2.10-9 | 3,1.10-9 | 2,2.10-9 | 1,9.10-9 | 1,5.10-9 | |
| S | 7,7.10-9 | 5,9.10-9 | 3,6.10-9 | 2,5.10-9 | 2,2.10-9 | 1,8.10-9 | |
| Nb-95m | F | 2,3.10-9 | 1,6.10-9 | 7,0.10-10 | 4,2.10-10 | 2,4.10-10 | 2,0.10-10 | 
| M* | 4,3.10-9 | 3,1.10-9 | 1,7.10-9 | 1,2.10-9 | 1,0.10-9 | 7,9.10-10 | |
| S | 4,6.10-9 | 3,4.10-9 | 1,9.10-9 | 1,3.10-9 | 1,1.10-9 | 8,8.10-10 | |
| Nb-96 | F | 3,1.10-9 | 2,4.10-9 | 1,2.10-9 | 7,3.10-10 | 4,2.10-10 | 3,4.10-10 | 
| M* | 4,7.10-9 | 3,6.10-9 | 1,8.10-9 | 1,2.10-9 | 7,8.10-10 | 6,3.10-10 | |
| S | 4,9.10-9 | 3,7.10-9 | 1,9.10-9 | 1,2.10-9 | 8,3.10-10 | 6,6.10-10 | |
| Nb-97 | F | 2,2.10-10 | 1,5.10-10 | 6,8.10-11 | 4,2.10-11 | 2,5.10-11 | 2,1.10-11 | 
| M* | 3,7.10-10 | 2,5.10-10 | 1,2.10-10 | 7,7.10-11 | 5,2.10-11 | 4,3.10-11 | |
| S | 3,8.10-10 | 2,6.10-10 | 1,2.10-10 | 8,1.10-11 | 5,5.10-11 | 4,5.10-11 | |
| Nb-98m | F | 3,4.10-10 | 2,4.10-10 | 1,1.10-10 | 6,9.10-11 | 4,1.10-11 | 3,3.10-11 | 
| M* | 5,2.10-10 | 3,6.10-10 | 1,7.10-10 | 1,1.10-10 | 6,8.10-11 | 5,6.10-11 | |
| S | 5,3.10-10 | 3,7.10-10 | 1,8.10-10 | 1,1.10-10 | 7,1.10-11 | 5,8.10-11 | |
| Molybdène | |||||||
| Mo-90 | F | 1,2.10-9 | 1,1.10-9 | 5,3.10-10 | 3,2.10-10 | 1,9.10-10 | 1,5.10-10 | 
| M* | 2,6.10-9 | 2,0.10-9 | 9,9.10-10 | 6,5.10-10 | 4,2.10-10 | 3,4.10-10 | |
| S | 2,8.10-9 | 2,1.10-9 | 1,1.10-9 | 6,9.10-10 | 4,5.10-10 | 3,6.10-10 | |
| Mo-93 | F | 3,1.10-9 | 2,6.10-9 | 1,7.10-9 | 1,3.10-9 | 1,1.10-9 | 1,0.10-9 | 
| M* | 2,2.10-9 | 1,8.10-9 | 1,1.10-9 | 7,9.10-10 | 6,6.10-10 | 5,9.10-10 | |
| S | 6,0.10-9 | 5,8.10-9 | 4,0.10-9 | 2,8.10-9 | 2,4.10-9 | 2,3.10-9 | |
| Mo-93m | F | 7,3.10-10 | 6,4.10-10 | 3,3.10-10 | 2,0.10-10 | 1,2.10-10 | 9,6.10-11 | 
| M* | 1,2.10-9 | 9,7.10-10 | 5,0.10-10 | 3,2.10-10 | 2,0.10-10 | 1,6.10-10 | |
| S | 1,3.10-9 | 1,0.10-9 | 5,2.10-10 | 3,4.10-10 | 2,1.10-10 | 1,7.10-10 | |
| Mo-99 | F | 2,3.10-9 | 1,7.10-9 | 7,7.10-10 | 4,7.10-10 | 2,6.10-10 | 2,2.10-10 | 
| M* | 6,0.10-9 | 4,4.10-9 | 2,2.10-9 | 1,5.10-9 | 1,1.10-9 | 8,9.10-10 | |
| S | 6,9.10-9 | 4,8.10-9 | 2,4.10-9 | 1,7.10-9 | 1,2.10-9 | 9,9.10-10 | |
| Mo-101 | F | 1,4.10-10 | 9,7.10-11 | 4,4.10-11 | 2,8.10-11 | 1,7.10-11 | 1,4.10-11 | 
| M* | 2,2.10-10 | 1,5.10-10 | 7,0.10-11 | 4,5.10-11 | 3,0.10-11 | 2,5.10-11 | |
| S | 2,3.10-10 | 1,6.10-10 | 7,2.10-11 | 4,7.10-11 | 3,1.10-11 | 2,6.10-11 | |
| Technétium | |||||||
| Tc-93 | F | 2,4.10-10 | 2,1.10-10 | 1,1.10-10 | 6,7.10-11 | 4,0.10-11 | 3,2.10-11 | 
| M* | 2,7.10-10 | 2,3.10-10 | 1,2.10-10 | 7,5.10-11 | 4,4.10-11 | 3,5.10-11 | |
| S | 2,8.10-10 | 2,3.10-10 | 1,2.10-10 | 7,6.10-11 | 4,5.10-11 | 3,5.10-11 | |
| Tc-93m | F | 1,2.10-10 | 9,8.10-11 | 4,9.10-11 | 2,9.10-11 | 1,8.10-11 | 1,4.10-11 | 
| M* | 1,4.10-10 | 1,1.10-10 | 5,4.10-11 | 3,4.10-11 | 2,1.10-11 | 1,7.10-11 | |
| S | 1,4.10-10 | 1,1.10-10 | 5,4.10-11 | 3,4.10-11 | 2,1.10-11 | 1,7.10-11 | |
| Tc-94 | F | 8,9.10-10 | 7,5.10-10 | 3,9.10-10 | 2,3.10-10 | 1,4.10-10 | 1,1.10-10 | 
| M* | 9,8.10-10 | 8,1.10-10 | 4,2.10-10 | 2,6.10-10 | 1,6.10-10 | 1,2.10-10 | |
| S | 9,9.10-10 | 8,2.10-10 | 4,3.10-10 | 2,7.10-10 | 1,6.10-10 | 1,3.10-10 | |
| Tc-94m | F | 4,8.10-10 | 3,4.10-10 | 1,6.10-10 | 8,6.10-11 | 5,2.10-11 | 4,1.10-11 | 
| M* | 4,4.10-10 | 3,0.10-10 | 1,4.10-10 | 8,8.10-11 | 5,5.10-11 | 4,5.10-11 | |
| S | 4,3.10-10 | 3,0.10-10 | 1,4.10-10 | 8,8.10-11 | 5,6.10-11 | 4,6.10-11 | |
| Tc-95 | F | 7,5.10-10 | 6,3.10-10 | 3,3.10-10 | 2,0.10-10 | 1,2.10-10 | 9,6.10-11 | 
| M* | 8,3.10-10 | 6,9.10-10 | 3,6.10-10 | 2,2.10-10 | 1,3.10-10 | 1,0.10-10 | |
| S | 8,5.10-10 | 7,0.10-10 | 3,6.10-10 | 2,3.10-10 | 1,4.10-10 | 1,1.10-10 | |
| Tc-95m | F | 2,4.10-9 | 1,8.10-9 | 9,3.10-10 | 5,7.10-10 | 3,6.10-10 | 2,9.10-10 | 
| M* | 4,9.10-9 | 4,0.10-9 | 2,3.10-9 | 1,5.10-9 | 1,1.10-9 | 8,8.10-10 | |
| S | 6,0.10-9 | 5,0.10-9 | 2,7.10-9 | 1,8.10-9 | 1,5.10-9 | 1,2.10-9 | |
| Tc-96 | F | 4,2.10-9 | 3,4.10-9 | 1,8.10-9 | 1,1.10-9 | 7,0.10-10 | 5,7.10-10 | 
| M* | 4,7.10-9 | 3,9.10-9 | 2,1.10-9 | 1,3.10-9 | 8,6.10-10 | 6,8.10-10 | |
| S | 4,8.10-9 | 3,9.10-9 | 2,1.10-9 | 1,4.10-9 | 8,9.10-10 | 7,0.10-10 | |
| Tc-96m | F | 5,3.10-11 | 4,1.10-11 | 2,1.10-11 | 1,3.10-11 | 7,7.10-12 | 6,2.10-12 | 
| M* | 5,6.10-11 | 4,4.10-11 | 2,3.10-11 | 1,4.10-11 | 9,3.10-12 | 7,4.10-12 | |
| S | 5,7.10-11 | 4,4.10-11 | 2,3.10-11 | 1,5.10-11 | 9,5.10-12 | 7,5.10-12 | |
| Tc-97 | F | 5,2.10-10 | 3,7.10-10 | 1,7.10-10 | 9,4.10-11 | 5,6.10-11 | 4,3.10-11 | 
| M* | 1,2.10-9 | 1,0.10-9 | 5,7.10-10 | 3,6.10-10 | 2,8.10-10 | 2,2.10-10 | |
| S | 5,0.10-9 | 4,8.10-9 | 3,3.10-9 | 2,2.10-9 | 1,9.10-9 | 1,8.10-9 | |
| Tc-97m | F | 3,4.10-9 | 2,3.10-9 | 9,8.10-10 | 5,6.10-10 | 3,0.10-10 | 2,7.10-10 | 
| M* | 1,3.10-8 | 1,0.10-8 | 6,1.10-9 | 4,4.10-9 | 4,1.10-9 | 3,2.10-9 | |
| S | 1,6.10-8 | 1,3.10-8 | 7,8.10-9 | 5,7.10-9 | 5,2.10-9 | 4,1.10-9 | |
| Tc-98 | F | 1,0.10-8 | 6,8.10-9 | 3,2.10-9 | 1,9.10-9 | 1,2.10-9 | 9,7.10-10 | 
| M* | 3,5.10-8 | 2,9.10-8 | 1,7.10-8 | 1,2.10-8 | 1,0.10-8 | 8,3.10-9 | |
| S | 1,1.10-7 | 1,1.10-7 | 7,6.10-8 | 5,4.10-8 | 4,8.10-8 | 4,5.10-8 | |
| Tc-99 | F | 4,0.10-9 | 2,5.10-9 | 1,0.10-9 | 5,9.10-10 | 3,6.10-10 | 2,9.10-10 | 
| M* | 1,7.10-8 | 1,3.10-8 | 8,0.10-9 | 5,7.10-9 | 5,0.10-9 | 4,0.10-9 | |
| S | 4,1.10-8 | 3,7.10-8 | 2,4.10-8 | 1,7.10-8 | 1,5.10-8 | 1,3.10-8 | |
| Tc-99m | F | 1,2.10-10 | 8,7.10-11 | 4,1.10-11 | 2,4.10-11 | 1,5.10-11 | 1,2.10-11 | 
| M* | 1,3.10-10 | 9,9.10-11 | 5,1.10-11 | 3,4.10-11 | 2,4.10-11 | 1,9.10-11 | |
| S | 1,3.10-10 | 1,0.10-10 | 5,2.10-11 | 3,5.10-11 | 2,5.10-11 | 2,0.10-11 | |
| Tc-101 | F | 8,5.10-11 | 5,6.10-11 | 2,5.10-11 | 1,6.10-11 | 9,7.10-12 | 8,2.10-12 | 
| M* | 1,1.10-10 | 7,1.10-11 | 3,2.10-11 | 2,1.10-11 | 1,4.10-11 | 1,2.10-11 | |
| S | 1,1.10-10 | 7,3.10-11 | 3,3.10-11 | 2,2.10-11 | 1,4.10-11 | 1,2.10-11 | |
| Tc-104 | F | 2,7.10-10 | 1,8.10-10 | 8,0.10-11 | 4,6.10-11 | 2,8.10-11 | 2,3.10-11 | 
| M* | 2,9.10-10 | 1,9.10-10 | 8,6.10-11 | 5,4.10-11 | 3,3.10-11 | 2,8.10-11 | |
| S | 2,9.10-10 | 1,9.10-10 | 8,7.10-11 | 5,4.10-11 | 3,4.10-11 | 2,9.10-11 | |
| Ruthénium | |||||||
| Ru-94 | F | 2,5.10-10 | 1,9.10-10 | 9,0.10-11 | 5,4.10-11 | 3,1.10-11 | 2,5.10-11 | 
| M* | 3,8.10-10 | 2,8.10-10 | 1,3.10-10 | 8,4.10-11 | 5,2.10-11 | 4,2.10-11 | |
| S | 4,0.10-10 | 2,9.10-10 | 1,4.10-10 | 8,7.10-11 | 5,4.10-11 | 4,4.10-11 | |
| Ru-97 | F | 5,5.10-10 | 4,4.10-10 | 2,2.10-10 | 1,3.10-10 | 7,7.10-11 | 6,2.10-11 | 
| M* | 7,7.10-10 | 6,1.10-10 | 3,1.10-10 | 2,0.10-10 | 1,3.10-10 | 1,0.10-10 | |
| S | 8,1.10-10 | 6,3.10-10 | 3,3.10-10 | 2,1.10-10 | 1,4.10-10 | 1,1.10-10 | |
| Ru-103 | F | 4,2.10-9 | 3,0.10-9 | 1,5.10-9 | 9,3.10-10 | 5,6.10-10 | 4,8.10-10 | 
| M* | 1,1.10-8 | 8,4.10-9 | 5,0.10-9 | 3,5.10-9 | 3,0.10-9 | 2,4.10-9 | |
| S | 1,3.10-8 | 1,0.10-8 | 6,0.10-9 | 4,2.10-9 | 3,7.10-9 | 3,0.10-9 | |
| Ru-105 | F | 7,1.10-10 | 5,1.10-10 | 2,3.10-10 | 1,4.10-10 | 7,9.10-11 | 6,5.10-11 | 
| M* | 1,3.10-9 | 9,2.10-10 | 4,5.10-10 | 3,0.10-10 | 2,0.10-10 | 1,7.10-10 | |
| S | 1,4.10-9 | 9,8.10-10 | 4,8.10-10 | 3,2.10-10 | 2,2.10-10 | 1,8.10-10 | |
| Ru-106 | F | 7,2.10-8 | 5,4.10-8 | 2,6.10-8 | 1,6.10-8 | 9,2.10-9 | 7,9.10-9 | 
| M* | 1,4.10-7 | 1,1.10-7 | 6,4.10-8 | 4,1.10-8 | 3,1.10-8 | 2,8.10-8 | |
| S | 2,6.10-7 | 2,3.10-7 | 1,4.10-7 | 9,1.10-8 | 7,1.10-8 | 6,6.10-8 | |
| Rhodium | |||||||
| Rh-99 | F | 2,6.10-9 | 2,0.10-9 | 9,9.10-10 | 6,2.10-10 | 3,8.10-10 | 3,2.10-10 | 
| M | 4,5.10-9 | 3,5.10-9 | 2,0.10-9 | 1,3.10-9 | 9,6.10-10 | 7,7.10-10 | |
| S | 4,9.10-9 | 3,8.10-9 | 2,2.10-9 | 1,3.10-9 | 1,1.10-9 | 8,7.10-10 | |
| Rh-99m | F | 2,4.10-10 | 2,0.10-10 | 1,0.10-10 | 6,1.10-11 | 3,5.10-11 | 2,8.10-11 | 
| M | 3,1.10-10 | 2,5.10-10 | 1,3.10-10 | 8,0.10-11 | 4,9.10-11 | 3,9.10-11 | |
| S | 3,2.10-10 | 2,6.10-10 | 1,3.10-10 | 8,2.10-11 | 5,1.10-11 | 4,0.10-11 | |
| Rh-100 | F | 2,1.10-9 | 1,8.10-9 | 9,1.10-10 | 5,6.10-10 | 3,3.10-10 | 2,6.10-10 | 
| M | 2,7.10-9 | 2,2.10-9 | 1,1.10-9 | 7,1.10-10 | 4,3.10-10 | 3,4.10-10 | |
| S | 2,8.10-9 | 2,2.10-9 | 1,2.10-9 | 7,3.10-10 | 4,4.10-10 | 3,5.10-10 | |
| Rh-101 | F | 7,4.10-9 | 6,1.10-9 | 3,5.10-9 | 2,3.10-9 | 1,5.10-9 | 1,4.10-9 | 
| M | 9,8.10-9 | 8,0.10-9 | 4,9.10-9 | 3,4.10-9 | 2,8.10-9 | 2,3.10-9 | |
| S | 1,9.10-8 | 1,7.10-8 | 1,1.10-8 | 7,4.10-9 | 6,2.10-9 | 5,4.10-9 | |
| Rh-101m | F | 8,4.10-10 | 6,6.10-10 | 3,3.10-10 | 2,0.10-10 | 1,2.10-10 | 9,7.10-11 | 
| M | 1,3.10-9 | 9,8.10-10 | 5,2.10-10 | 3,5.10-10 | 2,5.10-10 | 1,9.10-10 | |
| S | 1,3.10-9 | 1,0.10-9 | 5,5.10-10 | 3,7.10-10 | 2,7.10-10 | 2,1.10-10 | |
| Rh-102m | F | 3,3.10-8 | 2,8.10-8 | 1,7.10-8 | 1,1.10-8 | 7,9.10-9 | 7,3.10-9 | 
| M | 3,0.10-8 | 2,5.10-8 | 1,5.10-8 | 1,0.10-8 | 7,9.10-9 | 6,9.10-9 | |
| S | 5,4.10-8 | 5,0.10-8 | 3,5.10-8 | 2,4.10-8 | 2,0.10-8 | 1,7.10-8 | |
| Rh-102 | F | 1,2.10-8 | 8,7.10-9 | 4,4.10-9 | 2,7.10-9 | 1,7.10-9 | 1,5.10-9 | 
| M | 2,0.10-8 | 1,6.10-8 | 9,0.10-9 | 6,0.10-9 | 4,7.10-9 | 4,0.10-9 | |
| S | 3,0.10-8 | 2,5.10-8 | 1,5.10-8 | 1,0.10-8 | 8,2.10-9 | 7,1.10-9 | |
| Rh-103m | F | 8,6.10-12 | 5,9.10-12 | 2,7.10-12 | 1,6.10-12 | 1,0.10-12 | 8,6.10-13 | 
| M | 1,9.10-11 | 1,2.10-11 | 6,3.10-12 | 4,0.10-12 | 3,0.10-12 | 2,5.10-12 | |
| S | 2,0.10-11 | 1,3.10-11 | 6,7.10-12 | 4,3.10-12 | 3,2.10-12 | 2,7.10-12 | |
| Rh-105 | F | 1,0.10-9 | 6,9.10-10 | 3,0.10-10 | 1,8.10-10 | 9,6.10-11 | 8,2.10-11 | 
| M | 2,2.10-9 | 1,6.10-9 | 7,4.10-10 | 5,2.10-10 | 4,1.10-10 | 3,2.10-10 | |
| S | 2,4.10-9 | 1,7.10-9 | 8,0.10-10 | 5,6.10-10 | 4,5.10-10 | 3,5.10-10 | |
| Rh-106m | F | 5,7.10-10 | 4,5.10-10 | 2,2.10-10 | 1,4.10-10 | 8,0.10-11 | 6,5.10-11 | 
| M | 8,2.10-10 | 6,3.10-10 | 3,2.10-10 | 2,0.10-10 | 1,3.10-10 | 1,1.10-10 | |
| S | 8,5.10-10 | 6,5.10-10 | 3,3.10-10 | 2,1.10-10 | 1,4.10-10 | 1,1.10-10 | |
| Rh-107 | F | 8,9.10-11 | 5,9.10-11 | 2,6.10-11 | 1,7.10-11 | 1,0.10-11 | 9,0.10-12 | 
| M | 1,4.10-10 | 9,3.10-11 | 4,2.10-11 | 2,8.10-11 | 1,9.10-11 | 1,6.10-11 | |
| S | 1,5.10-10 | 9,7.10-11 | 4,4.10-11 | 2,9.10-11 | 1,9.10-11 | 1,7.10-11 | |
| Palladium | |||||||
| Pd-100 | F | 3,9.10-9 | 3,0.10-9 | 1,5.10-9 | 9,7.10-10 | 5,8.10-10 | 4,7.10-10 | 
| M | 5,2.10-9 | 4,0.10-9 | 2,2.10-9 | 1,4.10-9 | 9,9.10-10 | 8,0.10-10 | |
| S | 5,3.10-9 | 4,1.10-9 | 2,2.10-9 | 1,5.10-9 | 1,0.10-9 | 8,5.10-10 | |
| Pd-101 | F | 3,6.10-10 | 2,9.10-10 | 1,4.10-10 | 8,6.10-11 | 4,9.10-11 | 3,9.10-11 | 
| M | 4,8.10-10 | 3,8.10-10 | 1,9.10-10 | 1,2.10-10 | 7,5.10-11 | 5,9.10-11 | |
| S | 5,0.10-10 | 3,9.10-10 | 2,0.10-10 | 1,2.10-10 | 7,8.10-11 | 6,2.10-11 | |
| Pd-103 | F | 9,7.10-10 | 6,5.10-10 | 3,0.10-10 | 1,9.10-10 | 1,1.10-10 | 8,9.10-11 | 
| M | 2,3.10-9 | 1,6.10-9 | 9,0.10-10 | 5,9.10-10 | 4,5.10-10 | 3,8.10-10 | |
| S | 2,5.10-9 | 1,8.10-9 | 1,0.10-9 | 6,8.10-10 | 5,3.10-10 | 4,5.10-10 | |
| Pd-107 | F | 2,6.10-10 | 1,8.10-10 | 8,2.10-11 | 5,2.10-11 | 3,1.10-11 | 2,5.10-11 | 
| M | 6,5.10-10 | 5,0.10-10 | 2,6.10-10 | 1,5.10-10 | 1,0.10-10 | 8,5.10-11 | |
| S | 2,2.10-9 | 2,0.10-9 | 1,3.10-9 | 7,8.10-10 | 6,2.10-10 | 5,9.10-10 | |
| Pd-109 | F | 1,5.10-9 | 9,9.10-10 | 4,2.10-10 | 2,6.10-10 | 1,4.10-10 | 1,2.10-10 | 
| M | 2,6.10-9 | 1,8.10-9 | 8,8.10-10 | 5,9.10-10 | 4,3.10-10 | 3,4.10-10 | |
| S | 2,7.10-9 | 1,9.10-9 | 9,3.10-10 | 6,3.10-10 | 4,6.10-10 | 3,7.10-10 | |
| Argent | |||||||
| Ag-102 | F | 1,2.10-10 | 8,6.10-11 | 4,2.10-11 | 2,6.10-11 | 1,5.10-11 | 1,3.10-11 | 
| M* | 1,6.10-10 | 1,1.10-10 | 5,5.10-11 | 3,4.10-11 | 2,1.10-11 | 1,7.10-11 | |
| S | 1,6.10-10 | 1,2.10-10 | 5,6.10-11 | 3,5.10-11 | 2,2.10-11 | 1,8.10-11 | |
| Ag-103 | F | 1,4.10-10 | 1,0.10-10 | 4,9.10-11 | 3,0.10-11 | 1,8.10-11 | 1,4.10-11 | 
| M* | 2,2.10-10 | 1,6.10-10 | 7,6.10-11 | 4,8.10-11 | 3,2.10-11 | 2,6.10-11 | |
| S | 2,3.10-10 | 1,6.10-10 | 7,9.10-11 | 5,1.10-11 | 3,3.10-11 | 2,7.10-11 | |
| Ag-104 | F | 2,3.10-10 | 1,9.10-10 | 9,8.10-11 | 5,9.10-11 | 3,5.10-11 | 2,8.10-11 | 
| M* | 2,9.10-10 | 2,3.10-10 | 1,2.10-10 | 7,4.10-11 | 4,5.10-11 | 3,6.10-11 | |
| S | 2,9.10-10 | 2,4.10-10 | 1,2.10-10 | 7,6.10-11 | 4,6.10-11 | 3,7.10-11 | |
| Ag-104m | F | 1,6.10-10 | 1,1.10-10 | 5,5.10-11 | 3,4.10-11 | 2,0.10-11 | 1,6.10-11 | 
| M* | 2,3.10-10 | 1,6.10-10 | 7,7.10-11 | 4,8.10-11 | 3,0.10-11 | 2,5.10-11 | |
| S | 2,4.10-10 | 1,7.10-10 | 8,0.10-11 | 5,0.10-11 | 3,1.10-11 | 2,6.10-11 | |
| Ag-105 | F | 3,9.10-9 | 3,4.10-9 | 1,7.10-9 | 1,0.10-9 | 6,4.10-10 | 5,4.10-10 | 
| M* | 4,5.10-9 | 3,5.10-9 | 2,0.10-9 | 1,3.10-9 | 9,0.10-10 | 7,3.10-10 | |
| S | 4,5.10-9 | 3,6.10-9 | 2,1.10-9 | 1,3.10-9 | 1,0.10-9 | 8,1.10-10 | |
| Ag-106 | F | 9,4.10-11 | 6,4.10-11 | 2,9.10-11 | 1,8.10-11 | 1,1.10-11 | 9,1.10-12 | 
| M* | 1,4.10-10 | 9,5.10-11 | 4,4.10-11 | 2,8.10-11 | 1,8.10-11 | 1,5.10-11 | |
| S | 1,5.10-10 | 9,9.10-11 | 4,5.10-11 | 2,9.10-11 | 1,9.10-11 | 1,6.10-11 | |
| Ag-106m | F | 7,7.10-9 | 6,1.10-9 | 3,2.10-9 | 2,1.10-9 | 1,3.10-9 | 1,1.10-9 | 
| M* | 7,2.10-9 | 5,8.10-9 | 3,2.10-9 | 2,1.10-9 | 1,4.10-9 | 1,1.10-9 | |
| S | 7,0.10-9 | 5,7.10-9 | 3,2.10-9 | 2,1.10-9 | 1,4.10-9 | 1,1.10-9 | |
| Ag-108m | F | 3,5.10-8 | 2,8.10-8 | 1,6.10-8 | 1,0.10-8 | 6,9.10-9 | 6,1.10-9 | 
| M* | 3,3.10-8 | 2,7.10-8 | 1,7.10-8 | 1,1.10-8 | 8,6.10-9 | 7,4.10-9 | |
| S | 8,9.10-8 | 8,7.10-8 | 6,2.10-8 | 4,4.10-8 | 3,9.10-8 | 3,7.10-8 | |
| Ag-110m | F | 3,5.10-8 | 2,8.10-8 | 1,5.10-8 | 9,7.10-9 | 6,3.10-9 | 5,5.10-9 | 
| M* | 3,5.10-8 | 2,8.10-8 | 1,7.10-8 | 1,2.10-8 | 9,2.10-9 | 7,6.10-9 | |
| S | 4,6.10-8 | 4,1.10-8 | 2,6.10-8 | 1,8.10-8 | 1,5.10-8 | 1,2.10-8 | |
| Ag-111 | F | 4,8.10-9 | 3,2.10-9 | 1,4.10-9 | 8,8.10-10 | 4,8.10-10 | 4,0.10-10 | 
| M* | 9,2.10-9 | 6,6.10-9 | 3,5.10-9 | 2,4.10-9 | 1,9.10-9 | 1,5.10-9 | |
| S | 9,9.10-9 | 7,1.10-9 | 3,8.10-9 | 2,7.10-9 | 2,1.10-9 | 1,7.10-9 | |
| Ag-112 | F | 9,8.10-10 | 6,4.10-10 | 2,8.10-10 | 1,7.10-10 | 9,1.10-11 | 7,6.10-11 | 
| M* | 1,7.10-9 | 1,1.10-9 | 5,1.10-10 | 3,2.10-10 | 2,0.10-10 | 1,6.10-10 | |
| S | 1,8.10-9 | 1,2.10-9 | 5,4.10-10 | 3,4.10-10 | 2,1.10-10 | 1,7.10-10 | |
| Ag-115 | F | 1,6.10-10 | 1,0.10-10 | 4,6.10-11 | 2,9.10-11 | 1,7.10-11 | 1,5.10-11 | 
| M* | 2,5.10-10 | 1,7.10-10 | 7,6.10-11 | 4,9.10-11 | 3,2.10-11 | 2,7.10-11 | |
| S | 2,7.10-10 | 1,7.10-10 | 8,0.10-11 | 5,2.10-11 | 3,4.10-11 | 2,9.10-11 | |
| Cadmium | |||||||
| Cd-104 | F | 2,0.10-10 | 1,7.10-10 | 8,7.10-11 | 5,2.10-11 | 3,1.10-11 | 2,4.10-11 | 
| M | 2,6.10-10 | 2,1.10-10 | 1,1.10-10 | 6,9.10-11 | 4,2.10-11 | 3,4.10-11 | |
| S | 2,7.10-10 | 2,2.10-10 | 1,1.10-10 | 7,0.10-11 | 4,4.10-11 | 3,5.10-11 | |
| Cd-107 | F | 2,3.10-10 | 1,7.10-10 | 7,4.10-11 | 4,6.10-11 | 2,5.10-11 | 2,1.10-11 | 
| M | 5,2.10-10 | 3,7.10-10 | 2,0.10-10 | 1,3.10-10 | 8,8.10-11 | 8,3.10-11 | |
| S | 5,5.10-10 | 3,9.10-10 | 2,1.10-10 | 1,4.10-10 | 9,7.10-11 | 7,7.10-11 | |
| Cd-109 | F | 4,5.10-8 | 3,7.10-8 | 2,1.10-8 | 1,4.10-8 | 9,3.10-9 | 8,1.10-9 | 
| M | 3,0.10-8 | 2,3.10-8 | 1,4.10-8 | 9,5.10-9 | 7,8.10-9 | 6,6.10-9 | |
| S | 2,7.10-8 | 2,1.10-8 | 1,3.10-8 | 8,9.10-9 | 7,6.10-9 | 6,2.10-9 | |
| Cd-113 | F | 2,6.10-7 | 2,4.10-7 | 1,7.10-7 | 1,4.10-7 | 1,2.10-7 | 1,2.10-7 | 
| M | 1,2.10-7 | 1,0.10-7 | 7,6.10-8 | 6,1.10-8 | 5,7.10-8 | 5,5.10-8 | |
| S | 7,8.10-8 | 5,8.10-8 | 4,1.10-8 | 3,0.10-8 | 2,7.10-8 | 2,6.10-8 | |
| Cd-113m | F | 3,0.10-7 | 2,7.10-7 | 1,8.10-7 | 1,3.10-7 | 1,1.10-7 | 1,1.10-7 | 
| M | 1,4.10-7 | 1,2.10-7 | 8,1.10-8 | 6,0.10-8 | 5,3.10-8 | 5,2.10-8 | |
| S | 1,1.10-7 | 8,4.10-8 | 5,5.10-8 | 3,9.10-8 | 3,3.10-8 | 3,1.10-8 | |
| Cd-115 | F | 4,0.10-9 | 2,6.10-9 | 1,2.10-9 | 7,5.10-10 | 4,3.10-10 | 3,5.10-10 | 
| M | 6,7.10-9 | 4,8.10-9 | 2,4.10-9 | 1,7.10-9 | 1,2.10-9 | 9,8.10-10 | |
| S | 7,2.10-9 | 5,1.10-9 | 2,6.10-9 | 1,8.10-9 | 1,3.10-9 | 1,1.10-9 | |
| Cd-115m | F | 4,6.10-8 | 3,2.10-8 | 1,5.10-8 | 1,0.10-8 | 6,4.10-9 | 5,3.10-9 | 
| M | 4,0.10-8 | 2,5.10-8 | 1,4.10-8 | 9,4.10-9 | 7,3.10-9 | 6,2.10-9 | |
| S | 3,9.10-8 | 3,0.10-8 | 1,7.10-8 | 1,1.10-8 | 8,9.10-9 | 7,7.10-9 | |
| Cd-117 | F | 7,4.10-10 | 5,2.10-10 | 2,4.10-10 | 1,5.10-10 | 8,1.10-11 | 6,7.10-11 | 
| M | 1,3.10-9 | 9,3.10-10 | 4,5.10-10 | 2,9.10-10 | 2,0.10-10 | 1,6.10-10 | |
| S | 1,4.10-9 | 9,8.10-10 | 4,8.10-10 | 3,1.10-10 | 2,1.10-10 | 1,7.10-10 | |
| Cd-117m | F | 8,9.10-10 | 6,7.10-10 | 3,3.10-10 | 2,0.10-10 | 1,1.10-10 | 9,4.10-11 | 
| M | 1,5.10-9 | 1,1.10-9 | 5,5.10-10 | 3,6.10-10 | 2,4.10-10 | 2,0.10-10 | |
| S | 1,5.10-9 | 1,1.10-9 | 5,7.10-10 | 3,8.10-10 | 2,6.10-10 | 2,1.10-10 | |
| Indium | |||||||
| In-109 | F | 2,6.10-10 | 2,1.10-10 | 1,0.10-10 | 6,3.10-11 | 3,6.10-11 | 2,9.10-11 | 
| M | 3,3.10-10 | 2,6.10-10 | 1,3.10-10 | 8,4.10-11 | 5,3.10-11 | 4,2.10-11 | |
| In-110 | F | 8,2.10-10 | 7,1.10-10 | 3,7.10-10 | 2,3.10-10 | 1,3.10-10 | 1,1.10-10 | 
| M | 9,9.10-10 | 8,3.10-10 | 4,4.10-10 | 2,7.10-10 | 1,6.10-10 | 1,3.10-10 | |
| In-110m | F | 3,0.10-10 | 2,1.10-10 | 9,9.10-11 | 6,0.10-11 | 3,5.10-11 | 2,8.10-11 | 
| M | 4,5.10-10 | 3,1.10-10 | 1,5.10-10 | 9,2.10-11 | 5,8.10-11 | 4,7.10-11 | |
| In-111 | F | 1,2.10-9 | 8,6.10-10 | 4,2.10-10 | 2,6.10-10 | 1,5.10-10 | 1,3.10-10 | 
| M | 1,5.10-9 | 1,2.10-9 | 6,2.10-10 | 4,1.10-10 | 2,9.10-10 | 2,3.10-10 | |
| In-112 | F | 4,4.10-11 | 3,0.10-11 | 1,3.10-11 | 8,7.10-12 | 5,4.10-12 | 4,7.10-12 | 
| M | 6,5.10-11 | 4,4.10-11 | 2,0.10-11 | 1,3.10-11 | 8,7.10-12 | 7,4.10-12 | |
| In-113m | F | 1,0.10-10 | 7,0.10-11 | 3,2.10-11 | 2,0.10-11 | 1,2.10-11 | 9,7.10-12 | 
| M | 1,6.10-10 | 1,1.10-10 | 5,5.10-11 | 3,6.10-11 | 2,4.10-11 | 2,0.10-11 | |
| In-114m | F | 1,2.10-7 | 7,7.10-8 | 3,4.10-8 | 1,9.10-8 | 1,1.10-8 | 9,3.10-9 | 
| M | 4,8.10-8 | 3,3.10-8 | 1,6.10-8 | 1,0.10-8 | 7,8.10-9 | 6,1.10-9 | |
| In-115 | F | 8,3.10-7 | 7,8.10-7 | 5,5.10-7 | 5,0.10-7 | 4,2.10-7 | 3,9.10-7 | 
| M | 3,0.10-7 | 2,8.10-7 | 2,1.10-7 | 1,9.10-7 | 1,7.10-7 | 1,6.10-7 | |
| In-115m | F | 2,8.10-10 | 1,9.10-10 | 8,4.10-11 | 5,1.10-11 | 2,8.10-11 | 2,4.10-11 | 
| M | 4,7.10-10 | 3,3.10-10 | 1,6.10-10 | 1,0.10-10 | 7,2.10-11 | 5,9.10-11 | |
| In-116m | F | 2,5.10-10 | 1,9.10-10 | 9,2.10-11 | 5,7.10-11 | 3,4.10-11 | 2,8.10-11 | 
| M | 3,6.10-10 | 2,7.10-10 | 1,3.10-10 | 8,5.10-11 | 5,6.10-11 | 4,5.10-11 | |
| In-117 | F | 1,4.10-10 | 9,7.10-11 | 4,5.10-11 | 2,8.10-11 | 1,7.10-11 | 1,5.10-11 | 
| M | 2,3.10-10 | 1,6.10-10 | 7,5.10-11 | 5,0.10-11 | 3,5.10-11 | 2,9.10-11 | |
| In-117m | F | 3,4.10-10 | 2,3.10-10 | 1,0.10-10 | 6,2.10-11 | 3,5.10-11 | 2,9.10-11 | 
| M | 6,0.10-10 | 4,0.10-10 | 1,9.10-10 | 1,3.10-10 | 8,7.10-11 | 7,2.10-11 | |
| In-119m | F | 1,2.10-10 | 7,3.10-11 | 3,1.10-11 | 2,0.10-11 | 1,2.10-11 | 1,0.10-11 | 
| M | 1,8.10-10 | 1,1.10-10 | 4,9.10-11 | 3,2.10-11 | 2,0.10-11 | 1,7.10-11 | |
| Étain | |||||||
| Sn-110 | F | 1,0.10-9 | 7,6.10-10 | 3,6.10-10 | 2,2.10-10 | 1,2.10-10 | 9,9.10-11 | 
| M | 1,5.10-9 | 1,1.10-9 | 5,1.10-10 | 3,2.10-10 | 1,9.10-10 | 1,6.10-10 | |
| Sn-111 | F | 7,7.10-11 | 5,4.10-11 | 2,6.10-11 | 1,6.10-11 | 9,4.10-12 | 7,8.10-12 | 
| M | 1,1.10-10 | 8,0.10-11 | 3,8.10-11 | 2,5.10-11 | 1,6.10-11 | 1,3.10-11 | |
| Sn-113 | F | 5,1.10-9 | 3,7.10-9 | 1,8.10-9 | 1,1.10-9 | 6,4.10-10 | 5,4.10-10 | 
| M | 1,3.10-8 | 1,0.10-8 | 5,8.10-9 | 4,0.10-9 | 3,2.10-9 | 2,7.10-9 | |
| Sn-117m | F | 3,3.10-9 | 2,2.10-9 | 1,0.10-9 | 6,1.10-10 | 3,4.10-10 | 2,8.10-10 | 
| M | 1,0.10-8 | 7,7.10-9 | 4,6.10-9 | 3,4.10-9 | 3,1.10-9 | 2,4.10-9 | |
| Sn-119m | F | 3,0.10-9 | 2,2.10-9 | 1,0.10-9 | 6,0.10-10 | 3,4.10-10 | 2,8.10-10 | 
| M | 1,0.10-8 | 7,9.10-9 | 4,7.10-9 | 3,1.10-9 | 2,6.10-9 | 2,2.10-9 | |
| Sn-121 | F | 7,7.10-10 | 5,0.10-10 | 2,2.10-10 | 1,3.10-10 | 7,0.10-11 | 6,0.10-11 | 
| M | 1,5.10-9 | 1,1.10-9 | 5,1.10-10 | 3,6.10-10 | 2,9.10-10 | 2,3.10-10 | |
| Sn-121m | F | 6,9.10-9 | 5,4.10-9 | 2,8.10-9 | 1,6.10-9 | 9,4.10-10 | 8,0.10-10 | 
| M | 1,9.10-8 | 1,5.10-8 | 9,2.10-9 | 6,4.10-9 | 5,5.10-9 | 4,5.10-9 | |
| Sn-123 | F | 1,4.10-8 | 9,9.10-9 | 4,5.10-9 | 2,6.10-9 | 1,4.10-9 | 1,2.10-9 | 
| M | 4,0.10-8 | 3,1.10-8 | 1,8.10-8 | 1,2.10-8 | 9,5.10-9 | 8,1.10-9 | |
| Sn-123m | F | 1,4.10-10 | 8,9.10-11 | 3,9.10-11 | 2,5.10-11 | 1,5.10-11 | 1,3.10-11 | 
| M | 2,3.10-10 | 1,5.10-10 | 7,0.10-11 | 4,6.10-11 | 3,2.10-11 | 2,7.10-11 | |
| Sn-125 | F | 1,2.10-8 | 8,0.10-9 | 3,5.10-9 | 2,0.10-9 | 1,1.10-9 | 8,9.10-10 | 
| M | 2,1.10-8 | 1,5.10-8 | 7,6.10-9 | 5,0.10-9 | 3,6.10-9 | 3,1.10-9 | |
| Sn-126 | F | 7,3.10-8 | 5,9.10-8 | 3,2.10-8 | 2,0.10-8 | 1,3.10-8 | 1,1.10-8 | 
| M | 1,2.10-7 | 1,0.10-7 | 6,2.10-8 | 4,1.10-8 | 3,3.10-8 | 2,8.10-8 | |
| Sn-127 | F | 6,6.10-10 | 4,7.10-10 | 2,3.10-10 | 1,4.10-10 | 7,9.10-11 | 6,5.10-11 | 
| M | 1,0.10-9 | 7,4.10-10 | 3,7.10-10 | 2,4.10-10 | 1,6.10-10 | 1,3.10-10 | |
| Sn-128 | F | 5,1.10-10 | 3,6.10-10 | 1,7.10-10 | 1,0.10-10 | 6,1.10-11 | 5,0.10-11 | 
| M | 8,0.10-10 | 5,5.10-10 | 2,7.10-10 | 1,7.10-10 | 1,1.10-10 | 9,2.10-11 | |
| Antimoine | |||||||
| Sb-115 | F | 8,1.10-11 | 5,9.10-11 | 2,8.10-11 | 1,7.10-11 | 1,0.10-11 | 8,5.10-12 | 
| M* | 1,2.10-10 | 8,3.10-11 | 4,0.10-11 | 2,5.10-11 | 1,6.10-11 | 1,3.10-11 | |
| S | 1,2.10-10 | 8,6.10-11 | 4,1.10-11 | 2,6.10-11 | 1,7.10-11 | 1,4.10-11 | |
| Sb-116 | F | 8,4.10-11 | 6,2.10-11 | 3,0.10-11 | 1,9.10-11 | 1,1.10-11 | 9,1.10-12 | 
| M* | 1,1.10-10 | 8,2.10-11 | 4,0.10-11 | 2,5.10-11 | 1,5.10-11 | 1,3.10-11 | |
| S | 1,2.10-10 | 8,5.10-11 | 4,1.10-11 | 2,6.10-11 | 1,6.10-11 | 1,3.10-11 | |
| Sb-116m | F | 2,6.10-10 | 2,1.10-10 | 1,1.10-10 | 6,6.10-11 | 4,0.10-11 | 3,2.10-11 | 
| M* | 3,6.10-10 | 2,8.10-10 | 1,5.10-10 | 9,1.10-11 | 5,9.10-11 | 4,7.10-11 | |
| S | 3,7.10-10 | 2,9.10-10 | 1,5.10-10 | 9,4.10-11 | 6,1.10-11 | 4,9.10-11 | |
| Sb-117 | F | 7,7.10-11 | 6,0.10-11 | 2,9.10-11 | 1,8.10-11 | 1,0.10-11 | 8,5.10-12 | 
| M* | 1,2.10-10 | 9,1.10-11 | 4,6.10-11 | 3,0.10-11 | 2,0.10-11 | 1,6.10-11 | |
| S | 1,3.10-10 | 9,5.10-11 | 4,8.10-11 | 3,1.10-11 | 2,2.10-11 | 1,7.10-11 | |
| Sb-118m | F | 7,3.10-10 | 6,2.10-10 | 3,3.10-10 | 2,0.10-10 | 1,2.10-10 | 9,3.10-11 | 
| M* | 9,3.10-10 | 7,6.10-10 | 4,0.10-10 | 2,5.10-10 | 1,5.10-10 | 1,2.10-10 | |
| S | 9,5.10-10 | 7,8.10-10 | 4,1.10-10 | 2,5.10-10 | 1,5.10-10 | 1,2.10-10 | |
| Sb-119 | F | 2,7.10-10 | 2,0.10-10 | 9,4.10-11 | 5,5.10-11 | 2,9.10-11 | 2,3.10-11 | 
| M* | 4,0.10-10 | 2,8.10-10 | 1,3.10-10 | 7,9.10-11 | 4,4.10-11 | 3,5.10-11 | |
| S | 4,1.10-10 | 2,9.10-10 | 1,4.10-10 | 8,2.10-11 | 4,5.10-11 | 3,6.10-11 | |
| Sb-120m | F | 4,1.10-9 | 3,3.10-9 | 1,8.10-9 | 1,1.10-9 | 6,7.10-10 | 5,5.10-10 | 
| M* | 6,3.10-9 | 5,0.10-9 | 2,8.10-9 | 1,8.10-9 | 1,3.10-9 | 1,0.10-9 | |
| S | 6,6.10-9 | 5,3.10-9 | 2,9.10-9 | 1,9.10-9 | 1,4.10-9 | 1,1.10-9 | |
| Sb-120 | F | 4,6.10-11 | 3,1.10-11 | 1,4.10-11 | 8,9.10-12 | 5,4.10-12 | 4,6.10-12 | 
| M* | 6,6.10-11 | 4,4.10-11 | 2,0.10-11 | 1,3.10-11 | 8,3.10-12 | 7,0.10-12 | |
| S | 6,8.10-11 | 4,6.10-11 | 2,1.10-11 | 1,4.10-11 | 8,7.10-12 | 7,3.10-12 | |
| Sb-122 | F | 4,2.10-9 | 2,8.10-9 | 1,4.10-9 | 8,4.10-10 | 4,4.10-10 | 3,6.10-10 | 
| M* | 8,3.10-9 | 5,7.10-9 | 2,8.10-9 | 1,8.10-9 | 1,3.10-9 | 1,0.10-9 | |
| S | 8,8.10-9 | 6,1.10-9 | 3,0.10-9 | 2,0.10-9 | 1,4.10-9 | 1,1.10-9 | |
| Sb-124 | F | 1,2.10-8 | 8,8.10-9 | 4,3.10-9 | 2,6.10-9 | 1,6.10-9 | 1,3.10-9 | 
| M* | 3,1.10-8 | 2,4.10-8 | 1,4.10-8 | 9,6.10-9 | 7,7.10-9 | 6,4.10-9 | |
| S | 3,9.10-8 | 3,1.10-8 | 1,8.10-8 | 1,3.10-8 | 1,0.10-8 | 8,6.10-9 | |
| Sb-124n | F | 2,7.10-11 | 1,9.10-11 | 9,0.10-12 | 5,6.10-12 | 3,4.10-12 | 2,8.10-12 | 
| M* | 4,3.10-11 | 3,1.10-11 | 1,5.10-11 | 9,6.10-12 | 6,5.10-12 | 5,4.10-12 | |
| S | 4,6.10-11 | 3,3.10-11 | 1,6.10-11 | 1,0.10-11 | 7,2.10-12 | 5,9.10-12 | |
| Sb-125 | F | 8,7.10-9 | 6,8.10-9 | 3,7.10-9 | 2,3.10-9 | 1,5.10-9 | 1,4.10-9 | 
| M* | 2,0.10-8 | 1,6.10-8 | 1,0.10-8 | 6,8.10-9 | 5,8.10-9 | 4,8.10-9 | |
| S | 4,2.10-8 | 3,8.10-8 | 2,4.10-8 | 1,6.10-8 | 1,4.10-8 | 1,2.10-8 | |
| Sb-126 | F | 8,8.10-9 | 6,6.10-9 | 3,3.10-9 | 2,1.10-9 | 1,2.10-9 | 1,0.10-9 | 
| M* | 1,7.10-8 | 1,3.10-8 | 7,4.10-9 | 5,1.10-9 | 3,5.10-9 | 2,8.10-9 | |
| S | 1,9.10-8 | 1,5.10-8 | 8,2.10-9 | 5,0.10-9 | 4,0.10-9 | 3,2.10-9 | |
| Sb-126m | F | 1,2.10-10 | 8,2.10-11 | 3,8.10-11 | 2,4.10-11 | 1,5.10-11 | 1,2.10-11 | 
| M* | 1,7.10-10 | 1,2.10-10 | 5,5.10-11 | 3,5.10-11 | 2,3.10-11 | 1,9.10-11 | |
| S | 1,8.10-10 | 1,2.10-10 | 5,7.10-11 | 3,7.10-11 | 2,4.10-11 | 2,0.10-11 | |
| Sb-127 | F | 5,1.10-9 | 3,5.10-9 | 1,6.10-9 | 9,7.10-10 | 5,2.10-10 | 4,3.10-10 | 
| M* | 1,0.10-8 | 7,3.10-9 | 3,9.10-9 | 2,7.10-9 | 2,1.10-9 | 1,7.10-9 | |
| S | 1,1.10-8 | 7,9.10-9 | 4,2.10-9 | 3,0.10-9 | 2,3.10-9 | 1,9.10-9 | |
| Sb-128 | F | 2,1.10-9 | 1,7.10-9 | 8,3.10-10 | 5,1.10-10 | 2,9.10-10 | 2,3.10-10 | 
| M* | 3,3.10-9 | 2,5.10-9 | 1,2.10-9 | 7,9.10-10 | 5,0.10-10 | 4,0.10-10 | |
| S | 3,4.10-9 | 2,6.10-9 | 1,3.10-9 | 8,3.10-10 | 5,2.10-10 | 4,2.10-10 | |
| Sb-128m | F | 9,8.10-11 | 6,9.10-11 | 3,2.10-11 | 2,0.10-11 | 1,2.10-11 | 1,0.10-11 | 
| M* | 1,3.10-10 | 9,2.10-11 | 4,3.10-11 | 2,7.10-11 | 1,7.10-11 | 1,4.10-11 | |
| S | 1,4.10-10 | 9,4.10-11 | 4,4.10-11 | 2,8.10-11 | 1,8.10-11 | 1,5.10-11 | |
| Sb-129 | F | 1,1.10-9 | 8,2.10-10 | 3,8.10-10 | 2,3.10-10 | 1,3.10-10 | 1,0.10-10 | 
| M* | 2,0.10-9 | 1,4.10-9 | 6,8.10-10 | 4,4.10-10 | 2,9.10-10 | 2,3.10-10 | |
| S | 2,1.10-9 | 1,5.10-9 | 7,2.10-10 | 4,6.10-10 | 3,0.10-10 | 2,5.10-10 | |
| Sb-130 | F | 3,0.10-10 | 2,2.10-10 | 1,1.10-10 | 6,6.10-11 | 4,0.10-11 | 3,3.10-11 | 
| M* | 4,5.10-10 | 3,2.10-10 | 1,6.10-10 | 9,8.10-11 | 6,3.10-11 | 5,1.10-11 | |
| S | 4,6.10-10 | 3,3.10-10 | 1,6.10-10 | 1,0.10-10 | 6,5.10-11 | 5,3.10-11 | |
| Sb-131 | F | 3,5.10-10 | 2,8.10-10 | 1,4.10-10 | 7,7.10-11 | 4,6.10-11 | 3,5.10-11 | 
| M* | 3,9.10-10 | 2,6.10-10 | 1,3.10-10 | 8,0.10-11 | 5,3.10-11 | 4,4.10-11 | |
| S | 3,8.10-10 | 2,6.10-10 | 1,2.10-10 | 7,9.10-11 | 5,3.10-11 | 4,4.10-11 | |
| Tellure | |||||||
| Te-116 | F | 5,3.10-10 | 4,2.10-10 | 2,1.10-10 | 1,3.10-10 | 7,2.10-11 | 5,8.10-11 | 
| M* | 8,6.10-10 | 6,4.10-10 | 3,2.10-10 | 2,0.10-10 | 1,3.10-10 | 1,0.10-10 | |
| S | 9,1.10-10 | 6,7.10-10 | 3,3.10-10 | 2,1.10-10 | 1,4.10-10 | 1,1.10-10 | |
| Te-121 | F | 1,7.10-9 | 1,4.10-9 | 7,2.10-10 | 4,6.10-10 | 2,9.10-10 | 2,4.10-10 | 
| M* | 2,3.10-9 | 1,9.10-9 | 1,0.10-9 | 6,8.10-10 | 4,7.10-10 | 3,8.10-10 | |
| S | 2,4.10-9 | 2,0.10-9 | 1,1.10-9 | 7,2.10-10 | 5,1.10-10 | 4,1.10-10 | |
| Te-121m | F | 1,4.10-8 | 1,0.10-8 | 5,3.10-9 | 3,3.10-9 | 2,1.10-9 | 1,8.10-9 | 
| M* | 1,9.10-8 | 1,5.10-8 | 8,8.10-9 | 6,1.10-9 | 5,1.10-9 | 4,2.10-9 | |
| S | 2,3.10-8 | 1,9.10-8 | 1,2.10-8 | 8,1.10-9 | 6,9.10-9 | 5,7.10-9 | |
| Te-123 | F | 1,1.10-8 | 9,1.10-9 | 6,2.10-9 | 4,8.10-9 | 4,0.10-9 | 3,9.10-9 | 
| M* | 5,6.10-9 | 4,4.10-9 | 3,0.10-9 | 2,3.10-9 | 2,0.10-9 | 1,9.10-9 | |
| S | 5,3.10-9 | 5,0.10-9 | 3,5.10-9 | 2,4.10-9 | 2,1.10-9 | 2,0.10-9 | |
| Te-123m | F | 9,8.10-9 | 6,8.10-9 | 3,4.10-9 | 1,9.10-9 | 1,1.10-9 | 9,5.10-10 | 
| M* | 1,8.10-8 | 1,3.10-8 | 8,0.10-9 | 5,7.10-9 | 5,0.10-9 | 4,0.10-9 | |
| S | 2,0.10-8 | 1,6.10-8 | 9,8.10-9 | 7,1.10-9 | 6,3.10-9 | 5,1.10-9 | |
| Te-125m | F | 6,2.10-9 | 4,2.10-9 | 2,0.10-9 | 1,1.10-9 | 6,1.10-10 | 5,1.10-10 | 
| M* | 1,5.10-8 | 1,1.10-8 | 6,6.10-9 | 4,8.10-9 | 4,3.10-9 | 3,4.10-9 | |
| S | 1,7.10-8 | 1,3.10-8 | 7,8.10-9 | 5,8.10-9 | 5,3.10-9 | 4,2.10-9 | |
| Te-127 | F | 4,3.10-10 | 3,2.10-10 | 1,4.10-10 | 8,5.10-11 | 4,5.10-11 | 3,9.10-11 | 
| M* | 1,0.10-9 | 7,3.10-10 | 3,6.10-10 | 2,4.10-10 | 1,6.10-10 | 1,3.10-10 | |
| S | 1,2.10-9 | 7,9.10-10 | 3,9.10-10 | 2,6.10-10 | 1,7.10-10 | 1,4.10-10 | |
| Te-127m | F | 2,1.10-8 | 1,4.10-8 | 6,5.10-9 | 3,5.10-9 | 2,0.10-9 | 1,5.10-9 | 
| M* | 3,5.10-8 | 2,6.10-8 | 1,5.10-8 | 1,1.10-8 | 9,2.10-9 | 7,4.10-9 | |
| S | 4,1.10-8 | 3,3.10-8 | 2,0.10-8 | 1,4.10-8 | 1,2.10-8 | 9,8.10-9 | |
| Te-129 | F | 1,8.10-10 | 1,2.10-10 | 5,1.10-11 | 3,2.10-11 | 1,9.10-11 | 1,6.10-11 | 
| M* | 3,3.10-10 | 2,2.10-10 | 9,9.10-11 | 6,5.10-11 | 4,4.10-11 | 3,7.10-11 | |
| S | 3,5.10-10 | 2,3.10-10 | 1,0.10-10 | 6,9.10-11 | 4,7.10-11 | 3,9.10-11 | |
| Te-129m | F | 2,0.10-8 | 1,3.10-8 | 5,8.10-9 | 3,1.10-9 | 1,7.10-9 | 1,3.10-9 | 
| M* | 3,5.10-8 | 2,6.10-8 | 1,4.10-8 | 9,8.10-9 | 8,0.10-9 | 6,6.10-9 | |
| S | 3,8.10-8 | 2,9.10-8 | 1,7.10-8 | 1,2.10-8 | 9,6.10-9 | 7,9.10-9 | |
| Te-131 | F | 2,3.10-10 | 2,0.10-10 | 9,9.10-11 | 5,3.10-11 | 3,3.10-11 | 2,3.10-11 | 
| M* | 2,6.10-10 | 1,7.10-10 | 8,1.10-11 | 5,2.10-11 | 3,5.10-11 | 2,8.10-11 | |
| S | 2,4.10-10 | 1,6.10-10 | 7,4.10-11 | 4,9.10-11 | 3,3.10-11 | 2,8.10-11 | |
| Te-131m | F | 8,7.10-9 | 7,6.10-9 | 3,9.10-9 | 2,0.10-9 | 1,2.10-9 | 8,6.10-10 | 
| M* | 7,9.10-9 | 5,8.10-9 | 3,0.10-9 | 1,9.10-9 | 1,2.10-9 | 9,4.10-10 | |
| S | 7,0.10-9 | 5,1.10-9 | 2,6.10-9 | 1,8.10-9 | 1,1.10-9 | 9,1.10-10 | |
| Te-132 | F | 2,2.10-8 | 1,8.10-8 | 8,5.10-9 | 4,2.10-9 | 2,6.10-9 | 1,8.10-9 | 
| M* | 1,6.10-8 | 1,3.10-8 | 6,4.10-9 | 4,0.10-9 | 2,6.10-9 | 2,0.10-9 | |
| S | 1,5.10-8 | 1,1.10-8 | 5,8.10-9 | 3,8.10-9 | 2,5.10-9 | 2,0.10-9 | |
| Te-133 | F | 2,4.10-10 | 2,1.10-10 | 9,6.10-11 | 4,6.10-11 | 2,8.10-11 | 1,9.10-11 | 
| M* | 2,0.10-10 | 1,3.10-10 | 6,1.10-11 | 3,8.10-11 | 2,4.10-11 | 2,0.10-11 | |
| S | 1,7.10-10 | 1,2.10-10 | 5,4.10-11 | 3,5.10-11 | 2,2.10-11 | 1,9.10-11 | |
| Te-133m | F | 1,0.10-9 | 8,9.10-10 | 4,1.10-10 | 2,0.10-10 | 1,2.10-10 | 8,1.10-11 | 
| M* | 8,5.10-10 | 5,8.10-10 | 2,8.10-10 | 1,7.10-10 | 1,1.10-10 | 8,7.10-11 | |
| S | 7,4.10-10 | 5,1.10-10 | 2,5.10-10 | 1,6.10-10 | 1,0.10-10 | 8,4.10-11 | |
| Te-134 | F | 4,7.10-10 | 3,7.10-10 | 1,8.10-10 | 1,0.10-10 | 6,0.10-11 | 4,7.10-11 | 
| M* | 5,5.10-10 | 3,9.10-10 | 1,9.10-10 | 1,2.10-10 | 8,1.10-11 | 6,6.10-11 | |
| S | 5,6.10-10 | 4,0.10-10 | 1,9.10-10 | 1,3.10-10 | 8,4.10-11 | 6,8.10-11 | |
| Iode | |||||||
| I-120 | F* | 1,3.10-9 | 1,0.10-9 | 4,8.10-10 | 2,3.10-10 | 1,4.10-10 | 1,0.10-10 | 
| M | 1,1.10-9 | 7,3.10-10 | 3,4.10-10 | 2,1.10-10 | 1,3.10-10 | 1,0.10-10 | |
| S | 1,0.10-9 | 6,9.10-10 | 3,2.10-10 | 2,0.10-10 | 1,2.10-10 | 1,0.10-10 | |
| I-120m | F* | 8,6.10-10 | 6,9.10-10 | 3,3.10-10 | 1,8.10-10 | 1,1.10-10 | 8,2.10-11 | 
| M | 8,2.10-10 | 5,9.10-10 | 2,9.10-10 | 1,8.10-10 | 1,1.10-10 | 8,7.10-11 | |
| S | 8,2.10-10 | 5,8.10-10 | 2,8.10-10 | 1,8.10-10 | 1,1.10-10 | 8,8.10-11 | |
| I-121 | F* | 2,3.10-10 | 2,1.10-10 | 1,1.10-10 | 6,0.10-11 | 3,8.10-11 | 2,7.10-11 | 
| M | 2,1.10-10 | 1,5.10-10 | 7,8.10-11 | 4,9.10-11 | 3,2.10-11 | 2,5.10-11 | |
| S | 1,9.10-10 | 1,4.10-10 | 7,0.10-11 | 4,5.10-11 | 3,0.10-11 | 2,4.10-11 | |
| I-123 | F* | 8,7.10-10 | 7,9.10-10 | 3,8.10-10 | 1,8.10-10 | 1,1.10-10 | 7,4.10-11 | 
| M | 5,3.10-10 | 3,9.10-10 | 2,0.10-10 | 1,2.10-10 | 8,2.10-11 | 6,4.10-11 | |
| S | 4,3.10-10 | 3,2.10-10 | 1,7.10-10 | 1,1.10-10 | 7,6.10-11 | 6,0.10-11 | |
| I-124 | F* | 4,7.10-8 | 4,5.10-8 | 2,2.10-8 | 1,1.10-8 | 6,7.10-9 | 4,4.10-9 | 
| M | 1,4.10-8 | 9,3.10-9 | 4,6.10-9 | 2,5.10-9 | 1,6.10-9 | 1,2.10-9 | |
| S | 6,2.10-9 | 4,4.10-9 | 2,2.10-9 | 1,4.10-9 | 9,4.10-10 | 7,7.10-10 | |
| I-125 | F* | 2,0.10-8 | 2,3.10-8 | 1,5.10-8 | 1,1.10-8 | 7,2.10-9 | 5,1.10-9 | 
| M | 6,9.10-9 | 5,6.10-9 | 3,6.10-9 | 2,6.10-9 | 1,8.10-9 | 1,4.10-9 | |
| S | 2,4.10-9 | 1,8.10-9 | 1,0.10-9 | 6,7.10-10 | 4,8.10-10 | 3,8.10-10 | |
| I-126 | F* | 8,1.10-8 | 8,3.10-8 | 4,5.10-8 | 2,4.10-8 | 1,5.10-8 | 9,8.10-9 | 
| M | 2,4.10-8 | 1,7.10-8 | 9,5.10-9 | 5,5.10-9 | 3,8.10-9 | 2,7.10-9 | |
| S | 8,3.10-9 | 5,9.10-9 | 3,3.10-9 | 2,2.10-9 | 1,8.10-9 | 1,4.10-9 | |
| I-128 | F* | 1,5.10-10 | 1,1.10-10 | 4,7.10-11 | 2,7.10-11 | 1,6.10-11 | 1,3.10-11 | 
| M | 1,9.10-10 | 1,2.10-10 | 5,3.10-11 | 3,4.10-11 | 2,2.10-11 | 1,9.10-11 | |
| S | 1,9.10-10 | 1,2.10-10 | 5,4.10-11 | 3,5.10-11 | 2,3.10-11 | 2,0.10-11 | |
| I-129 | F* | 7,2.10-8 | 8,6.10-8 | 6,1.10-8 | 6,7.10-8 | 4,6.10-8 | 3,6.10-8 | 
| M | 3,6.10-8 | 3,3.10-8 | 2,4.10-8 | 2,4.10-8 | 1,9.10-8 | 1,5.10-8 | |
| S | 2,9.10-8 | 2,6.10-8 | 1,8.10-8 | 1,3.10-8 | 1,1.10-8 | 9,8.10-9 | |
| I-130 | F* | 8,2.10-9 | 7,4.10-9 | 3,5.10-9 | 1,6.10-9 | 1,0.10-9 | 6,7.10-10 | 
| M | 4,3.10-9 | 3,1.10-9 | 1,5.10-9 | 9,2.10-10 | 5,8.10-10 | 4,5.10-10 | |
| S | 3,3.10-9 | 2,4.10-9 | 1,2.10-9 | 7,9.10-10 | 5,1.10-10 | 4,1.10-10 | |
| I-131 | F* | 7,2.10-8 | 7,2.10-8 | 3,7.10-8 | 1,9.10-8 | 1,1.10-8 | 7,4.10-9 | 
| M | 2,2.10-8 | 1,5.10-8 | 8,2.10-9 | 4,7.10-9 | 3,4.10-9 | 2,4.10-9 | |
| S | 8,8.10-9 | 6,2.10-9 | 3,5.10-9 | 2,4.10-9 | 2,0.10-9 | 1,6.10-9 | |
| I-132 | F* | 1,1.10-9 | 9,6.10-10 | 4,5.10-10 | 2,2.10-10 | 1,3.10-10 | 9,4.10-11 | 
| M | 9,9.10-10 | 7,3.10-10 | 3,6.10-10 | 2,2.10-10 | 1,4.10-10 | 1,1.10-10 | |
| S | 9,3.10-10 | 6,8.10-10 | 3,4.10-10 | 2,1.10-10 | 1,4.10-10 | 1,1.10-10 | |
| I-132m | F* | 9,6.10-10 | 8,4.10-10 | 4,0.10-10 | 1,9.10-10 | 1,2.10-10 | 7,9.10-11 | 
| M | 7,2.10-10 | 5,3.10-10 | 2,6.10-10 | 1,6.10-10 | 1,1.10-10 | 8,7.10-11 | |
| S | 6,6.10-10 | 4,8.10-10 | 2,4.10-10 | 1,6.10-10 | 1,1.10-10 | 8,5.10-11 | |
| I-133 | F* | 1,9.10-8 | 1,8.10-8 | 8,3.10-9 | 3,8.10-9 | 2,2.10-9 | 1,5.10-9 | 
| M | 6,6.10-9 | 4,4.10-9 | 2,1.10-9 | 1,2.10-9 | 7,4.10-10 | 5,5.10-10 | |
| S | 3,8.10-9 | 2,9.10-9 | 1,4.10-9 | 9,0.10-10 | 5,3.10-10 | 4,3.10-10 | |
| I-134 | F* | 4,6.10-10 | 3,7.10-10 | 1,8.10-10 | 9,7.10-11 | 5,9.10-11 | 4,5.10-11 | 
| M | 4,8.10-10 | 3,4.10-10 | 1,7.10-10 | 1,0.10-10 | 6,7.10-11 | 5,4.10-11 | |
| S | 4,8.10-10 | 3,4.10-10 | 1,7.10-10 | 1,1.10-10 | 6,8.10-11 | 5,5.10-11 | |
| I-135 | F* | 4,1.10-9 | 3,7.10-9 | 1,7.10-9 | 7,9.10-10 | 4,8.10-10 | 3,2.10-10 | 
| M | 2,2.10-9 | 1,6.10-9 | 7,8.10-10 | 4,7.10-10 | 3,0.10-10 | 2,4.10-10 | |
| S | 1,8.10-9 | 1,3.10-9 | 6,5.10-10 | 4,2.10-10 | 2,7.10-10 | 2,2.10-10 | |
| Césium | |||||||
| Cs-125 | F* | 1,2.10-10 | 8,3.10-11 | 3,9.10-11 | 2,4.10-11 | 1,4.10-11 | 1,2.10-11 | 
| M | 2,0.10-10 | 1,4.10-10 | 6,5.10-11 | 4,2.10-11 | 2,7.10-11 | 2,2.10-11 | |
| S | 2,1.10-10 | 1,4.10-10 | 6,8.10-11 | 4,4.10-11 | 2,8.10-11 | 2,3.10-11 | |
| Cs-127 | F* | 1,6.10-10 | 1,3.10-10 | 6,9.10-11 | 4,2.10-11 | 2,5.10-11 | 2,0.10-11 | 
| M | 2,8.10-10 | 2,2.10-10 | 1,1.10-10 | 7,3.10-11 | 4,6.10-11 | 3,6.10-11 | |
| S | 3,0.10-10 | 2,3.10-10 | 1,2.10-10 | 7,6.10-11 | 4,8.10-11 | 3,8.10-11 | |
| Cs-129 | F* | 3,4.10-10 | 2,8.10-10 | 1,4.10-10 | 8,7.10-11 | 5,2.10-11 | 4,2.10-11 | 
| M | 5,7.10-10 | 4,6.10-10 | 2,4.10-10 | 1,5.10-10 | 9,1.10-11 | 7,3.10-11 | |
| S | 6,3.10-10 | 4,9.10-10 | 2,5.10-10 | 1,6.10-10 | 9,7.10-11 | 7,7.10-11 | |
| Cs-130 | F* | 8,3.10-11 | 5,6.10-11 | 2,5.10-11 | 1,6.10-11 | 9,4.10-12 | 7,8.10-12 | 
| M | 1,3.10-10 | 8,7.10-11 | 4,0.10-11 | 2,5.10-11 | 1,6.10-11 | 1,4.10-11 | |
| S | 1,4.10-10 | 9,0.10-11 | 4,1.10-11 | 2,6.10-11 | 1,7.10-11 | 1,4.10-11 | |
| Cs-131 | F* | 2,4.10-10 | 1,7.10-10 | 8,4.10-11 | 5,3.10-11 | 3,2.10-11 | 2,7.10-11 | 
| M | 3,5.10-10 | 2,6.10-10 | 1,4.10-10 | 8,5.10-11 | 5,5.10-11 | 4,4.10-11 | |
| S | 3,8.10-10 | 2,8.10-10 | 1,4.10-10 | 9,1.10-11 | 5,9.10-11 | 4,7.10-11 | |
| Cs-132 | F* | 1,5.10-9 | 1,2.10-9 | 6,4.10-10 | 4,1.10-10 | 2,7.10-10 | 2,3.10-10 | 
| M | 1,9.10-9 | 1,5.10-9 | 8,4.10-10 | 5,4.10-10 | 3,7.10-10 | 2,9.10-10 | |
| S | 2,0.10-9 | 1,6.10-9 | 8,7.10-10 | 5,6.10-10 | 3,8.10-10 | 3,0.10-10 | |
| Cs-134 | F* | 1,1.10-8 | 7,3.10-9 | 5,2.10-9 | 5,3.10-9 | 6,3.10-9 | 6,6.10-9 | 
| M | 3,2.10-8 | 2,6.10-8 | 1,6.10-8 | 1,2.10-8 | 1,1.10-8 | 9,1.10-9 | |
| S | 7,0.10-8 | 6,3.10-8 | 4,1.10-8 | 2,8.10-8 | 2,3.10-8 | 2,0.10-8 | |
| Cs-134m | F* | 1,3.10-10 | 8,6.10-11 | 3,8.10-11 | 2,5.10-11 | 1,6.10-11 | 1,4.10-11 | 
| M | 3,3.10-10 | 2,3.10-10 | 1,2.10-10 | 8,3.10-11 | 6,6.10-11 | 5,4.10-11 | |
| S | 3,6.10-10 | 2,5.10-10 | 1,3.10-10 | 9,2.10-11 | 7,4.10-11 | 6,0.10-11 | |
| Cs-135 | F* | 1,7.10-9 | 9,9.10-10 | 6,2.10-10 | 6,1.10-10 | 6,8.10-10 | 6,9.10-10 | 
| M | 1,2.10-8 | 9,3.10-9 | 5,7.10-9 | 4,1.10-9 | 3,8.10-9 | 3,1.10-9 | |
| S | 2,7.10-8 | 2,4.10-8 | 1,6.10-8 | 1,1.10-8 | 9,5.10-9 | 8,6.10-9 | |
| Cs-135m | F* | 9,2.10-11 | 7,8.10-11 | 4,1.10-11 | 2,4.10-11 | 1,5.10-11 | 1,2.10-11 | 
| M | 1,2.10-10 | 9,9.10-11 | 5,2.10-11 | 3,2.10-11 | 1,9.10-11 | 1,5.10-11 | |
| S | 1,2.10-10 | 1,0.10-10 | 5,3.10-11 | 3,3.10-11 | 2,0.10-11 | 1,6.10-11 | |
| Cs-136 | F* | 7,3.10-9 | 5,2.10-9 | 2,9.10-9 | 2,0.10-9 | 1,4.10-9 | 1,2.10-9 | 
| M | 1,3.10-8 | 1,0.10-8 | 6,0.10-9 | 3,7.10-9 | 3,1.10-9 | 2,5.10-9 | |
| S | 1,5.10-8 | 1,1.10-8 | 5,7.10-9 | 4,1.10-9 | 3,5.10-9 | 2,8.10-9 | |
| Cs-137 | F* | 8,8.10-9 | 5,4.10-9 | 3,6.10-9 | 3,7.10-9 | 4,4.10-9 | 4,6.10-9 | 
| M | 3,6.10-8 | 2,9.10-8 | 1,8.10-8 | 1,3.10-8 | 1,1.10-8 | 9,7.10-9 | |
| S | 1,1.10-7 | 1,0.10-7 | 7,0.10-8 | 4,8.10-8 | 4,2.10-8 | 3,9.10-8 | |
| Cs-138 | F* | 2,6.10-10 | 1,8.10-10 | 8,1.10-11 | 5,0.10-11 | 2,9.10-11 | 2,4.10-11 | 
| M | 4,0.10-10 | 2,7.10-10 | 1,3.10-10 | 7,8.10-11 | 4,9.10-11 | 4,1.10-11 | |
| S | 4,2.10-10 | 2,8.10-10 | 1,3.10-10 | 8,2.10-11 | 5,1.10-11 | 4,3.10-11 | |
| Baryum | |||||||
| Ba-126 | F | 6,7.10-10 | 5,2.10-10 | 2,4.10-10 | 1,4.10-10 | 6,9.10-11 | 7,4.10-11 | 
| M* | 1,0.10-9 | 7,0.10-10 | 3,2.10-10 | 2,0.10-10 | 1,2.10-10 | 1,0.10-10 | |
| S | 1,1.10-9 | 7,2.10-10 | 3,3.10-10 | 2,1.10-10 | 1,3.10-10 | 1,1.10-10 | |
| Ba-128 | F | 5,9.10-9 | 5,4.10-9 | 2,5.10-9 | 1,4.10-9 | 7,4.10-10 | 7,6.10-10 | 
| M* | 1,1.10-8 | 7,8.10-9 | 3,7.10-9 | 2,4.10-9 | 1,5.10-9 | 1,3.10-9 | |
| S | 1,2.10-8 | 8,3.10-9 | 4,0.10-9 | 2,6.10-9 | 1,6.10-9 | 1,4.10-9 | |
| Ba-131 | F | 2,1.10-9 | 1,4.10-9 | 7,1.10-10 | 4,7.10-10 | 3,1.10-10 | 2,2.10-10 | 
| M* | 3,7.10-9 | 3,1.10-9 | 1,6.10-9 | 1,1.10-9 | 9,7.10-10 | 7,6.10-10 | |
| S | 4,0.10-9 | 3,0.10-9 | 1,8.10-9 | 1,3.10-9 | 1,1.10-9 | 8,7.10-10 | |
| Ba-131m | F | 2,7.10-11 | 2,1.10-11 | 1,0.10-11 | 6,7.10-12 | 4,7.10-12 | 4,0.10-12 | 
| M* | 4,8.10-11 | 3,3.10-11 | 1,7.10-11 | 1,2.10-11 | 9,0.10-12 | 7,4.10-12 | |
| S | 5,0.10-11 | 3,5.10-11 | 1,8.10-11 | 1,2.10-11 | 9,5.10-12 | 7,8.10-12 | |
| Ba-133 | F | 1,1.10-8 | 4,5.10-9 | 2,6.10-9 | 3,7.10-9 | 6,0.10-9 | 1,5.10-9 | 
| M* | 1,5.10-8 | 1,0.10-8 | 6,4.10-9 | 5,1.10-9 | 5,5.10-9 | 3,1.10-9 | |
| S | 3,2.10-8 | 2,9.10-8 | 2,0.10-8 | 1,3.10-8 | 1,1.10-8 | 1,0.10-8 | |
| Ba-133m | F | 1,4.10-9 | 1,1.10-9 | 4,9.10-10 | 3,1.10-10 | 1,5.10-10 | 1,8.10-10 | 
| M* | 3,0.10-9 | 2,2.10-9 | 1,0.10-9 | 6,9.10-10 | 5,2.10-10 | 4,2.10-10 | |
| S | 3,1.10-9 | 2,4.10-9 | 1,1.10-9 | 7,6.10-10 | 5,8.10-10 | 4,6.10-10 | |
| Ba-135m | F | 1,1.10-9 | 1,0.10-9 | 4,6.10-10 | 2,5.10-10 | 1,2.10-10 | 1,4.10-10 | 
| M* | 2,4.10-9 | 1,8.10-9 | 8,9.10-10 | 5,4.10-10 | 4,1.10-10 | 3,3.10-10 | |
| S | 2,7.10-9 | 1,9.10-9 | 8,6.10-10 | 5,9.10-10 | 4,5.10-10 | 3,6.10-10 | |
| Ba-139 | F | 3,3.10-10 | 2,4.10-10 | 1,1.10-10 | 6,0.10-11 | 3,1.10-11 | 3,4.10-11 | 
| M* | 5,4.10-10 | 3,5.10-10 | 1,6.10-10 | 1,0.10-10 | 6,6.10-11 | 5,6.10-11 | |
| S | 5,7.10-10 | 3,6.10-10 | 1,6.10-10 | 1,1.10-10 | 7,0.10-11 | 5,9.10-11 | |
| Ba-140 | F | 1,4.10-8 | 7,8.10-9 | 3,6.10-9 | 2,4.10-9 | 1,6.10-9 | 1,0.10-9 | 
| M* | 2,7.10-8 | 2,0.10-8 | 1,1.10-8 | 7,6.10-9 | 6,2.10-9 | 5,1.10-9 | |
| S | 2,9.10-8 | 2,2.10-8 | 1,2.10-8 | 8,6.10-9 | 7,1.10-9 | 5,8.10-9 | |
| Ba-141 | F | 1,9.10-10 | 1,4.10-10 | 6,4.10-11 | 3,8.10-11 | 2,1.10-11 | 2,1.10-11 | 
| M* | 3,0.10-10 | 2,0.10-10 | 9,3.10-11 | 5,9.10-11 | 3,8.10-11 | 3,2.10-11 | |
| S | 3,2.10-10 | 2,1.10-10 | 9,7.10-11 | 6,2.10-11 | 4,0.10-11 | 3,4.10-11 | |
| Ba-142 | F | 1,3.10-10 | 9,6.10-11 | 4,5.10-11 | 2,7.10-11 | 1,6.10-11 | 1,5.10-11 | 
| M* | 1,8.10-10 | 1,3.10-10 | 6,1.10-11 | 3,9.10-11 | 2,5.10-11 | 2,1.10-11 | |
| S | 1,9.10-10 | 1,3.10-10 | 6,2.10-11 | 4,0.10-11 | 2,6.10-11 | 2,2.10-11 | |
| Lanthane | |||||||
| La-131 | F | 1,2.10-10 | 8,7.10-11 | 4,2.10-11 | 2,6.10-11 | 1,5.10-11 | 1,3.10-11 | 
| M | 1,8.10-10 | 1,3.10-10 | 6,4.10-11 | 4,1.10-11 | 2,8.10-11 | 2,3.10-11 | |
| La-132 | F | 1,0.10-9 | 7,7.10-10 | 3,7.10-10 | 2,2.10-10 | 1,2.10-10 | 1,0.10-10 | 
| M | 1,5.10-9 | 1,1.10-9 | 5,4.10-10 | 3,4.10-10 | 2,0.10-10 | 1,6.10-10 | |
| La-135 | F | 1,0.10-10 | 7,7.10-11 | 3,8.10-11 | 2,3.10-11 | 1,3.10-11 | 1,0.10-11 | 
| M | 1,3.10-10 | 1,0.10-10 | 4,9.10-11 | 3,0.10-11 | 1,7.10-11 | 1,4.10-11 | |
| La-137 | F | 2,5.10-8 | 2,3.10-8 | 1,5.10-8 | 1,1.10-8 | 8,9.10-9 | 8,7.10-9 | 
| M | 8,6.10-9 | 8,1.10-9 | 5,6.10-9 | 4,0.10-9 | 3,6.10-9 | 3,6.10-9 | |
| La-138 | F | 3,7.10-7 | 3,5.10-7 | 2,4.10-7 | 1,8.10-7 | 1,6.10-7 | 1,5.10-7 | 
| M | 1,3.10-7 | 1,2.10-7 | 9,1.10-8 | 6,8.10-8 | 6,4.10-8 | 6,4.10-8 | |
| La-140 | F | 5,8.10-9 | 4,2.10-9 | 2,0.10-9 | 1,2.10-9 | 6,9.10-10 | 5,7.10-10 | 
| M | 8,8.10-9 | 6,3.10-9 | 3,1.10-9 | 2,0.10-9 | 1,3.10-9 | 1,1.10-9 | |
| La-141 | F | 8,6.10-10 | 5,5.10-10 | 2,3.10-10 | 1,4.10-10 | 7,5.10-11 | 6,3.10-11 | 
| M | 1,4.10-9 | 9,3.10-10 | 4,3.10-10 | 2,8.10-10 | 1,8.10-10 | 1,5.10-10 | |
| La-142 | F | 5,3.10-10 | 3,8.10-10 | 1,8.10-10 | 1,1.10-10 | 6,3.10-11 | 5,2.10-11 | 
| M | 8,1.10-10 | 5,7.10-10 | 2,7.10-10 | 1,7.10-10 | 1,1.10-10 | 8,9.10-11 | |
| La-143 | F | 1,4.10-10 | 8,6.10-11 | 3,7.10-11 | 2,3.10-11 | 1,4.10-11 | 1,2.10-11 | 
| M | 2,1.10-10 | 1,3.10-10 | 6,0.10-11 | 3,9.10-11 | 2,5.10-11 | 2,1.10-11 | |
| Cérium | |||||||
| Ce-134 | F | 7,6.10-9 | 5,3.10-9 | 2,3.10-9 | 1,4.10-9 | 7,7.10-10 | 5,7.10-10 | 
| M* | 1,1.10-8 | 7,6.10-9 | 3,7.10-9 | 2,4.10-9 | 1,5.10-9 | 1,3.10-9 | |
| S | 1,2.10-8 | 8,0.10-9 | 3,8.10-9 | 2,5.10-9 | 1,6.10-9 | 1,3.10-9 | |
| Ce-135 | F | 2,3.10-9 | 1,7.10-9 | 8,5.10-10 | 5,3.10-10 | 3,0.10-10 | 2,4.10-10 | 
| M* | 3,6.10-9 | 2,7.10-9 | 1,4.10-9 | 8,9.10-10 | 5,9.10-10 | 4,8.10-10 | |
| S | 3,7.10-9 | 2,8.10-9 | 1,4.10-9 | 9,4.10-10 | 6,3.10-10 | 5,0.10-10 | |
| Ce-137 | F | 7,5.10-11 | 5,6.10-11 | 2,7.10-11 | 1,6.10-11 | 8,7.10-12 | 7,0.10-12 | 
| M* | 1,1.10-10 | 7,6.10-11 | 3,6.10-11 | 2,2.10-11 | 1,2.10-11 | 9,8.10-12 | |
| S | 1,1.10-10 | 7,8.10-11 | 3,7.10-11 | 2,3.10-11 | 1,3.10-11 | 1,0.10-11 | |
| Ce-137m | F | 1,6.10-9 | 1,1.10-9 | 4,6.10-10 | 2,8.10-10 | 1,5.10-10 | 1,2.10-10 | 
| M* | 3,1.10-9 | 2,2.10-9 | 1,1.10-9 | 6,7.10-10 | 5,1.10-10 | 4,1.10-10 | |
| S | 3,3.10-9 | 2,3.10-9 | 1,0.10-9 | 7,3.10-10 | 5,6.10-10 | 4,4.10-10 | |
| Ce-139 | F | 1,1.10-8 | 8,5.10-9 | 4,5.10-9 | 2,8.10-9 | 1,8.10-9 | 1,5.10-9 | 
| M* | 7,5.10-9 | 6,1.10-9 | 3,6.10-9 | 2,5.10-9 | 2,1.10-9 | 1,7.10-9 | |
| S | 7,8.10-9 | 6,3.10-9 | 3,9.10-9 | 2,7.10-9 | 2,4.10-9 | 1,9.10-9 | |
| Ce-141 | F | 1,1.10-8 | 7,3.10-9 | 3,5.10-9 | 2,0.10-9 | 1,2.10-9 | 9,3.10-10 | 
| M* | 1,4.10-8 | 1,1.10-8 | 6,3.10-9 | 4,6.10-9 | 4,1.10-9 | 3,2.10-9 | |
| S | 1,6.10-8 | 1,2.10-8 | 7,1.10-9 | 5,3.10-9 | 4,8.10-9 | 3,8.10-9 | |
| Ce-143 | F | 3,6.10-9 | 2,3.10-9 | 1,0.10-9 | 6,2.10-10 | 3,3.10-10 | 2,7.10-10 | 
| M* | 5,6.10-9 | 3,9.10-9 | 1,9.10-9 | 1,3.10-9 | 9,3.10-10 | 7,5.10-10 | |
| S | 5,9.10-9 | 4,1.10-9 | 2,1.10-9 | 1,4.10-9 | 1,0.10-9 | 8,3.10-10 | |
| Ce-144 | F | 3,6.10-7 | 2,7.10-7 | 1,4.10-7 | 7,8.10-8 | 4,8.10-8 | 4,0.10-8 | 
| M* | 1,9.10-7 | 1,6.10-7 | 8,8.10-8 | 5,5.10-8 | 4,1.10-8 | 3,6.10-8 | |
| S | 2,1.10-7 | 1,8.10-7 | 1,1.10-7 | 7,3.10-8 | 5,8.10-8 | 5,3.10-8 | |
| Praséodyme | |||||||
| Pr-136 | M | 1,3.10-10 | 8,8.10-11 | 4,2.10-11 | 2,6.10-11 | 1,6.10-11 | 1,3.10-11 | 
| S | 1,3.10-10 | 9,0.10-11 | 4,3.10-11 | 2,7.10-11 | 1,7.10-11 | 1,4.10-11 | |
| Pr-137 | M | 1,8.10-10 | 1,3.10-10 | 6,1.10-11 | 3,9.10-11 | 2,4.10-11 | 2,0.10-11 | 
| S | 1,9.10-10 | 1,3.10-10 | 6,4.10-11 | 4,0.10-11 | 2,5.10-11 | 2,1.10-11 | |
| Pr-138m | M | 5,9.10-10 | 4,5.10-10 | 2,3.10-10 | 1,4.10-10 | 9,0.10-11 | 7,2.10-11 | 
| S | 6,0.10-10 | 4,7.10-10 | 2,4.10-10 | 1,5.10-10 | 9,3.10-11 | 7,4.10-11 | |
| Pr-139 | M | 1,5.10-10 | 1,1.10-10 | 5,5.10-11 | 3,5.10-11 | 2,3.10-11 | 1,8.10-11 | 
| S | 1,6.10-10 | 1,2.10-10 | 5,7.10-11 | 3,7.10-11 | 2,4.10-11 | 2,0.10-11 | |
| Pr-142 | M | 5,3.10-9 | 3,5.10-9 | 1,6.10-9 | 1,0.10-9 | 6,2.10-10 | 5,2.10-10 | 
| S | 5,5.10-9 | 3,7.10-9 | 1,7.10-9 | 1,1.10-9 | 6,6.10-10 | 5,5.10-10 | |
| Pr-142m | M | 6,7.10-11 | 4,5.10-11 | 2,0.10-11 | 1,3.10-11 | 7,9.10-12 | 6,6.10-12 | 
| S | 7,0.10-11 | 4,7.10-11 | 2,2.10-11 | 1,4.10-11 | 8,4.10-12 | 7,0.10-12 | |
| Pr-143 | M | 1,2.10-8 | 8,4.10-9 | 4,6.10-9 | 3,2.10-9 | 2,7.10-9 | 2,2.10-9 | 
| S | 1,3.10-8 | 9,2.10-9 | 5,1.10-9 | 3,6.10-9 | 3,0.10-9 | 2,4.10-9 | |
| Pr-144 | M | 1,9.10-10 | 1,2.10-10 | 5,0.10-11 | 3,2.10-11 | 2,1.10-11 | 1,8.10-11 | 
| S | 1,9.10-10 | 1,2.10-10 | 5,2.10-11 | 3,4.10-11 | 2,1.10-11 | 1,8.10-11 | |
| Pr-145 | M | 1,6.10-9 | 1,0.10-9 | 4,7.10-10 | 3,0.10-10 | 1,9.10-10 | 1,6.10-10 | 
| S | 1,6.10-9 | 1,1.10-9 | 4,9.10-10 | 3,2.10-10 | 2,0.10-10 | 1,7.10-10 | |
| Pr-147 | M | 1,5.10-10 | 1,0.10-10 | 4,8.10-11 | 3,1.10-11 | 2,1.10-11 | 1,8.10-11 | 
| S | 1,6.10-10 | 1,1.10-10 | 5,0.10-11 | 3,3.10-11 | 2,2.10-11 | 1,8.10-11 | |
| Néodyme | |||||||
| Nd-136 | M | 4,6.10-10 | 3,2.10-10 | 1,6.10-10 | 9,8.10-11 | 6,3.10-11 | 5,1.10-11 | 
| S | 4,8.10-10 | 3,3.10-10 | 1,6.10-10 | 1,0.10-10 | 6,6.10-11 | 5,4.10-11 | |
| Nd-138 | M | 2,3.10-9 | 1,7.10-9 | 7,7.10-10 | 4,8.10-10 | 2,8.10-10 | 2,3.10-10 | 
| S | 2,4.10-9 | 1,8.10-9 | 8,0.10-10 | 5,0.10-10 | 3,0.10-10 | 2,5.10-10 | |
| Nd-139 | M | 9,0.10-11 | 6,2.10-11 | 3,0.10-11 | 1,9.10-11 | 1,2.10-11 | 9,9.10-12 | 
| S | 9,4.10-11 | 6,4.10-11 | 3,1.10-11 | 2,0.10-11 | 1,3.10-11 | 1,0.10-11 | |
| Nd-139m | M | 1,1.10-9 | 8,8.10-10 | 4,5.10-10 | 2,9.10-10 | 1,8.10-10 | 1,5.10-10 | 
| S | 1,2.10-9 | 9,1.10-10 | 4,6.10-10 | 3,0.10-10 | 1,9.10-10 | 1,5.10-10 | |
| Nd-141 | M | 4,1.10-11 | 3,1.10-11 | 1,5.10-11 | 9,6.10-12 | 6,0.10-12 | 4,8.10-12 | 
| S | 4,3.10-11 | 3,2.10-11 | 1,6.10-11 | 1,0.10-11 | 6,2.10-12 | 5,0.10-12 | |
| Nd-147 | M | 1,1.10-8 | 8,0.10-9 | 4,5.10-9 | 3,2.10-9 | 2,6.10-9 | 2,1.10-9 | 
| S | 1,2.10-8 | 8,6.10-9 | 4,9.10-9 | 3,5.10-9 | 3,0.10-9 | 2,4.10-9 | |
| Nd-149 | M | 6,8.10-10 | 4,6.10-10 | 2,2.10-10 | 1,5.10-10 | 1,0.10-10 | 8,4.10-11 | 
| S | 7,1.10-10 | 4,8.10-10 | 2,3.10-10 | 1,5.10-10 | 1,1.10-10 | 8,9.10-11 | |
| Nd-151 | M | 1,5.10-10 | 9,9.10-11 | 4,6.10-11 | 3,0.10-11 | 2,0.10-11 | 1,7.10-11 | 
| S | 1,5.10-10 | 1,0.10-10 | 4,8.10-11 | 3,1.10-11 | 2,1.10-11 | 1,7.10-11 | |
| Prométhium | |||||||
| Pm-141 | M | 1,4.10-10 | 9,4.10-11 | 4,3.10-11 | 2,7.10-11 | 1,7.10-11 | 1,4.10-11 | 
| S | 1,5.10-10 | 9,7.10-11 | 4,4.10-11 | 2,8.10-11 | 1,8.10-11 | 1,5.10-11 | |
| Pm-143 | M | 6,2.10-9 | 5,4.10-9 | 3,3.10-9 | 2,2.10-9 | 1,7.10-9 | 1,5.10-9 | 
| S | 5,5.10-9 | 4,8.10-9 | 3,1.10-9 | 2,1.10-9 | 1,7.10-9 | 1,4.10-9 | |
| Pm-144 | M | 3,1.10-8 | 2,8.10-8 | 1,8.10-8 | 1,2.10-8 | 9,3.10-9 | 8,2.10-9 | 
| S | 2,6.10-8 | 2,4.10-8 | 1,6.10-8 | 1,1.10-8 | 8,9.10-9 | 7,5.10-9 | |
| Pm-145 | M | 1,1.10-8 | 9,8.10-9 | 6,4.10-9 | 4,3.10-9 | 3,7.10-9 | 3,6.10-9 | 
| S | 7,1.10-9 | 6,5.10-9 | 4,3.10-9 | 2,9.10-9 | 2,4.10-9 | 2,3.10-9 | |
| Pm-146 | M | 6,4.10-8 | 5,9.10-8 | 3,9.10-8 | 2,6.10-8 | 2,2.10-8 | 2,1.10-8 | 
| S | 5,3.10-8 | 4,9.10-8 | 3,3.10-8 | 2,2.10-8 | 1,9.10-8 | 1,7.10-8 | |
| Pm-147 | M | 2,1.10-8 | 1,8.10-8 | 1,1.10-8 | 7,0.10-9 | 5,7.10-9 | 5,0.10-9 | 
| S | 1,9.10-8 | 1,6.10-8 | 1,0.10-8 | 6,8.10-9 | 5,8.10-9 | 4,9.10-9 | |
| Pm-148 | M | 1,5.10-8 | 1,0.10-8 | 5,2.10-9 | 3,4.10-9 | 2,4.10-9 | 2,0.10-9 | 
| S | 1,5.10-8 | 1,1.10-8 | 5,5.10-9 | 3,7.10-9 | 2,6.10-9 | 2,2.10-9 | |
| Pm-148m | M | 2,4.10-8 | 1,9.10-8 | 1,1.10-8 | 7,7.10-9 | 6,3.10-9 | 5,1.10-9 | 
| S | 2,5.10-8 | 2,0.10-8 | 1,2.10-8 | 8,3.10-9 | 7,1.10-9 | 5,7.10-9 | |
| Pm-149 | M | 5,0.10-9 | 3,5.10-9 | 1,7.10-9 | 1,1.10-9 | 8,3.10-10 | 6,7.10-10 | 
| S | 5,3.10-9 | 3,6.10-9 | 1,8.10-9 | 1,2.10-9 | 9,0.10-10 | 7,3.10-10 | |
| Pm-150 | M | 1,2.10-9 | 7,9.10-10 | 3,8.10-10 | 2,4.10-10 | 1,5.10-10 | 1,2.10-10 | 
| S | 1,2.10-9 | 8,2.10-10 | 3,9.10-10 | 2,5.10-10 | 1,6.10-10 | 1,3.10-10 | |
| Pm-151 | M | 3,3.10-9 | 2,5.10-9 | 1,2.10-9 | 8,3.10-10 | 5,3.10-10 | 4,3.10-10 | 
| S | 3,4.10-9 | 2,6.10-9 | 1,3.10-9 | 7,9.10-10 | 5,7.10-10 | 4,6.10-10 | |
| Samarium | |||||||
| Sm-141 | M | 1,5.10-10 | 1,0.10-10 | 4,7.10-11 | 2,9.10-11 | 1,8.10-11 | 1,5.10-11 | 
| Sm-141m | M | 3,0.10-10 | 2,1.10-10 | 9,7.10-11 | 6,1.10-11 | 3,9.10-11 | 3,2.10-11 | 
| Sm-142 | M | 7,5.10-10 | 4,8.10-10 | 2,2.10-10 | 1,4.10-10 | 8,5.10-11 | 7,1.10-11 | 
| Sm-145 | M | 8,1.10-9 | 6,8.10-9 | 4,0.10-9 | 2,5.10-9 | 1,9.10-9 | 1,6.10-9 | 
| Sm-146 | M | 2,7.10-5 | 2,6.10-5 | 1,7.10-5 | 1,2.10-5 | 1,1.10-5 | 1,1.10-5 | 
| Sm-147 | M | 2,5.10-5 | 2,3.10-5 | 1,6.10-5 | 1,1.10-5 | 9,6.10-6 | 9,6.10-6 | 
| Sm-151 | M | 1,1.10-8 | 1,0.10-8 | 6,7.10-9 | 4,5.10-9 | 4,0.10-9 | 4,0.10-9 | 
| Sm-153 | M | 4,2.10-9 | 2,9.10-9 | 1,5.10-9 | 1,0.10-9 | 7,9.10-10 | 6,3.10-10 | 
| Sm-155 | M | 1,5.10-10 | 9,9.10-11 | 4,4.10-11 | 2,9.10-11 | 2,0.10-11 | 1,7.10-11 | 
| Sm-156 | M | 1,6.10-9 | 1,1.10-9 | 5,8.10-10 | 3,5.10-10 | 2,7.10-10 | 2,2.10-10 | 
| Europium | |||||||
| Eu-145 | M | 3,6.10-9 | 2,9.10-9 | 1,6.10-9 | 1,0.10-9 | 6,8.10-10 | 5,5.10-10 | 
| Eu-146 | M | 5,5.10-9 | 4,4.10-9 | 2,4.10-9 | 1,5.10-9 | 1,0.10-9 | 8,0.10-10 | 
| Eu-147 | M | 4,9.10-9 | 3,7.10-9 | 2,2.10-9 | 1,6.10-9 | 1,3.10-9 | 1,1.10-9 | 
| Eu-148 | M | 1,4.10-8 | 1,2.10-8 | 6,8.10-9 | 4,6.10-9 | 3,2.10-9 | 2,6.10-9 | 
| Eu-149 | M | 1,6.10-9 | 1,3.10-9 | 7,3.10-10 | 4,7.10-10 | 3,5.10-10 | 2,9.10-10 | 
| Eu-150 | M | 1,1.10-7 | 1,1.10-7 | 7,8.10-8 | 5,7.10-8 | 5,3.10-8 | 5,3.10-8 | 
| Eu-150m | M | 1,6.10-9 | 1,1.10-9 | 5,2.10-10 | 3,4.10-10 | 2,3.10-10 | 1,9.10-10 | 
| Eu-152 | M | 1,1.10-7 | 1,0.10-7 | 7,0.10-8 | 4,9.10-8 | 4,3.10-8 | 4,2.10-8 | 
| Eu-152m | M | 1,9.10-9 | 1,3.10-9 | 6,6.10-10 | 4,2.10-10 | 2,4.10-10 | 2,2.10-10 | 
| Eu-154 | M | 1,6.10-7 | 1,5.10-7 | 9,7.10-8 | 6,5.10-8 | 5,6.10-8 | 5,3.10-8 | 
| Eu-155 | M | 2,6.10-8 | 2,3.10-8 | 1,4.10-8 | 9,2.10-9 | 7,6.10-9 | 6,9.10-9 | 
| Eu-156 | M | 1,9.10-8 | 1,4.10-8 | 7,7.10-9 | 5,3.10-9 | 4,2.10-9 | 3,4.10-9 | 
| Eu-157 | M | 2,5.10-9 | 1,9.10-9 | 8,9.10-10 | 5,9.10-10 | 3,5.10-10 | 2,8.10-10 | 
| Eu-158 | M | 4,3.10-10 | 2,9.10-10 | 1,3.10-10 | 8,5.10-11 | 5,6.10-11 | 4,7.10-11 | 
| Gadolinium | |||||||
| Gd-145 | F | 1,3.10-10 | 9,6.10-11 | 4,7.10-11 | 2,9.10-11 | 1,7.10-11 | 1,4.10-11 | 
| M | 1,8.10-10 | 1,3.10-10 | 6,2.10-11 | 3,9.10-11 | 2,4.10-11 | 2,0.10-11 | |
| Gd-146 | F | 2,9.10-8 | 2,3.10-8 | 1,2.10-8 | 7,8.10-9 | 5,1.10-9 | 4,4.10-9 | 
| M | 2,8.10-8 | 2,2.10-8 | 1,3.10-8 | 9,3.10-9 | 7,9.10-9 | 6,4.10-9 | |
| Gd-147 | F | 2,1.10-9 | 1,7.10-9 | 8,4.10-10 | 5,3.10-10 | 3,1.10-10 | 2,6.10-10 | 
| M | 2,8.10-9 | 2,2.10-9 | 1,1.10-9 | 7,5.10-10 | 5,1.10-10 | 4,0.10-10 | |
| Gd-148 | F | 8,3.10-5 | 7,6.10-5 | 4,7.10-5 | 3,2.10-5 | 2,6.10-5 | 2,6.10-5 | 
| M | 3,2.10-5 | 2,9.10-5 | 1,9.10-5 | 1,3.10-5 | 1,2.10-5 | 1,1.10-5 | |
| Gd-149 | F | 2,6.10-9 | 2,0.10-9 | 8,0.10-10 | 5,1.10-10 | 3,1.10-10 | 2,6.10-10 | 
| M | 3,6.10-9 | 3,0.10-9 | 1,5.10-9 | 1,1.10-9 | 9,2.10-10 | 7,3.10-10 | |
| Gd-151 | F | 6,3.10-9 | 4,9.10-9 | 2,5.10-9 | 1,5.10-9 | 9,2.10-10 | 7,8.10-10 | 
| M | 4,5.10-9 | 3,5.10-9 | 2,0.10-9 | 1,3.10-9 | 1,0.10-9 | 8,6.10-10 | |
| Gd-152 | F | 5,9.10-5 | 5,4.10-5 | 3,4.10-5 | 2,4.10-5 | 1,9.10-5 | 1,9.10-5 | 
| M | 2,1.10-5 | 1,9.10-5 | 1,3.10-5 | 8,9.10-6 | 7,9.10-6 | 8,0.10-6 | |
| Gd-153 | F | 1,5.10-8 | 1,2.10-8 | 6,5.10-9 | 3,9.10-9 | 2,4.10-9 | 2,1.10-9 | 
| M | 9,9.10-9 | 7,9.10-9 | 4,8.10-9 | 3,1.10-9 | 2,5.10-9 | 2,1.10-9 | |
| Gd-159 | F | 1,2.10-9 | 8,9.10-10 | 3,8.10-10 | 2,3.10-10 | 1,2.10-10 | 1,0.10-10 | 
| M | 2,2.10-9 | 1,5.10-9 | 7,3.10-10 | 4,9.10-10 | 3,4.10-10 | 2,7.10-10 | |
| Terbium | |||||||
| Tb-147 | M | 6,7.10-10 | 4,8.10-10 | 2,3.10-10 | 1,5.10-10 | 9,3.10-11 | 7,6.10-11 | 
| Tb-149 | M | 2,1.10-8 | 1,5.10-8 | 9,6.10-9 | 6,6.10-9 | 5,8.10-9 | 4,9.10-9 | 
| Tb-150 | M | 1,0.10-9 | 7,4.10-10 | 3,5.10-10 | 2,2.10-10 | 1,3.10-10 | 1,1.10-10 | 
| Tb-151 | M | 1,6.10-9 | 1,2.10-9 | 6,3.10-10 | 4,2.10-10 | 2,8.10-10 | 2,3.10-10 | 
| Tb-153 | M | 1,4.10-9 | 1,0.10-9 | 5,4.10-10 | 3,6.10-10 | 2,3.10-10 | 1,9.10-10 | 
| Tb-154 | M | 2,7.10-9 | 2,1.10-9 | 1,1.10-9 | 7,1.10-10 | 4,5.10-10 | 3,6.10-10 | 
| Tb-155 | M | 1,4.10-9 | 1,0.10-9 | 5,6.10-10 | 3,4.10-10 | 2,7.10-10 | 2,2.10-10 | 
| Tb-156 | M | 7,0.10-9 | 5,4.10-9 | 3,0.10-9 | 2,0.10-9 | 1,5.10-9 | 1,2.10-9 | 
| Tb-156n | M | 6,2.10-10 | 4,5.10-10 | 2,4.10-10 | 1,7.10-10 | 1,2.10-10 | 9,6.10-11 | 
| Tb-156m | M | 1,1.10-9 | 9,4.10-10 | 4,7.10-10 | 3,3.10-10 | 2,7.10-10 | 2,1.10-10 | 
| Tb-157 | M | 3,2.10-9 | 3,0.10-9 | 2,0.10-9 | 1,4.10-9 | 1,2.10-9 | 1,2.10-9 | 
| Tb-158 | M | 1,1.10-7 | 1,0.10-7 | 7,0.10-8 | 5,1.10-8 | 4,7.10-8 | 4,6.10-8 | 
| Tb-160 | M | 3,2.10-8 | 2,5.10-8 | 1,5.10-8 | 1,0.10-8 | 8,6.10-9 | 7,0.10-9 | 
| Tb-161 | M | 6,6.10-9 | 4,7.10-9 | 2,6.10-9 | 1,9.10-9 | 1,6.10-9 | 1,3.10-9 | 
| Dysprosium | |||||||
| Dy-155 | M | 5,6.10-10 | 4,4.10-10 | 2,3.10-10 | 1,5.10-10 | 9,6.10-11 | 7,7.10-11 | 
| Dy-157 | M | 2,4.10-10 | 1,9.10-10 | 9,9.10-11 | 6,2.10-11 | 3,8.10-11 | 3,0.10-11 | 
| Dy-159 | M | 2,1.10-9 | 1,7.10-9 | 9,6.10-10 | 6,0.10-10 | 4,4.10-10 | 3,7.10-10 | 
| Dy-165 | M | 5,2.10-10 | 3,4.10-10 | 1,6.10-10 | 1,1.10-10 | 7,2.10-11 | 6,0.10-11 | 
| Dy-166 | M | 1,2.10-8 | 8,3.10-9 | 4,4.10-9 | 3,0.10-9 | 2,3.10-9 | 1,9.10-9 | 
| Holmium | |||||||
| Ho-155 | M | 1,7.10-10 | 1,2.10-10 | 5,8.10-11 | 3,7.10-11 | 2,4.10-11 | 2,0.10-11 | 
| Ho-157 | M | 3,4.10-11 | 2,5.10-11 | 1,3.10-11 | 8,0.10-12 | 5,1.10-12 | 4,2.10-12 | 
| Ho-159 | M | 4,6.10-11 | 3,3.10-11 | 1,7.10-11 | 1,1.10-11 | 7,5.10-12 | 6,1.10-12 | 
| Ho-161 | M | 5,7.10-11 | 4,0.10-11 | 2,0.10-11 | 1,2.10-11 | 7,5.10-12 | 6,0.10-12 | 
| Ho-162 | M | 2,1.10-11 | 1,5.10-11 | 7,2.10-12 | 4,8.10-12 | 3,4.10-12 | 2,8.10-12 | 
| Ho-162m | M | 1,5.10-10 | 1,1.10-10 | 5,8.10-11 | 3,8.10-11 | 2,6.10-11 | 2,1.10-11 | 
| Ho-164 | M | 6,8.10-11 | 4,5.10-11 | 2,1.10-11 | 1,4.10-11 | 9,9.10-12 | 8,4.10-12 | 
| Ho-164m | M | 9,1.10-11 | 5,9.10-11 | 3,0.10-11 | 2,0.10-11 | 1,3.10-11 | 1,2.10-11 | 
| Ho-166 | M | 6,0.10-9 | 4,0.10-9 | 1,9.10-9 | 1,2.10-9 | 7,9.10-10 | 6,5.10-10 | 
| Ho-166m | M | 2,6.10-7 | 2,5.10-7 | 1,8.10-7 | 1,3.10-7 | 1,2.10-7 | 1,2.10-7 | 
| Ho-167 | M | 5,2.10-10 | 3,6.10-10 | 1,8.10-10 | 1,2.10-10 | 8,7.10-11 | 7,1.10-11 | 
| Erbium | |||||||
| Er-161 | M | 3,8.10-10 | 2,9.10-10 | 1,5.10-10 | 9,5.10-11 | 6,0.10-11 | 4,8.10-11 | 
| Er-165 | M | 7,2.10-11 | 5,3.10-11 | 2,6.10-11 | 1,6.10-11 | 9,6.10-12 | 7,9.10-12 | 
| Er-169 | M | 4,7.10-9 | 3,5.10-9 | 2,0.10-9 | 1,5.10-9 | 1,3.10-9 | 1,0.10-9 | 
| Er-171 | M | 1,8.10-9 | 1,2.10-9 | 5,9.10-10 | 3,9.10-10 | 2,7.10-10 | 2,2.10-10 | 
| Er-172 | M | 6,6.10-9 | 4,7.10-9 | 2,5.10-9 | 1,7.10-9 | 1,4.10-9 | 1,1.10-9 | 
| Thulium | |||||||
| Tm-162 | M | 1,3.10-10 | 9,6.10-11 | 4,7.10-11 | 3,0.10-11 | 1,9.10-11 | 1,6.10-11 | 
| Tm-166 | M | 1,3.10-9 | 9,9.10-10 | 5,2.10-10 | 3,3.10-10 | 2,2.10-10 | 1,7.10-10 | 
| Tm-167 | M | 5,6.10-9 | 4,1.10-9 | 2,3.10-9 | 1,7.10-9 | 1,4.10-9 | 1,1.10-9 | 
| Tm-170 | M | 3,6.10-8 | 2,8.10-8 | 1,6.10-8 | 1,1.10-8 | 8,5.10-9 | 7,0.10-9 | 
| Tm-171 | M | 6,8.10-9 | 5,7.10-9 | 3,4.10-9 | 2,0.10-9 | 1,6.10-9 | 1,4.10-9 | 
| Tm-172 | M | 8,4.10-9 | 5,8.10-9 | 2,9.10-9 | 1,9.10-9 | 1,4.10-9 | 1,1.10-9 | 
| Tm-173 | M | 1,5.10-9 | 1,0.10-9 | 5,0.10-10 | 3,3.10-10 | 2,2.10-10 | 1,8.10-10 | 
| Tm-175 | M | 1,6.10-10 | 1,1.10-10 | 5,0.10-11 | 3,3.10-11 | 2,2.10-11 | 1,8.10-11 | 
| Ytterbium | |||||||
| Yb-162 | M | 1,1.10-10 | 7,9.10-11 | 3,9.10-11 | 2,5.10-11 | 1,6.10-11 | 1,3.10-11 | 
| S | 1,2.10-10 | 8,2.10-11 | 4,0.10-11 | 2,6.10-11 | 1,7.10-11 | 1,4.10-11 | |
| Yb-166 | M | 4,7.10-9 | 3,5.10-9 | 1,9.10-9 | 1,3.10-9 | 9,0.10-10 | 7,2.10-10 | 
| S | 4,9.10-9 | 3,7.10-9 | 2,0.10-9 | 1,3.10-9 | 9,6.10-10 | 7,7.10-10 | |
| Yb-167 | M | 4,4.10-11 | 3,1.10-11 | 1,6.10-11 | 1,1.10-11 | 7,9.10-12 | 6,5.10-12 | 
| S | 4,6.10-11 | 3,2.10-11 | 1,7.10-11 | 1,1.10-11 | 8,4.10-12 | 6,9.10-12 | |
| Yb-169 | M | 1,2.10-8 | 8,7.10-9 | 5,1.10-9 | 3,7.10-9 | 3,2.10-9 | 2,5.10-9 | 
| S | 1,3.10-8 | 9,8.10-9 | 5,9.10-9 | 4,2.10-9 | 3,7.10-9 | 3,0.10-9 | |
| Yb-175 | M | 3,5.10-9 | 2,5.10-9 | 1,4.10-9 | 9,8.10-10 | 8,3.10-10 | 6,5.10-10 | 
| S | 3,7.10-9 | 2,7.10-9 | 1,5.10-9 | 1,1.10-9 | 9,2.10-10 | 7,3.10-10 | |
| Yb-177 | M | 5,0.10-10 | 3,3.10-10 | 1,6.10-10 | 1,1.10-10 | 7,8.10-11 | 6,4.10-11 | 
| S | 5,3.10-10 | 3,5.10-10 | 1,7.10-10 | 1,2.10-10 | 8,4.10-11 | 6,9.10-11 | |
| Yb-178 | M | 5,9.10-10 | 3,9.10-10 | 1,8.10-10 | 1,2.10-10 | 8,5.10-11 | 7,0.10-11 | 
| S | 6,2.10-10 | 4,1.10-10 | 1,9.10-10 | 1,3.10-10 | 9,1.10-11 | 7,5.10-11 | |
| Lutétium | |||||||
| Lu-169 | M | 2,3.10-9 | 1,8.10-9 | 9,5.10-10 | 6,3.10-10 | 4,4.10-10 | 3,5.10-10 | 
| S | 2,4.10-9 | 1,9.10-9 | 1,0.10-9 | 6,7.10-10 | 4,8.10-10 | 3,8.10-10 | |
| Lu-170 | M | 4,3.10-9 | 3,4.10-9 | 1,8.10-9 | 1,2.10-9 | 7,8.10-10 | 6,3.10-10 | 
| S | 4,5.10-9 | 3,5.10-9 | 1,8.10-9 | 1,2.10-9 | 8,2.10-10 | 6,6.10-10 | |
| Lu-171 | M | 5,0.10-9 | 3,7.10-9 | 2,1.10-9 | 1,2.10-9 | 9,8.10-10 | 8,0.10-10 | 
| S | 4,7.10-9 | 3,9.10-9 | 2,0.10-9 | 1,4.10-9 | 1,1.10-9 | 8,8.10-10 | |
| Lu-172 | M | 8,7.10-9 | 6,7.10-9 | 3,8.10-9 | 2,6.10-9 | 1,8.10-9 | 1,4.10-9 | 
| S | 9,3.10-9 | 7,1.10-9 | 4,0.10-9 | 2,8.10-9 | 2,0.10-9 | 1,6.10-9 | |
| Lu-173 | M | 1,0.10-8 | 8,5.10-9 | 5,1.10-9 | 3,2.10-9 | 2,5.10-9 | 2,2.10-9 | 
| S | 1,0.10-8 | 8,7.10-9 | 5,4.10-9 | 3,6.10-9 | 2,9.10-9 | 2,4.10-9 | |
| Lu-174 | M | 1,7.10-8 | 1,5.10-8 | 9,1.10-9 | 5,8.10-9 | 4,7.10-9 | 4,2.10-9 | 
| S | 1,6.10-8 | 1,4.10-8 | 8,9.10-9 | 5,9.10-9 | 4,9.10-9 | 4,2.10-9 | |
| Lu-174m | M | 1,9.10-8 | 1,4.10-8 | 8,6.10-9 | 5,4.10-9 | 4,3.10-9 | 3,7.10-9 | 
| S | 2,0.10-8 | 1,5.10-8 | 9,2.10-9 | 6,1.10-9 | 5,0.10-9 | 4,2.10-9 | |
| Lu-176 | M | 1,8.10-7 | 1,7.10-7 | 1,1.10-7 | 7,8.10-8 | 7,1.10-8 | 7,0.10-8 | 
| S | 1,5.10-7 | 1,4.10-7 | 9,4.10-8 | 6,5.10-8 | 5,9.10-8 | 5,6.10-8 | |
| Lu-176m | M | 8,9.10-10 | 5,9.10-10 | 2,8.10-10 | 1,9.10-10 | 1,2.10-10 | 1,1.10-10 | 
| S | 9,3.10-10 | 6,2.10-10 | 3,0.10-10 | 2,0.10-10 | 1,2.10-10 | 1,2.10-10 | |
| Lu-177 | M | 5,3.10-9 | 3,8.10-9 | 2,2.10-9 | 1,6.10-9 | 1,4.10-9 | 1,1.10-9 | 
| S | 5,7.10-9 | 4,1.10-9 | 2,4.10-9 | 1,7.10-9 | 1,5.10-9 | 1,2.10-9 | |
| Lu-177m | M | 5,8.10-8 | 4,6.10-8 | 2,8.10-8 | 1,9.10-8 | 1,6.10-8 | 1,3.10-8 | 
| S | 6,5.10-8 | 5,3.10-8 | 3,2.10-8 | 2,3.10-8 | 2,0.10-8 | 1,6.10-8 | |
| Lu-178 | M | 2,3.10-10 | 1,5.10-10 | 6,6.10-11 | 4,3.10-11 | 2,9.10-11 | 2,4.10-11 | 
| S | 2,4.10-10 | 1,5.10-10 | 6,9.10-11 | 4,5.10-11 | 3,0.10-11 | 2,6.10-11 | |
| Lu-178m | M | 2,6.10-10 | 1,8.10-10 | 8,3.10-11 | 5,6.10-11 | 3,8.10-11 | 3,2.10-11 | 
| S | 2,7.10-10 | 1,9.10-10 | 8,7.10-11 | 5,8.10-11 | 4,0.10-11 | 3,3.10-11 | |
| Lu-179 | M | 9,9.10-10 | 6,5.10-10 | 3,0.10-10 | 2,0.10-10 | 1,2.10-10 | 1,1.10-10 | 
| S | 1,0.10-9 | 6,8.10-10 | 3,2.10-10 | 2,1.10-10 | 1,3.10-10 | 1,2.10-10 | |
| Hafnium | |||||||
| Hf-170 | F | 1,4.10-9 | 1,1.10-9 | 5,4.10-10 | 3,4.10-10 | 2,0.10-10 | 1,6.10-10 | 
| M | 2,2.10-9 | 1,7.10-9 | 8,7.10-10 | 5,8.10-10 | 3,9.10-10 | 3,2.10-10 | |
| Hf-172 | F | 1,5.10-7 | 1,3.10-7 | 7,8.10-8 | 4,9.10-8 | 3,5.10-8 | 3,2.10-8 | 
| M | 8,1.10-8 | 6,9.10-8 | 4,3.10-8 | 2,8.10-8 | 2,3.10-8 | 2,0.10-8 | |
| Hf-173 | F | 6,6.10-10 | 5,0.10-10 | 2,5.10-10 | 1,5.10-10 | 8,9.10-11 | 7,4.10-11 | 
| M | 1,1.10-9 | 8,2.10-10 | 4,3.10-10 | 2,9.10-10 | 2,0.10-10 | 1,6.10-10 | |
| Hf-175 | F | 5,4.10-9 | 4,0.10-9 | 2,1.10-9 | 1,3.10-9 | 8,5.10-10 | 7,2.10-10 | 
| M | 5,8.10-9 | 4,5.10-9 | 2,6.10-9 | 1,8.10-9 | 1,4.10-9 | 1,2.10-9 | |
| Hf-177m | F | 3,9.10-10 | 2,8.10-10 | 1,3.10-10 | 8,5.10-11 | 5,2.10-11 | 4,4.10-11 | 
| M | 6,5.10-10 | 4,7.10-10 | 2,3.10-10 | 1,5.10-10 | 1,1.10-10 | 9,0.10-11 | |
| Hf-178m | F | 6,2.10-7 | 5,8.10-7 | 4,0.10-7 | 3,1.10-7 | 2,7.10-7 | 2,6.10-7 | 
| M | 2,6.10-7 | 2,4.10-7 | 1,7.10-7 | 1,3.10-7 | 1,2.10-7 | 1,2.10-7 | |
| Hf-179m | F | 9,7.10-9 | 6,8.10-9 | 3,4.10-9 | 2,1.10-9 | 1,2.10-9 | 1,1.10-9 | 
| M | 1,7.10-8 | 1,3.10-8 | 7,6.10-9 | 5,5.10-9 | 4,8.10-9 | 3,8.10-9 | |
| Hf-180m | F | 5,4.10-10 | 4,1.10-10 | 2,0.10-10 | 1,3.10-10 | 7,2.10-11 | 5,9.10-11 | 
| M | 9,1.10-10 | 6,8.10-10 | 3,6.10-10 | 2,4.10-10 | 1,7.10-10 | 1,3.10-10 | |
| Hf-181 | F | 1,3.10-8 | 9,6.10-9 | 4,8.10-9 | 2,8.10-9 | 1,7.10-9 | 1,4.10-9 | 
| M | 2,2.10-8 | 1,7.10-8 | 9,9.10-9 | 7,1.10-9 | 6,3.10-9 | 5,0.10-9 | |
| Hf-182 | F | 6,5.10-7 | 6,2.10-7 | 4,4.10-7 | 3,6.10-7 | 3,1.10-7 | 3,1.10-7 | 
| M | 2,4.10-7 | 2,3.10-7 | 1,7.10-7 | 1,3.10-7 | 1,3.10-7 | 1,3.10-7 | |
| Hf-182m | F | 1,9.10-10 | 1,4.10-10 | 6,6.10-11 | 4,2.10-11 | 2,6.10-11 | 2,1.10-11 | 
| M | 3,2.10-10 | 2,3.10-10 | 1,2.10-10 | 7,8.10-11 | 5,6.10-11 | 4,6.10-11 | |
| Hf-183 | F | 2,5.10-10 | 1,7.10-10 | 7,9.10-11 | 4,9.10-11 | 2,8.10-11 | 2,4.10-11 | 
| M | 4,4.10-10 | 3,0.10-10 | 1,5.10-10 | 9,8.10-11 | 7,0.10-11 | 5,7.10-11 | |
| Hf-184 | F | 1,4.10-9 | 9,6.10-10 | 4,3.10-10 | 2,7.10-10 | 1,4.10-10 | 1,2.10-10 | 
| M | 2,6.10-9 | 1,8.10-9 | 8,9.10-10 | 5,9.10-10 | 4,0.10-10 | 3,3.10-10 | |
| Tantale | |||||||
| Ta-172 | M | 2,8.10-10 | 1,9.10-10 | 9,3.10-11 | 6,0.10-11 | 4,0.10-11 | 3,3.10-11 | 
| S | 2,9.10-10 | 2,0.10-10 | 9,8.10-11 | 6,3.10-11 | 4,2.10-11 | 3,5.10-11 | |
| Ta-173 | M | 8,8.10-10 | 6,2.10-10 | 3,0.10-10 | 2,0.10-10 | 1,3.10-10 | 1,1.10-10 | 
| S | 9,2.10-10 | 6,5.10-10 | 3,2.10-10 | 2,1.10-10 | 1,4.10-10 | 1,1.10-10 | |
| Ta-174 | M | 3,2.10-10 | 2,2.10-10 | 1,1.10-10 | 7,1.10-11 | 5,0.10-11 | 4,1.10-11 | 
| S | 3,4.10-10 | 2,3.10-10 | 1,1.10-10 | 7,5.10-11 | 5,3.10-11 | 4,3.10-11 | |
| Ta-175 | M | 9,1.10-10 | 7,0.10-10 | 3,7.10-10 | 2,4.10-10 | 1,5.10-10 | 1,2.10-10 | 
| S | 9,5.10-10 | 7,3.10-10 | 3,8.10-10 | 2,5.10-10 | 1,6.10-10 | 1,3.10-10 | |
| Ta-176 | M | 1,4.10-9 | 1,1.10-9 | 5,7.10-10 | 3,7.10-10 | 2,4.10-10 | 1,9.10-10 | 
| S | 1,4.10-9 | 1,1.10-9 | 5,9.10-10 | 3,8.10-10 | 2,5.10-10 | 2,0.10-10 | |
| Ta-177 | M | 6,5.10-10 | 4,7.10-10 | 2,5.10-10 | 1,5.10-10 | 1,2.10-10 | 9,6.10-11 | 
| S | 6,9.10-10 | 5,0.10-10 | 2,7.10-10 | 1,7.10-10 | 1,3.10-10 | 1,1.10-10 | |
| Ta-178m | M | 4,4.10-10 | 3,3.10-10 | 1,7.10-10 | 1,1.10-10 | 8,0.10-11 | 6,5.10-11 | 
| S | 4,6.10-10 | 3,4.10-10 | 1,8.10-10 | 1,2.10-10 | 8,5.10-11 | 6,8.10-11 | |
| Ta-179 | M | 1,2.10-9 | 9,6.10-10 | 5,5.10-10 | 3,5.10-10 | 2,6.10-10 | 2,2.10-10 | 
| S | 2,4.10-9 | 2,1.10-9 | 1,3.10-9 | 8,3.10-10 | 6,4.10-10 | 5,6.10-10 | |
| Ta-180 | M | 3,1.10-10 | 2,2.10-10 | 1,1.10-10 | 7,4.10-11 | 4,8.10-11 | 4,4.10-11 | 
| S | 3,3.10-10 | 2,3.10-10 | 1,2.10-10 | 7,9.10-11 | 5,2.10-11 | 4,2.10-11 | |
| Ta-182 | M | 3,2.10-8 | 2,6.10-8 | 1,5.10-8 | 1,1.10-8 | 9,5.10-9 | 7,6.10-9 | 
| S | 4,2.10-8 | 3,4.10-8 | 2,1.10-8 | 1,5.10-8 | 1,3.10-8 | 1,0.10-8 | |
| Ta-182m | M | 1,6.10-10 | 1,1.10-10 | 4,9.10-11 | 3,4.10-11 | 2,4.10-11 | 2,0.10-11 | 
| S | 1,6.10-10 | 1,1.10-10 | 5,2.10-11 | 3,6.10-11 | 2,5.10-11 | 2,1.10-11 | |
| Ta-183 | M | 1,0.10-8 | 7,4.10-9 | 4,1.10-9 | 2,9.10-9 | 2,4.10-9 | 1,9.10-9 | 
| S | 1,1.10-8 | 8,0.10-9 | 4,5.10-9 | 3,2.10-9 | 2,7.10-9 | 2,1.10-9 | |
| Ta-184 | M | 3,2.10-9 | 2,3.10-9 | 1,1.10-9 | 7,5.10-10 | 5,0.10-10 | 4,1.10-10 | 
| S | 3,4.10-9 | 2,4.10-9 | 1,2.10-9 | 7,9.10-10 | 5,4.10-10 | 4,3.10-10 | |
| Ta-185 | M | 3,8.10-10 | 2,5.10-10 | 1,2.10-10 | 7,7.10-11 | 5,4.10-11 | 4,5.10-11 | 
| S | 4,0.10-10 | 2,6.10-10 | 1,2.10-10 | 8,2.10-11 | 5,7.10-11 | 4,8.10-11 | |
| Ta-186 | M | 1,6.10-10 | 1,1.10-10 | 4,8.10-11 | 3,1.10-11 | 2,0.10-11 | 1,7.10-11 | 
| S | 1,6.10-10 | 1,1.10-10 | 5,0.10-11 | 3,2.10-11 | 2,1.10-11 | 1,8.10-11 | |
| Tungstène | |||||||
| W-176 | F | 3,3.10-10 | 2,7.10-10 | 1,4.10-10 | 8,6.10-11 | 5,0.10-11 | 4,1.10-11 | 
| W-177 | F | 2,0.10-10 | 1,6.10-10 | 8,2.10-11 | 5,1.10-11 | 3,0.10-11 | 2,4.10-11 | 
| W-178 | F | 7,2.10-10 | 5,4.10-10 | 2,5.10-10 | 1,6.10-10 | 8,7.10-11 | 7,2.10-11 | 
| W-179 | F | 9,3.10-12 | 6,8.10-12 | 3,3.10-12 | 2,0.10-12 | 1,2.10-12 | 9,2.10-13 | 
| W-181 | F | 2,5.10-10 | 1,9.10-10 | 9,2.10-11 | 5,7.10-11 | 3,2.10-11 | 2,7.10-11 | 
| W-185 | F | 1,4.10-9 | 1,0.10-9 | 4,4.10-10 | 2,7.10-10 | 1,4.10-10 | 1,2.10-10 | 
| W-187 | F | 2,0.10-9 | 1,5.10-9 | 7,0.10-10 | 4,3.10-10 | 2,3.10-10 | 1,9.10-10 | 
| W-188 | F | 7,1.10-9 | 5,0.10-9 | 2,2.10-9 | 1,3.10-9 | 6,8.10-10 | 5,7.10-10 | 
| Rhénium | |||||||
| Re-177 | F | 9,4.10-11 | 6,7.10-11 | 3,2.10-11 | 1,9.10-11 | 1,2.10-11 | 9,7.10-12 | 
| M | 1,1.10-10 | 7,9.10-11 | 3,9.10-11 | 2,5.10-11 | 1,7.10-11 | 1,4.10-11 | |
| Re-178 | F | 9,9.10-11 | 6,8.10-11 | 3,1.10-11 | 1,9.10-11 | 1,2.10-11 | 1,0.10-11 | 
| M | 1,3.10-10 | 8,5.10-11 | 3,9.10-11 | 2,6.10-11 | 1,7.10-11 | 1,4.10-11 | |
| Re-181 | F | 2,0.10-9 | 1,4.10-9 | 6,7.10-10 | 3,8.10-10 | 2,3.10-10 | 1,8.10-10 | 
| M | 2,1.10-9 | 1,5.10-9 | 7,4.10-10 | 4,6.10-10 | 3,1.10-10 | 2,5.10-10 | |
| Re-182 | F | 6,5.10-9 | 4,7.10-9 | 2,2.10-9 | 1,3.10-9 | 8,0.10-10 | 6,4.10-10 | 
| M | 8,7.10-9 | 6,3.10-9 | 3,4.10-9 | 2,2.10-9 | 1,5.10-9 | 1,2.10-9 | |
| Re-182m | F | 1,3.10-9 | 1,0.10-9 | 4,9.10-10 | 2,8.10-10 | 1,7.10-10 | 1,4.10-10 | 
| M | 1,4.10-9 | 1,1.10-9 | 5,7.10-10 | 3,6.10-10 | 2,5.10-10 | 2,0.10-10 | |
| Re-184 | F | 4,1.10-9 | 2,9.10-9 | 1,4.10-9 | 8,6.10-10 | 5,4.10-10 | 4,4.10-10 | 
| M | 9,1.10-9 | 6,8.10-9 | 4,0.10-9 | 2,8.10-9 | 2,4.10-9 | 1,9.10-9 | |
| Re-184m | F | 6,6.10-9 | 4,6.10-9 | 2,0.10-9 | 1,2.10-9 | 7,3.10-10 | 5,9.10-10 | 
| M | 2,9.10-8 | 2,2.10-8 | 1,3.10-8 | 9,3.10-9 | 8,1.10-9 | 6,5.10-9 | |
| Re-186 | F | 7,3.10-9 | 4,7.10-9 | 2,0.10-9 | 1,1.10-9 | 6,6.10-10 | 5,2.10-10 | 
| M | 8,7.10-9 | 5,7.10-9 | 2,8.10-9 | 1,8.10-9 | 1,4.10-9 | 1,1.10-9 | |
| Re-186m | F | 1,2.10-8 | 7,0.10-9 | 2,9.10-9 | 1,7.10-9 | 1,0.10-9 | 8,3.10-10 | 
| M | 5,9.10-8 | 4,6.10-8 | 2,7.10-8 | 1,8.10-8 | 1,4.10-8 | 1,2.10-8 | |
| Re-187 | F | 2,6.10-11 | 1,6.10-11 | 6,8.10-12 | 3,8.10-12 | 2,3.10-12 | 1,8.10-12 | 
| M | 5,7.10-11 | 4,1.10-11 | 2,0.10-11 | 1,2.10-11 | 7,5.10-12 | 6,3.10-12 | |
| Re-188 | F | 6,5.10-9 | 4,4.10-9 | 1,9.10-9 | 1,0.10-9 | 6,1.10-10 | 4,6.10-10 | 
| M | 6,0.10-9 | 4,0.10-9 | 1,8.10-9 | 1,0.10-9 | 6,8.10-10 | 5,4.10-10 | |
| Re-188m | F | 1,4.10-10 | 9,1.10-11 | 4,0.10-11 | 2,1.10-11 | 1,3.10-11 | 1,0.10-11 | 
| M | 1,3.10-10 | 8,6.10-11 | 4,0.10-11 | 2,7.10-11 | 1,6.10-11 | 1,3.10-11 | |
| Re-189 | F | 3,7.10-9 | 2,5.10-9 | 1,1.10-9 | 5,8.10-10 | 3,5.10-10 | 2,7.10-10 | 
| M | 3,9.10-9 | 2,6.10-9 | 1,2.10-9 | 7,6.10-10 | 5,5.10-10 | 4,3.10-10 | |
| Osmium | |||||||
| Os-180 | F | 7,1.10-11 | 5,3.10-11 | 2,6.10-11 | 1,6.10-11 | 1,0.10-11 | 8,2.10-12 | 
| M | 1,1.10-10 | 7,9.10-11 | 3,9.10-11 | 2,5.10-11 | 1,7.10-11 | 1,4.10-11 | |
| S | 1,1.10-10 | 8,2.10-11 | 4,1.10-11 | 2,6.10-11 | 1,8.10-11 | 1,5.10-11 | |
| Os-181 | F | 3,0.10-10 | 2,3.10-10 | 1,1.10-10 | 7,0.10-11 | 4,1.10-11 | 3,3.10-11 | 
| M | 4,5.10-10 | 3,4.10-10 | 1,8.10-10 | 1,1.10-10 | 7,6.10-11 | 6,2.10-11 | |
| S | 4,7.10-10 | 3,6.10-10 | 1,8.10-10 | 1,2.10-10 | 8,1.10-11 | 6,5.10-11 | |
| Os-182 | F | 1,6.10-9 | 1,2.10-9 | 6,0.10-10 | 3,7.10-10 | 2,1.10-10 | 1,7.10-10 | 
| M | 2,5.10-9 | 1,9.10-9 | 1,0.10-9 | 6,6.10-10 | 4,5.10-10 | 3,6.10-10 | |
| S | 2,6.10-9 | 2,0.10-9 | 1,0.10-9 | 6,9.10-10 | 4,8.10-10 | 3,8.10-10 | |
| Os-185 | F | 7,2.10-9 | 5,8.10-9 | 3,1.10-9 | 1,9.10-9 | 1,2.10-9 | 1,1.10-9 | 
| M | 6,6.10-9 | 5,4.10-9 | 2,9.10-9 | 2,0.10-9 | 1,5.10-9 | 1,3.10-9 | |
| S | 7,0.10-9 | 5,8.10-9 | 3,6.10-9 | 2,4.10-9 | 1,9.10-9 | 1,6.10-9 | |
| Os-189m | F | 3,8.10-11 | 2,8.10-11 | 1,2.10-11 | 7,0.10-12 | 3,5.10-12 | 2,5.10-12 | 
| M | 6,5.10-11 | 4,1.10-11 | 1,8.10-11 | 1,1.10-11 | 6,0.10-12 | 5,0.10-12 | |
| S | 6,8.10-11 | 4,3.10-11 | 1,9.10-11 | 1,2.10-11 | 6,3.10-12 | 5,3.10-12 | |
| Os-191 | F | 2,8.10-9 | 1,9.10-9 | 8,5.10-10 | 5,3.10-10 | 3,0.10-10 | 2,5.10-10 | 
| M | 8,0.10-9 | 5,8.10-9 | 3,4.10-9 | 2,4.10-9 | 2,0.10-9 | 1,7.10-9 | |
| S | 9,0.10-9 | 6,5.10-9 | 3,9.10-9 | 2,7.10-9 | 2,3.10-9 | 1,9.10-9 | |
| Os-191m | F | 3,0.10-10 | 2,0.10-10 | 8,8.10-11 | 5,4.10-11 | 2,9.10-11 | 2,4.10-11 | 
| M | 7,8.10-10 | 5,4.10-10 | 3,1.10-10 | 2,1.10-10 | 1,7.10-10 | 1,4.10-10 | |
| S | 8,5.10-10 | 6,0.10-10 | 3,4.10-10 | 2,4.10-10 | 2,0.10-10 | 1,6.10-10 | |
| Os-193 | F | 1,9.10-9 | 1,2.10-9 | 5,2.10-10 | 3,2.10-10 | 1,8.10-10 | 1,6.10-10 | 
| M | 3,8.10-9 | 2,6.10-9 | 1,3.10-9 | 8,4.10-10 | 5,9.10-10 | 4,8.10-10 | |
| S | 4,0.10-9 | 2,7.10-9 | 1,3.10-9 | 9,0.10-10 | 6,4.10-10 | 5,2.10-10 | |
| Os-194 | F | 8,7.10-8 | 6,8.10-8 | 3,4.10-8 | 2,1.10-8 | 1,3.10-8 | 1,1.10-8 | 
| M | 9,9.10-8 | 8,3.10-8 | 4,8.10-8 | 3,1.10-8 | 2,4.10-8 | 2,1.10-8 | |
| S | 2,6.10-7 | 2,4.10-7 | 1,6.10-7 | 1,1.10-7 | 8,8.10-8 | 8,5.10-8 | |
| Iridium | |||||||
| Ir-182 | F | 1,4.10-10 | 9,8.10-11 | 4,5.10-11 | 2,8.10-11 | 1,7.10-11 | 1,4.10-11 | 
| M | 2,1.10-10 | 1,4.10-10 | 6,7.10-11 | 4,3.10-11 | 2,8.10-11 | 2,3.10-11 | |
| S | 2,2.10-10 | 1,5.10-10 | 6,9.10-11 | 4,4.10-11 | 2,9.10-11 | 2,4.10-11 | |
| Ir-184 | F | 5,7.10-10 | 4,4.10-10 | 2,1.10-10 | 1,3.10-10 | 7,6.10-11 | 6,2.10-11 | 
| M | 8,6.10-10 | 6,4.10-10 | 3,2.10-10 | 2,1.10-10 | 1,4.10-10 | 1,1.10-10 | |
| S | 8,9.10-10 | 6,6.10-10 | 3,4.10-10 | 2,2.10-10 | 1,4.10-10 | 1,2.10-10 | |
| Ir-185 | F | 8,0.10-10 | 6,1.10-10 | 2,9.10-10 | 1,8.10-10 | 1,0.10-10 | 8,2.10-11 | 
| M | 1,3.10-9 | 9,7.10-10 | 4,9.10-10 | 3,2.10-10 | 2,2.10-10 | 1,8.10-10 | |
| S | 1,4.10-9 | 1,0.10-9 | 5,2.10-10 | 3,4.10-10 | 2,3.10-10 | 1,9.10-10 | |
| Ir-186 | F | 1,5.10-9 | 1,2.10-9 | 5,9.10-10 | 3,6.10-10 | 2,1.10-10 | 1,7.10-10 | 
| M | 2,2.10-9 | 1,7.10-9 | 8,8.10-10 | 5,8.10-10 | 3,8.10-10 | 3,1.10-10 | |
| S | 2,3.10-9 | 1,8.10-9 | 9,2.10-10 | 6,0.10-10 | 4,0.10-10 | 3,2.10-10 | |
| Ir-186m | F | 2,1.10-10 | 1,6.10-10 | 7,7.10-11 | 4,8.10-11 | 2,8.10-11 | 2,3.10-11 | 
| M | 3,3.10-10 | 2,4.10-10 | 1,2.10-10 | 7,7.10-11 | 5,1.10-11 | 4,2.10-11 | |
| S | 3,4.10-10 | 2,5.10-10 | 1,2.10-10 | 8,1.10-11 | 5,4.10-11 | 4,4.10-11 | |
| Ir-187 | F | 3,6.10-10 | 2,8.10-10 | 1,4.10-10 | 8,2.10-11 | 4,6.10-11 | 3,7.10-11 | 
| M | 5,8.10-10 | 4,3.10-10 | 2,2.10-10 | 1,4.10-10 | 9,2.10-11 | 7,4.10-11 | |
| S | 6,0.10-10 | 4,5.10-10 | 2,3.10-10 | 1,5.10-10 | 9,7.10-11 | 7,9.10-11 | |
| Ir-188 | F | 2,0.10-9 | 1,6.10-9 | 8,0.10-10 | 5,0.10-10 | 2,9.10-10 | 2,4.10-10 | 
| M | 2,7.10-9 | 2,1.10-9 | 1,1.10-9 | 7,5.10-10 | 5,0.10-10 | 4,0.10-10 | |
| S | 2,8.10-9 | 2,2.10-9 | 1,2.10-9 | 7,8.10-10 | 5,2.10-10 | 4,2.10-10 | |
| Ir-189 | F | 1,2.10-9 | 8,2.10-10 | 3,8.10-10 | 2,4.10-10 | 1,3.10-10 | 1,1.10-10 | 
| M | 2,7.10-9 | 1,9.10-9 | 1,1.10-9 | 7,7.10-10 | 6,4.10-10 | 5,2.10-10 | |
| S | 3,0.10-9 | 2,2.10-9 | 1,3.10-9 | 8,7.10-10 | 7,3.10-10 | 6,0.10-10 | |
| Ir-190 | F | 6,2.10-9 | 4,7.10-9 | 2,4.10-9 | 1,5.10-9 | 9,1.10-10 | 7,7.10-10 | 
| M | 1,1.10-8 | 8,6.10-9 | 4,4.10-9 | 3,1.10-9 | 2,7.10-9 | 2,1.10-9 | |
| S | 1,1.10-8 | 9,4.10-9 | 4,8.10-9 | 3,5.10-9 | 3,0.10-9 | 2,4.10-9 | |
| Ir-190n | F | 4,2.10-10 | 3,4.10-10 | 1,7.10-10 | 1,0.10-10 | 6,0.10-11 | 4,9.10-11 | 
| M | 6,0.10-10 | 4,7.10-10 | 2,4.10-10 | 1,5.10-10 | 9,9.10-11 | 7,9.10-11 | |
| S | 6,2.10-10 | 4,8.10-10 | 2,5.10-10 | 1,6.10-10 | 1,0.10-10 | 8,3.10-11 | |
| Ir-190m | F | 3,2.10-11 | 2,4.10-11 | 1,2.10-11 | 7,2.10-12 | 4,3.10-12 | 3,6.10-12 | 
| M | 5,7.10-11 | 4,2.10-11 | 2,0.10-11 | 1,4.10-11 | 1,2.10-11 | 9,3.10-12 | |
| S | 5,5.10-11 | 4,5.10-11 | 2,2.10-11 | 1,6.10-11 | 1,3.10-11 | 1,0.10-11 | |
| Ir-192n | F | 1,5.10-8 | 1,1.10-8 | 5,7.10-9 | 3,3.10-9 | 2,1.10-9 | 1,8.10-9 | 
| M | 2,3.10-8 | 1,8.10-8 | 1,1.10-8 | 7,6.10-9 | 6,4.10-9 | 5,2.10-9 | |
| S | 2,8.10-8 | 2,2.10-8 | 1,3.10-8 | 9,5.10-9 | 8,1.10-9 | 6,6.10-9 | |
| Ir-192m | F | 2,7.10-8 | 2,3.10-8 | 1,4.10-8 | 8,2.10-9 | 5,4.10-9 | 4,8.10-9 | 
| M | 2,3.10-8 | 2,1.10-8 | 1,3.10-8 | 8,4.10-9 | 6,6.10-9 | 5,8.10-9 | |
| S | 9,2.10-8 | 9,1.10-8 | 6,5.10-8 | 4,5.10-8 | 4,0.10-8 | 3,9.10-8 | |
| Ir-193m | F | 1,2.10-9 | 8,4.10-10 | 3,7.10-10 | 2,2.10-10 | 1,2.10-10 | 1,0.10-10 | 
| M | 4,8.10-9 | 3,5.10-9 | 2,1.10-9 | 1,5.10-9 | 1,4.10-9 | 1,1.10-9 | |
| S | 5,4.10-9 | 4,0.10-9 | 2,4.10-9 | 1,8.10-9 | 1,6.10-9 | 1,3.10-9 | |
| Ir-194 | F | 2,9.10-9 | 1,9.10-9 | 8,1.10-10 | 4,9.10-10 | 2,5.10-10 | 2,1.10-10 | 
| M | 5,3.10-9 | 3,5.10-9 | 1,6.10-9 | 1,0.10-9 | 6,3.10-10 | 5,2.10-10 | |
| S | 5,5.10-9 | 3,7.10-9 | 1,7.10-9 | 1,1.10-9 | 6,7.10-10 | 5,6.10-10 | |
| Ir-194m | F | 3,4.10-8 | 2,7.10-8 | 1,4.10-8 | 9,5.10-9 | 6,2.10-9 | 5,4.10-9 | 
| M | 3,9.10-8 | 3,2.10-8 | 1,9.10-8 | 1,3.10-8 | 1,1.10-8 | 9,0.10-9 | |
| S | 5,0.10-8 | 4,2.10-8 | 2,6.10-8 | 1,8.10-8 | 1,5.10-8 | 1,3.10-8 | |
| Ir-195 | F | 2,9.10-10 | 1,9.10-10 | 8,1.10-11 | 5,1.10-11 | 2,9.10-11 | 2,4.10-11 | 
| M | 5,4.10-10 | 3,6.10-10 | 1,7.10-10 | 1,1.10-10 | 8,1.10-11 | 6,7.10-11 | |
| S | 5,7.10-10 | 3,8.10-10 | 1,8.10-10 | 1,2.10-10 | 8,7.10-11 | 7,1.10-11 | |
| Ir-195m | F | 6,9.10-10 | 4,8.10-10 | 2,1.10-10 | 1,3.10-10 | 7,2.10-11 | 6,0.10-11 | 
| M | 1,2.10-9 | 8,6.10-10 | 4,2.10-10 | 2,7.10-10 | 1,9.10-10 | 1,6.10-10 | |
| S | 1,3.10-9 | 9,0.10-10 | 4,4.10-10 | 2,9.10-10 | 2,0.10-10 | 1,7.10-10 | |
| Platine | |||||||
| Pt-186 | F | 3,0.10-10 | 2,4.10-10 | 1,2.10-10 | 7,2.10-11 | 4,1.10-11 | 3,3.10-11 | 
| Pt-188 | F | 3,6.10-9 | 2,7.10-9 | 1,3.10-9 | 8,4.10-10 | 5,0.10-10 | 4,2.10-10 | 
| Pt-189 | F | 3,8.10-10 | 2,9.10-10 | 1,4.10-10 | 8,4.10-11 | 4,7.10-11 | 3,8.10-11 | 
| Pt-191 | F | 1,1.10-9 | 7,9.10-10 | 3,7.10-10 | 2,3.10-10 | 1,3.10-10 | 1,1.10-10 | 
| Pt-193 | F | 2,2.10-10 | 1,6.10-10 | 7,2.10-11 | 4,3.10-11 | 2,5.10-11 | 2,1.10-11 | 
| Pt-193m | F | 1,6.10-9 | 1,0.10-9 | 4,5.10-10 | 2,7.10-10 | 1,4.10-10 | 1,2.10-10 | 
| Pt-195m | F | 2,2.10-9 | 1,5.10-9 | 6,4.10-10 | 3,9.10-10 | 2,1.10-10 | 1,8.10-10 | 
| Pt-197 | F | 1,1.10-9 | 7,3.10-10 | 3,1.10-10 | 1,9.10-10 | 1,0.10-10 | 8,5.10-11 | 
| Pt-197m | F | 2,8.10-10 | 1,8.10-10 | 7,9.10-11 | 4,9.10-11 | 2,8.10-11 | 2,4.10-11 | 
| Pt-199 | F | 1,3.10-10 | 8,3.10-11 | 3,6.10-11 | 2,3.10-11 | 1,4.10-11 | 1,2.10-11 | 
| Pt-200 | F | 2,6.10-9 | 1,7.10-9 | 7,2.10-10 | 5,1.10-10 | 2,6.10-10 | 2,2.10-10 | 
| Or | |||||||
| Au-193 | F | 3,7.10-10 | 2,8.10-10 | 1,3.10-10 | 7,9.10-11 | 4,3.10-11 | 3,6.10-11 | 
| M | 7,5.10-10 | 5,6.10-10 | 2,8.10-10 | 1,9.10-10 | 1,4.10-10 | 1,1.10-10 | |
| S | 7,9.10-10 | 5,9.10-10 | 3,0.10-10 | 2,0.10-10 | 1,5.10-10 | 1,2.10-10 | |
| Au-194 | F | 1,2.10-9 | 9,6.10-10 | 4,9.10-10 | 3,0.10-10 | 1,8.10-10 | 1,4.10-10 | 
| M | 1,7.10-9 | 1,4.10-9 | 7,1.10-10 | 4,6.10-10 | 2,9.10-10 | 2,3.10-10 | |
| S | 1,7.10-9 | 1,4.10-9 | 7,3.10-10 | 4,7.10-10 | 3,0.10-10 | 2,4.10-10 | |
| Au-195 | F | 7,2.10-10 | 5,3.10-10 | 2,5.10-10 | 1,5.10-10 | 8,1.10-11 | 6,6.10-11 | 
| M | 5,2.10-9 | 4,1.10-9 | 2,4.10-9 | 1,6.10-9 | 1,4.10-9 | 1,1.10-9 | |
| S | 8,1.10-9 | 6,6.10-9 | 3,9.10-9 | 2,6.10-9 | 2,1.10-9 | 1,7.10-9 | |
| Au-198 | F | 2,4.10-9 | 1,7.10-9 | 7,6.10-10 | 4,7.10-10 | 2,5.10-10 | 2,1.10-10 | 
| M | 5,0.10-9 | 4,1.10-9 | 1,9.10-9 | 1,3.10-9 | 9,7.10-10 | 7,8.10-10 | |
| S | 5,4.10-9 | 4,4.10-9 | 2,0.10-9 | 1,4.10-9 | 1,1.10-9 | 8,6.10-10 | |
| Au-198m | F | 3,3.10-9 | 2,4.10-9 | 1,1.10-9 | 6,9.10-10 | 3,7.10-10 | 3,2.10-10 | 
| M | 8,7.10-9 | 6,5.10-9 | 3,6.10-9 | 2,6.10-9 | 2,2.10-9 | 1,8.10-9 | |
| S | 9,5.10-9 | 7,1.10-9 | 4,0.10-9 | 2,9.10-9 | 2,5.10-9 | 2,0.10-9 | |
| Au-199 | F | 1,1.10-9 | 7,9.10-10 | 3,5.10-10 | 2,2.10-10 | 1,1.10-10 | 9,8.10-11 | 
| M | 3,4.10-9 | 2,5.10-9 | 1,4.10-9 | 1,0.10-9 | 9,0.10-10 | 7,1.10-10 | |
| S | 3,8.10-9 | 2,8.10-9 | 1,6.10-9 | 1,2.10-9 | 1,0.10-9 | 7,9.10-10 | |
| Au-200 | F | 1,9.10-10 | 1,2.10-10 | 5,2.10-11 | 3,2.10-11 | 1,9.10-11 | 1,6.10-11 | 
| M | 3,2.10-10 | 2,1.10-10 | 9,3.10-11 | 6,0.10-11 | 4,0.10-11 | 3,3.10-11 | |
| S | 3,4.10-10 | 2,1.10-10 | 9,8.10-11 | 6,3.10-11 | 4,2.10-11 | 3,5.10-11 | |
| Au-200m | F | 2,7.10-9 | 2,1.10-9 | 1,0.10-9 | 6,4.10-10 | 3,6.10-10 | 2,9.10-10 | 
| M | 4,8.10-9 | 3,7.10-9 | 1,9.10-9 | 1,2.10-9 | 8,4.10-10 | 6,8.10-10 | |
| S | 5,1.10-9 | 3,9.10-9 | 2,0.10-9 | 1,3.10-9 | 8,9.10-10 | 7,2.10-10 | |
| Au-201 | F | 9,0.10-11 | 5,7.10-11 | 2,5.10-11 | 1,6.10-11 | 1,0.10-11 | 8,7.10-12 | 
| M | 1,5.10-10 | 9,6.10-11 | 4,3.10-11 | 2,9.10-11 | 2,0.10-11 | 1,7.10-11 | |
| S | 1,5.10-10 | 1,0.10-10 | 4,5.10-11 | 3,0.10-11 | 2,1.10-11 | 1,7.10-11 | |
| Mercure | |||||||
| Hg-193 (inorganique) | F | 2,7.10-10 | 2,0.10-10 | 8,9.10-11 | 5,5.10-11 | 3,1.10-11 | 2,6.10-11 | 
| M | 5,3.10-10 | 3,8.10-10 | 1,9.10-10 | 1,3.10-10 | 9,2.10-11 | 7,5.10-11 | |
| Hg-193 (organique) | F | 2,2.10-10 | 1,8.10-10 | 8,2.10-11 | 5,0.10-11 | 2,9.10-11 | 2,4.10-11 | 
| Hg-193m (inorganique) | F | 1,1.10-9 | 8,5.10-10 | 4,1.10-10 | 2,5.10-10 | 1,4.10-10 | 1,1.10-10 | 
| M | 1,9.10-9 | 1,4.10-9 | 7,2.10-10 | 4,7.10-10 | 3,2.10-10 | 2,6.10-10 | |
| Hg-193m (organique) | F | 8,4.10-10 | 7,6.10-10 | 3,7.10-10 | 2,2.10-10 | 1,3.10-10 | 1,0.10-10 | 
| Hg-194 (inorganique) | F | 3,2.10-8 | 2,9.10-8 | 2,0.10-8 | 1,6.10-8 | 1,4.10-8 | 1,3.10-8 | 
| M | 2,1.10-8 | 1,9.10-8 | 1,3.10-8 | 1,0.10-8 | 8,9.10-9 | 8,3.10-9 | |
| Hg-194 (organique) | F | 4,9.10-8 | 3,7.10-8 | 2,4.10-8 | 1,9.10-8 | 1,5.10-8 | 1,4.10-8 | 
| Hg-195 (inorganique) | F | 2,7.10-10 | 2,0.10-10 | 9,5.10-11 | 5,7.10-11 | 3,1.10-11 | 2,5.10-11 | 
| M | 5,3.10-10 | 3,9.10-10 | 2,0.10-10 | 1,3.10-10 | 9,0.10-11 | 7,3.10-11 | |
| Hg-195 (organique) | F | 2,0.10-10 | 1,8.10-10 | 8,5.10-11 | 5,1.10-11 | 2,8.10-11 | 2,3.10-11 | 
| Hg-195m (inorganique) | F | 1,6.10-9 | 1,1.10-9 | 5,1.10-10 | 3,1.10-10 | 1,7.10-10 | 1,4.10-10 | 
| M | 3,7.10-9 | 2,6.10-9 | 1,4.10-9 | 8,5.10-10 | 6,7.10-10 | 5,3.10-10 | |
| Hg-195m (organique) | F | 1,1.10-9 | 9,7.10-10 | 4,4.10-10 | 2,7.10-10 | 1,4.10-10 | 1,2.10-10 | 
| Hg-197 (inorganique) | F | 6,8.10-10 | 4,7.10-10 | 2,1.10-10 | 1,3.10-10 | 6,8.10-11 | 5,6.10-11 | 
| M | 1,7.10-9 | 1,2.10-9 | 6,6.10-10 | 4,6.10-10 | 3,8.10-10 | 3,0.10-10 | |
| Hg-197 (organique) | F | 4,7.10-10 | 4,0.10-10 | 1,8.10-10 | 1,1.10-10 | 5,8.10-11 | 4,7.10-11 | 
| Hg-197m (inorganique) | F | 1,4.10-9 | 9,3.10-10 | 4,0.10-10 | 2,5.10-10 | 1,3.10-10 | 1,1.10-10 | 
| M | 3,5.10-9 | 2,5.10-9 | 1,1.10-9 | 8,2.10-10 | 6,7.10-10 | 5,3.10-10 | |
| Hg-197m (organique) | F | 9,3.10-10 | 7,8.10-10 | 3,4.10-10 | 2,1.10-10 | 1,1.10-10 | 9,6.10-11 | 
| Hg-199m (inorganique) | F | 1,4.10-10 | 9,6.10-11 | 4,2.10-11 | 2,7.10-11 | 1,7.10-11 | 1,5.10-11 | 
| M | 2,5.10-10 | 1,7.10-10 | 7,9.10-11 | 5,4.10-11 | 3,8.10-11 | 3,2.10-11 | |
| Hg-199m (organique) | F | 1,4.10-10 | 9,6.10-11 | 4,2.10-11 | 2,7.10-11 | 1,7.10-11 | 1,5.10-11 | 
| Hg-203 (inorganique) | F | 4,2.10-9 | 2,9.10-9 | 1,4.10-9 | 9,0.10-10 | 5,5.10-10 | 4,6.10-10 | 
| M | 1,0.10-8 | 7,9.10-9 | 4,7.10-9 | 3,4.10-9 | 3,0.10-9 | 2,4.10-9 | |
| Hg-203 (organique) | F | 5,7.10-9 | 3,7.10-9 | 1,7.10-9 | 1,1.10-9 | 6,6.10-10 | 5,6.10-10 | 
| Thallium | |||||||
| Tl-194 | F | 3,6.10-11 | 3,0.10-11 | 1,5.10-11 | 9,2.10-12 | 5,5.10-12 | 4,4.10-12 | 
| Tl-194m | F | 1,7.10-10 | 1,2.10-10 | 6,1.10-11 | 3,8.10-11 | 2,3.10-11 | 1,9.10-11 | 
| Tl-195 | F | 1,3.10-10 | 1,0.10-10 | 5,3.10-11 | 3,2.10-11 | 1,9.10-11 | 1,5.10-11 | 
| Tl-197 | F | 1,3.10-10 | 9,7.10-11 | 4,7.10-11 | 2,9.10-11 | 1,7.10-11 | 1,4.10-11 | 
| Tl-198 | F | 4,7.10-10 | 4,0.10-10 | 2,1.10-10 | 1,3.10-10 | 7,5.10-11 | 6,0.10-11 | 
| Tl-198m | F | 3,2.10-10 | 2,5.10-10 | 1,2.10-10 | 7,5.10-11 | 4,5.10-11 | 3,7.10-11 | 
| Tl-199 | F | 1,7.10-10 | 1,3.10-10 | 6,4.10-11 | 3,9.10-11 | 2,3.10-11 | 1,9.10-11 | 
| Tl-200 | F | 1,0.10-9 | 8,7.10-10 | 4,6.10-10 | 2,8.10-10 | 1,6.10-10 | 1,3.10-10 | 
| Tl-201 | F | 4,5.10-10 | 3,3.10-10 | 1,5.10-10 | 9,4.10-11 | 5,4.10-11 | 4,4.10-11 | 
| Tl-202 | F | 1,5.10-9 | 1,2.10-9 | 5,9.10-10 | 3,8.10-10 | 2,3.10-10 | 1,9.10-10 | 
| Tl-204 | F | 5,0.10-9 | 3,3.10-9 | 1,5.10-9 | 8,8.10-10 | 4,7.10-10 | 3,9.10-10 | 
| Plomb | |||||||
| Pb-195m | F | 1,3.10-10 | 1,0.10-10 | 4,9.10-11 | 3,1.10-11 | 1,9.10-11 | 1,6.10-11 | 
| M* | 2,0.10-10 | 1,5.10-10 | 7,1.10-11 | 4,6.10-11 | 3,1.10-11 | 2,5.10-11 | |
| S | 2,1.10-10 | 1,5.10-10 | 7,4.10-11 | 4,8.10-11 | 3,2.10-11 | 2,7.10-11 | |
| Pb-198 | F | 3,4.10-10 | 2,9.10-10 | 1,5.10-10 | 8,9.10-11 | 5,2.10-11 | 4,3.10-11 | 
| M* | 5,0.10-10 | 4,0.10-10 | 2,1.10-10 | 1,3.10-10 | 8,3.10-11 | 6,6.10-11 | |
| S | 5,4.10-10 | 4,2.10-10 | 2,2.10-10 | 1,4.10-10 | 8,7.10-11 | 7,0.10-11 | |
| Pb-199 | F | 1,9.10-10 | 1,6.10-10 | 8,2.10-11 | 4,9.10-11 | 2,9.10-11 | 2,3.10-11 | 
| M* | 2,8.10-10 | 2,2.10-10 | 1,1.10-10 | 7,1.10-11 | 4,5.10-11 | 3,6.10-11 | |
| S | 2,9.10-10 | 2,3.10-10 | 1,2.10-10 | 7,4.10-11 | 4,7.10-11 | 3,7.10-11 | |
| Pb-200 | F | 1,1.10-9 | 9,3.10-10 | 4,6.10-10 | 2,8.10-10 | 1,6.10-10 | 1,4.10-10 | 
| M* | 2,2.10-9 | 1,7.10-9 | 8,6.10-10 | 5,7.10-10 | 4,1.10-10 | 3,3.10-10 | |
| S | 2,4.10-9 | 1,8.10-9 | 9,2.10-10 | 6,2.10-10 | 4,4.10-10 | 3,5.10-10 | |
| Pb-201 | F | 4,8.10-10 | 4,1.10-10 | 2,0.10-10 | 1,2.10-10 | 7,1.10-11 | 6,0.10-11 | 
| M* | 8,0.10-10 | 6,4.10-10 | 3,3.10-10 | 2,1.10-10 | 1,4.10-10 | 1,1.10-10 | |
| S | 8,8.10-10 | 6,7.10-10 | 3,5.10-10 | 2,2.10-10 | 1,5.10-10 | 1,2.10-10 | |
| Pb-202 | F | 1,9.10-8 | 1,3.10-8 | 8,9.10-9 | 1,3.10-8 | 1,8.10-8 | 1,1.10-8 | 
| M* | 1,2.10-8 | 8,9.10-9 | 6,2.10-9 | 6,7.10-9 | 8,7.10-9 | 6,3.10-9 | |
| S | 2,8.10-8 | 2,8.10-8 | 2,0.10-8 | 1,4.10-8 | 1,3.10-8 | 1,2.10-8 | |
| Pb-202m | F | 4,7.10-10 | 4,0.10-10 | 2,1.10-10 | 1,3.10-10 | 7,5.10-11 | 6,2.10-11 | 
| M* | 6,9.10-10 | 5,6.10-10 | 2,9.10-10 | 1,9.10-10 | 1,2.10-10 | 9,5.10-11 | |
| S | 7,3.10-10 | 5,8.10-10 | 3,0.10-10 | 1,9.10-10 | 1,3.10-10 | 1,0.10-10 | |
| Pb-203 | F | 7,2.10-10 | 5,8.10-10 | 2,8.10-10 | 1,7.10-10 | 9,9.10-11 | 8,5.10-11 | 
| M* | 1,3.10-9 | 1,0.10-9 | 5,4.10-10 | 3,6.10-10 | 2,5.10-10 | 2,0.10-10 | |
| S | 1,5.10-9 | 1,1.10-9 | 5,8.10-10 | 3,8.10-10 | 2,8.10-10 | 2,2.10-10 | |
| Pb-205 | F | 1,1.10-9 | 6,9.10-10 | 4,0.10-10 | 4,1.10-10 | 4,3.10-10 | 3,3.10-10 | 
| M* | 1,1.10-9 | 7,7.10-10 | 4,3.10-10 | 3,2.10-10 | 2,9.10-10 | 2,5.10-10 | |
| S | 2,9.10-9 | 2,7.10-9 | 1,7.10-9 | 1,1.10-9 | 9,2.10-10 | 8,5.10-10 | |
| Pb-209 | F | 1,8.10-10 | 1,2.10-10 | 5,3.10-11 | 3,4.10-11 | 1,9.10-11 | 1,7.10-11 | 
| M* | 4,0.10-10 | 2,7.10-10 | 1,3.10-10 | 9,2.10-11 | 6,9.10-11 | 5,6.10-11 | |
| S | 4,4.10-10 | 2,9.10-10 | 1,4.10-10 | 9,9.10-11 | 7,5.10-11 | 6,1.10-11 | |
| Pb-210 | F | 4,7.10-6 | 2,9.10-6 | 1,5.10-6 | 1,4.10-6 | 1,3.10-6 | 9,0.10-7 | 
| M* | 5,0.10-6 | 3,7.10-6 | 2,2.10-6 | 1,5.10-6 | 1,3.10-6 | 1,1.10-6 | |
| S | 1,8.10-5 | 1,8.10-5 | 1,1.10-5 | 7,2.10-6 | 5,9.10-6 | 5,6.10-6 | |
| Pb-211 | F | 2,5.10-8 | 1,7.10-8 | 8,7.10-9 | 6,1.10-9 | 4,6.10-9 | 3,9.10-9 | 
| M* | 6,2.10-8 | 4,5.10-8 | 2,5.10-8 | 1,9.10-8 | 1,4.10-8 | 1,1.10-8 | |
| S | 6,6.10-8 | 4,8.10-8 | 2,7.10-8 | 2,0.10-8 | 1,5.10-8 | 1,2.10-8 | |
| Pb-212 | F | 1,9.10-7 | 1,2.10-7 | 5,4.10-8 | 3,5.10-8 | 2,0.10-8 | 1,8.10-8 | 
| M* | 6,2.10-7 | 4,6.10-7 | 3,0.10-7 | 2,2.10-7 | 2,2.10-7 | 1,7.10-7 | |
| S | 6,7.10-7 | 5,0.10-7 | 3,3.10-7 | 2,5.10-7 | 2,4.10-7 | 1,9.10-7 | |
| Pb-214 | F | 2,2.10-8 | 1,5.10-8 | 6,9.10-9 | 4,8.10-9 | 3,3.10-9 | 2,8.10-9 | 
| M* | 6,4.10-8 | 4,6.10-8 | 2,6.10-8 | 1,9.10-8 | 1,4.10-8 | 1,4.10-8 | |
| S | 6,9.10-8 | 5,0.10-8 | 2,8.10-8 | 2,1.10-8 | 1,5.10-8 | 1,5.10-8 | |
| Bismuth | |||||||
| Bi-200 | F | 1,9.10-10 | 1,5.10-10 | 7,4.10-11 | 4,5.10-11 | 2,7.10-11 | 2,2.10-11 | 
| M | 2,5.10-10 | 1,9.10-10 | 9,9.10-11 | 6,3.10-11 | 4,1.10-11 | 3,3.10-11 | |
| Bi-201 | F | 4,0.10-10 | 3,1.10-10 | 1,5.10-10 | 9,3.10-11 | 5,4.10-11 | 4,4.10-11 | 
| M | 5,5.10-10 | 4,1.10-10 | 2,0.10-10 | 1,3.10-10 | 8,3.10-11 | 6,6.10-11 | |
| Bi-202 | F | 3,4.10-10 | 2,8.10-10 | 1,5.10-10 | 9,0.10-11 | 5,3.10-11 | 4,3.10-11 | 
| M | 4,2.10-10 | 3,4.10-10 | 1,8.10-10 | 1,1.10-10 | 6,9.10-11 | 5,5.10-11 | |
| Bi-203 | F | 1,5.10-9 | 1,2.10-9 | 6,4.10-10 | 4,0.10-10 | 2,3.10-10 | 1,9.10-10 | 
| M | 2,0.10-9 | 1,6.10-9 | 8,2.10-10 | 5,3.10-10 | 3,3.10-10 | 2,6.10-10 | |
| Bi-205 | F | 3,0.10-9 | 2,4.10-9 | 1,3.10-9 | 8,0.10-10 | 4,7.10-10 | 3,8.10-10 | 
| M | 5,5.10-9 | 4,4.10-9 | 2,5.10-9 | 1,6.10-9 | 1,2.10-9 | 9,3.10-10 | |
| Bi-206 | F | 6,1.10-9 | 4,8.10-9 | 2,5.10-9 | 1,6.10-9 | 9,1.10-10 | 7,4.10-10 | 
| M | 1,0.10-8 | 8,0.10-9 | 4,4.10-9 | 2,9.10-9 | 2,1.10-9 | 1,7.10-9 | |
| Bi-207 | F | 4,3.10-9 | 3,3.10-9 | 1,7.10-9 | 1,0.10-9 | 6,0.10-10 | 4,9.10-10 | 
| M | 2,3.10-8 | 2,0.10-8 | 1,2.10-8 | 8,2.10-9 | 6,5.10-9 | 5,6.10-9 | |
| Bi-210 | F | 1,1.10-8 | 6,9.10-9 | 3,2.10-9 | 2,1.10-9 | 1,3.10-9 | 1,1.10-9 | 
| M | 3,9.10-7 | 3,0.10-7 | 1,9.10-7 | 1,3.10-7 | 1,1.10-7 | 9,3.10-8 | |
| Bi-210m | F | 4,1.10-7 | 2,6.10-7 | 1,3.10-7 | 8,3.10-8 | 5,6.10-8 | 4,6.10-8 | 
| M | 1,5.10-5 | 1,1.10-5 | 7,0.10-6 | 4,8.10-6 | 4,1.10-6 | 3,4.10-6 | |
| Bi-212 | F | 6,5.10-8 | 4,5.10-8 | 2,1.10-8 | 1,5.10-8 | 1,0.10-8 | 9,1.10-9 | 
| M | 1,6.10-7 | 1,1.10-7 | 6,0.10-8 | 4,4.10-8 | 3,8.10-8 | 3,1.10-8 | |
| Bi-213 | F | 7,7.10-8 | 5,3.10-8 | 2,5.10-8 | 1,7.10-8 | 1,2.10-8 | 1,0.10-8 | 
| M | 1,6.10-7 | 1,2.10-7 | 6,0.10-8 | 4,4.10-8 | 3,6.10-8 | 3,0.10-8 | |
| Bi-214 | F | 5,0.10-8 | 3,5.10-8 | 1,6.10-8 | 1,1.10-8 | 8,2.10-9 | 7,1.10-9 | 
| M | 8,7.10-8 | 6,1.10-8 | 3,1.10-8 | 2,2.10-8 | 1,7.10-8 | 1,4.10-8 | |
| Polonium | |||||||
| Po-203 | F | 1,9.10-10 | 1,5.10-10 | 7,7.10-11 | 4,7.10-11 | 2,8.10-11 | 2,3.10-11 | 
| M* | 2,7.10-10 | 2,1.10-10 | 1,1.10-10 | 6,7.10-11 | 4,3.10-11 | 3,5.10-11 | |
| S | 2,8.10-10 | 2,2.10-10 | 1,1.10-10 | 7,0.10-11 | 4,5.10-11 | 3,6.10-11 | |
| Po-205 | F | 2,6.10-10 | 2,1.10-10 | 1,1.10-10 | 6,6.10-11 | 4,1.10-11 | 3,3.10-11 | 
| M* | 4,0.10-10 | 3,1.10-10 | 1,7.10-10 | 1,1.10-10 | 8,1.10-11 | 6,5.10-11 | |
| S | 4,2.10-10 | 3,2.10-10 | 1,8.10-10 | 1,2.10-10 | 8,5.10-11 | 6,9.10-11 | |
| Po-207 | F | 4,8.10-10 | 4,0.10-10 | 2,1.10-10 | 1,3.10-10 | 7,3.10-11 | 5,8.10-11 | 
| M* | 6,2.10-10 | 5,1.10-10 | 2,6.10-10 | 1,6.10-10 | 9,9.10-11 | 7,8.10-11 | |
| S | 6,6.10-10 | 5,3.10-10 | 2,7.10-10 | 1,7.10-10 | 1,0.10-10 | 8,2.10-11 | |
| Po-210 | F | 7,4.10-6 | 4,8.10-6 | 2,2.10-6 | 1,3.10-6 | 7,7.10-7 | 6,1.10-7 | 
| M* | 1,5.10-5 | 1,1.10-5 | 6,7.10-6 | 4,6.10-6 | 4,0.10-6 | 3,3.10-6 | |
| S | 1,8.10-5 | 1,4.10-5 | 8,6.10-6 | 5,9.10-6 | 5,1.10-6 | 4,3.10-6 | |
| Astate | |||||||
| At-207 | F | 2,4.10-9 | 1,7.10-9 | 8,9.10-10 | 5,9.10-10 | 4,0.10-10 | 3,3.10-10 | 
| M | 9,2.10-9 | 6,7.10-9 | 4,3.10-9 | 3,1.10-9 | 2,9.10-9 | 2,3.10-9 | |
| At-211 | F | 1,4.10-7 | 9,7.10-8 | 4,3.10-8 | 2,8.10-8 | 1,7.10-8 | 1,6.10-8 | 
| M | 5,2.10-7 | 3,7.10-7 | 1,9.10-7 | 1,4.10-7 | 1,3.10-7 | 1,1.10-7 | |
| Francium | |||||||
| Fr-222 | F | 9,1.10-8 | 6,3.10-8 | 3,0.10-8 | 2,1.10-8 | 1,6.10-8 | 1,4.10-8 | 
| Fr-223 | F | 1,1.10-8 | 7,3.10-9 | 3,2.10-9 | 1,9.10-9 | 1,0.10-9 | 8,9.10-10 | 
| Radium | |||||||
| Ra-223 | F | 3,0.10-6 | 1,0.10-6 | 4,9.10-7 | 4,0.10-7 | 3,3.10-7 | 1,2.10-7 | 
| M* | 2,8.10-5 | 2,1.10-5 | 1,3.10-5 | 9,9.10-6 | 9,4.10-6 | 7,4.10-6 | |
| S | 3,2.10-5 | 2,4.10-5 | 1,5.10-5 | 1,1.10-5 | 1,1.10-5 | 8,7.10-6 | |
| Ra-224 | F | 1,5.10-6 | 6,0.10-7 | 2,9.10-7 | 2,2.10-7 | 1,7.10-7 | 7,5.10-8 | 
| M* | 1,1.10-5 | 8,2.10-6 | 5,3.10-6 | 3,9.10-6 | 3,7.10-6 | 3,0.10-6 | |
| S | 1,2.10-5 | 9,2.10-6 | 5,9.10-6 | 4,4.10-6 | 4,2.10-6 | 3,4.10-6 | |
| Ra-225 | F | 4,0.10-6 | 1,2.10-6 | 5,6.10-7 | 4,6.10-7 | 3,8.10-7 | 1,3.10-7 | 
| M* | 2,4.10-5 | 1,8.10-5 | 1,1.10-5 | 8,4.10-6 | 7,9.10-6 | 6,3.10-6 | |
| S | 2,8.10-5 | 2,2.10-5 | 1,4.10-5 | 1,0.10-5 | 9,8.10-6 | 7,7.10-6 | |
| Ra-226 | F | 2,6.10-6 | 9,4.10-7 | 5,5.10-7 | 7,2.10-7 | 1,3.10-6 | 3,6.10-7 | 
| M* | 1,5.10-5 | 1,1.10-5 | 7,0.10-6 | 4,9.10-6 | 4,5.10-6 | 3,5.10-6 | |
| S | 3,4.10-5 | 2,9.10-5 | 1,9.10-5 | 1,2.10-5 | 1,0.10-5 | 9,5.10-6 | |
| Ra-227 | F | 1,5.10-9 | 1,2.10-9 | 7,8.10-10 | 6,1.10-10 | 5,3.10-10 | 4,6.10-10 | 
| M* | 8,0.10-10 | 6,7.10-10 | 4,4.10-10 | 3,2.10-10 | 2,9.10-10 | 2,8.10-10 | |
| S | 1,0.10-9 | 8,5.10-10 | 4,4.10-10 | 2,9.10-10 | 2,4.10-10 | 2,2.10-10 | |
| Ra-228 | F | 1,7.10-5 | 5,7.10-6 | 3,1.10-6 | 3,6.10-6 | 4,6.10-6 | 9,0.10-7 | 
| M* | 1,5.10-5 | 1,0.10-5 | 6,3.10-6 | 4,6.10-6 | 4,4.10-6 | 2,6.10-6 | |
| S | 4,9.10-5 | 4,8.10-5 | 3,2.10-5 | 2,0.10-5 | 1,6.10-5 | 1,6.10-5 | |
| Actinium | |||||||
| Ac-224 | F | 1,3.10-7 | 8,9.10-8 | 4,7.10-8 | 3,1.10-8 | 1,4.10-8 | 1,1.10-8 | 
| M | 4,2.10-7 | 3,2.10-7 | 2,0.10-7 | 1,5.10-7 | 1,4.10-7 | 1,1.10-7 | |
| S | 4,6.10-7 | 3,5.10-7 | 2,2.10-7 | 1,7.10-7 | 1,6.10-7 | 1,3.10-7 | |
| Ac-225 | F | 1,1.10-5 | 7,7.10-6 | 4,0.10-6 | 2,6.10-6 | 1,1.10-6 | 8,8.10-7 | 
| M | 2,8.10-5 | 2,1.10-5 | 1,3.10-5 | 1,0.10-5 | 9,3.10-6 | 7,4.10-6 | |
| S | 3,1.10-5 | 2,3.10-5 | 1,5.10-5 | 1,1.10-5 | 1,1.10-5 | 8,5.10-6 | |
| Ac-226 | F | 1,5.10-6 | 1,1.10-6 | 4,0.10-7 | 2,6.10-7 | 1,2.10-7 | 9,6.10-8 | 
| M | 4,3.10-6 | 3,2.10-6 | 2,1.10-6 | 1,5.10-6 | 1,5.10-6 | 1,2.10-6 | |
| S | 4,7.10-6 | 3,5.10-6 | 2,3.10-6 | 1,7.10-6 | 1,6.10-6 | 1,3.10-6 | |
| Ac-227 | F | 1,7.10-3 | 1,6.10-3 | 1,0.10-3 | 7,2.10-4 | 5,6.10-4 | 5,5.10-4 | 
| M | 5,7.10-4 | 5,5.10-4 | 3,9.10-4 | 2,6.10-4 | 2,3.10-4 | 2,2.10-4 | |
| S | 2,2.10-4 | 2,0.10-4 | 1,3.10-4 | 8,7.10-5 | 7,6.10-5 | 7,2.10-5 | |
| Ac-228 | F | 1,8.10-7 | 1,6.10-7 | 9,7.10-8 | 5,7.10-8 | 2,9.10-8 | 2,5.10-8 | 
| M | 8,4.10-8 | 7,3.10-8 | 4,7.10-8 | 2,9.10-8 | 2,0.10-8 | 1,7.10-8 | |
| S | 6,4.10-8 | 5,3.10-8 | 3,3.10-8 | 2,2.10-8 | 1,9.10-8 | 1,6.10-8 | |
| Thorium | |||||||
| Th-226 | F | 1,4.10-7 | 1,0.10-7 | 4,8.10-8 | 3,4.10-8 | 2,5.10-8 | 2,2.10-8 | 
| M | 3,0.10-7 | 2,1.10-7 | 1,1.10-7 | 8,3.10-8 | 7,0.10-8 | 5,8.10-8 | |
| S* | 3,1.10-7 | 2,2.10-7 | 1,2.10-7 | 8,8.10-8 | 7,5.10-8 | 6,1.10-8 | |
| Th-227 | F | 8,4.10-6 | 5,2.10-6 | 2,6.10-6 | 1,6.10-6 | 1,0.10-6 | 6,7.10-7 | 
| M | 3,2.10-5 | 2,5.10-5 | 1,6.10-5 | 1,1.10-5 | 1,1.10-5 | 8,5.10-6 | |
| S* | 3,9.10-5 | 3,0.10-5 | 1,9.10-5 | 1,4.10-5 | 1,3.10-5 | 1,0.10-5 | |
| Th-228 | F | 1,8.10-4 | 1,5.10-4 | 8,3.10-5 | 5,2.10-5 | 3,5.10-5 | 3,0.10-5 | 
| M | 1,3.10-4 | 1,1.10-4 | 6,8.10-5 | 4,6.10-5 | 3,9.10-5 | 3,2.10-5 | |
| S* | 1,6.10-4 | 1,3.10-4 | 8,2.10-5 | 5,5.10-5 | 4,7.10-5 | 4,0.10-5 | |
| Th-229 | F | 5,4.10-4 | 5,1.10-4 | 3,6.10-4 | 2,9.10-4 | 2,4.10-4 | 2,4.10-4 | 
| M | 2,3.10-4 | 2,1.10-4 | 1,6.10-4 | 1,2.10-4 | 1,1.10-4 | 1,1.10-4 | |
| S* | 2,1.10-4 | 1,9.10-4 | 1,3.10-4 | 8,7.10-5 | 7,6.10-5 | 7,1.10-5 | |
| Th-230 | F | 2,1.10-4 | 2,0.10-4 | 1,4.10-4 | 1,1.10-4 | 9,9.10-5 | 1,0.10-4 | 
| M | 7,7.10-5 | 7,4.10-5 | 5,5.10-5 | 4,3.10-5 | 4,2.10-5 | 4,3.10-5 | |
| S* | 4,0.10-5 | 3,5.10-5 | 2,4.10-5 | 1,6.10-5 | 1,5.10-5 | 1,4.10-5 | |
| Th-231 | F | 1,1.10-9 | 7,2.10-10 | 2,6.10-10 | 1,6.10-10 | 9,2.10-11 | 7,8.10-11 | 
| M | 2,2.10-9 | 1,6.10-9 | 8,0.10-10 | 4,8.10-10 | 3,8.10-10 | 3,1.10-10 | |
| S* | 2,4.10-9 | 1,7.10-9 | 7,6.10-10 | 5,2.10-10 | 4,1.10-10 | 3,3.10-10 | |
| Th-232 | F | 2,3.10-4 | 2,2.10-4 | 1,6.10-4 | 1,3.10-4 | 1,2.10-4 | 1,1.10-4 | 
| M | 8,3.10-5 | 8,1.10-5 | 6,3.10-5 | 5,0.10-5 | 4,7.10-5 | 4,5.10-5 | |
| S* | 5,4.10-5 | 5,0.10-5 | 3,7.10-5 | 2,6.10-5 | 2,5.10-5 | 2,5.10-5 | |
| Th-234 | F | 4,0.10-8 | 2,5.10-8 | 1,1.10-8 | 6,1.10-9 | 3,5.10-9 | 2,5.10-9 | 
| M | 3,9.10-8 | 2,9.10-8 | 1,5.10-8 | 1,0.10-8 | 7,9.10-9 | 6,6.10-9 | |
| S* | 4,1.10-8 | 3,1.10-8 | 1,7.10-8 | 1,1.10-8 | 9,1.10-9 | 7,7.10-9 | |
| Protactinium | |||||||
| Pa-227 | M | 3,6.10-7 | 2,6.10-7 | 1,4.10-7 | 1,0.10-7 | 9,0.10-8 | 7,4.10-8 | 
| S | 3,8.10-7 | 2,8.10-7 | 1,5.10-7 | 1,1.10-7 | 8,1.10-8 | 8,0.10-8 | |
| Pa-228 | M | 2,6.10-7 | 2,1.10-7 | 1,3.10-7 | 8,8.10-8 | 7,7.10-8 | 6,4.10-8 | 
| S | 2,9.10-7 | 2,4.10-7 | 1,5.10-7 | 1,0.10-7 | 9,1.10-8 | 7,5.10-8 | |
| Pa-230 | M | 2,4.10-6 | 1,8.10-6 | 1,1.10-6 | 8,3.10-7 | 7,6.10-7 | 6,1.10-7 | 
| S | 2,9.10-6 | 2,2.10-6 | 1,4.10-6 | 1,0.10-6 | 9,6.10-7 | 7,6.10-7 | |
| Pa-231 | M | 2,2.10-4 | 2,3.10-4 | 1,9.10-4 | 1,5.10-4 | 1,5.10-4 | 1,4.10-4 | 
| S | 7,4.10-5 | 6,9.10-5 | 5,2.10-5 | 3,9.10-5 | 3,6.10-5 | 3,4.10-5 | |
| Pa-232 | M | 1,9.10-8 | 1,8.10-8 | 1,4.10-8 | 1,1.10-8 | 1,0.10-8 | 1,0.10-8 | 
| S | 1,0.10-8 | 8,7.10-9 | 5,9.10-9 | 4,1.10-9 | 3,7.10-9 | 3,5.10-9 | |
| Pa-233 | M | 1,5.10-8 | 1,1.10-8 | 6,5.10-9 | 4,7.10-9 | 4,1.10-9 | 3,3.10-9 | 
| S | 1,7.10-8 | 1,3.10-8 | 7,5.10-9 | 5,5.10-9 | 4,9.10-9 | 3,9.10-9 | |
| Pa-234 | M | 2,8.10-9 | 2,0.10-9 | 1,0.10-9 | 6,8.10-10 | 4,7.10-10 | 3,8.10-10 | 
| S | 2,9.10-9 | 2,1.10-9 | 1,1.10-9 | 7,1.10-10 | 5,0.10-10 | 4,0.10-10 | |
| Uranium | |||||||
| U-230 | F | 3,2.10-6 | 1,5.10-6 | 7,2.10-7 | 5,4.10-7 | 4,1.10-7 | 3,8.10-7 | 
| M* | 4,9.10-5 | 3,7.10-5 | 2,4.10-5 | 1,8.10-5 | 1,7.10-5 | 1,3.10-5 | |
| S | 5,8.10-5 | 4,4.10-5 | 2,8.10-5 | 2,1.10-5 | 2,0.10-5 | 1,6.10-5 | |
| U-231 | F | 1,0.10-9 | 6,8.10-10 | 3,2.10-10 | 1,5.10-10 | 1,0.10-10 | 6,4.10-11 | 
| M* | 2,5.10-9 | 2,0.10-9 | 1,0.10-9 | 6,9.10-10 | 5,7.10-10 | 4,7.10-10 | |
| S | 2,7.10-9 | 2,0.10-9 | 1,1.10-9 | 7,7.10-10 | 6,3.10-10 | 5,2.10-10 | |
| U-232 | F | 1,6.10-5 | 1,0.10-5 | 6,9.10-6 | 6,8.10-6 | 7,5.10-6 | 4,0.10-6 | 
| M* | 3,0.10-5 | 2,4.10-5 | 1,6.10-5 | 1,1.10-5 | 1,0.10-5 | 7,8.10-6 | |
| S | 1,0.10-4 | 9,7.10-5 | 6,6.10-5 | 4,3.10-5 | 3,8.10-5 | 3,7.10-5 | |
| U-233 | F | 2,2.10-6 | 1,4.10-6 | 9,4.10-7 | 8,4.10-7 | 8,6.10-7 | 5,8.10-7 | 
| M* | 1,5.10-5 | 1,1.10-5 | 7,2.10-6 | 4,9.10-6 | 4,3.10-6 | 3,6.10-6 | |
| S | 3,4.10-5 | 3,0.10-5 | 1,9.10-5 | 1,2.10-5 | 1,1.10-5 | 9,6.10-6 | |
| U-234 | F | 2,1.10-6 | 1,4.10-6 | 9,0.10-7 | 8,0.10-7 | 8,2.10-7 | 5,6.10-7 | 
| M* | 1,5.10-5 | 1,1.10-5 | 7,0.10-6 | 4,8.10-6 | 4,2.10-6 | 3,5.10-6 | |
| S | 3,3.10-5 | 2,9.10-5 | 1,9.10-5 | 1,2.10-5 | 1,0.10-5 | 9,4.10-6 | |
| U-235 | F | 2,0.10-6 | 1,3.10-6 | 8,5.10-7 | 7,5.10-7 | 7,7.10-7 | 5,2.10-7 | 
| M* | 1,3.10-5 | 1,0.10-5 | 6,3.10-6 | 4,3.10-6 | 3,7.10-6 | 3,1.10-6 | |
| S | 3,0.10-5 | 2,6.10-5 | 1,7.10-5 | 1,1.10-5 | 9,2.10-6 | 8,5.10-6 | |
| U-236 | F | 2,0.10-6 | 1,3.10-6 | 8,5.10-7 | 7,5.10-7 | 7,8.10-7 | 5,3.10-7 | 
| M* | 1,4.10-5 | 1,0.10-5 | 6,5.10-6 | 4,5.10-6 | 3,9.10-6 | 3,2.10-6 | |
| S | 3,1.10-5 | 2,7.10-5 | 1,8.10-5 | 1,1.10-5 | 9,5.10-6 | 8,7.10-6 | |
| U-237 | F | 1,8.10-9 | 1,5.10-9 | 6,6.10-10 | 4,2.10-10 | 1,9.10-10 | 1,8.10-10 | 
| M* | 7,8.10-9 | 5,7.10-9 | 3,3.10-9 | 2,4.10-9 | 2,1.10-9 | 1,7.10-9 | |
| S | 8,7.10-9 | 6,4.10-9 | 3,7.10-9 | 2,7.10-9 | 2,4.10-9 | 1,9.10-9 | |
| U-238 | F | 1,9.10-6 | 1,3.10-6 | 8,2.10-7 | 7,3.10-7 | 7,4.10-7 | 5,0.10-7 | 
| M* | 1,2.10-5 | 9,4.10-6 | 5,9.10-6 | 4,0.10-6 | 3,4.10-6 | 2,9.10-6 | |
| S | 2,9.10-5 | 2,5.10-5 | 1,6.10-5 | 1,0.10-5 | 8,7.10-6 | 8,0.10-6 | |
| U-239 | F | 1,0.10-10 | 6,6.10-11 | 2,9.10-11 | 1,9.10-11 | 1,2.10-11 | 1,0.10-11 | 
| M* | 1,8.10-10 | 1,2.10-10 | 5,6.10-11 | 3,8.10-11 | 2,7.10-11 | 2,2.10-11 | |
| S | 1,9.10-10 | 1,2.10-10 | 5,9.10-11 | 4,0.10-11 | 2,9.10-11 | 2,4.10-11 | |
| U-240 | F | 2,4.10-9 | 1,6.10-9 | 7,1.10-10 | 4,5.10-10 | 2,3.10-10 | 2,0.10-10 | 
| M* | 4,6.10-9 | 3,1.10-9 | 1,7.10-9 | 1,1.10-9 | 6,5.10-10 | 5,3.10-10 | |
| S | 4,9.10-9 | 3,3.10-9 | 1,6.10-9 | 1,1.10-9 | 7,0.10-10 | 5,8.10-10 | |
| Neptunium | |||||||
| Np-232 | F | 2,0.10-10 | 1,9.10-10 | 1,2.10-10 | 1,1.10-10 | 1,1.10-10 | 1,2.10-10 | 
| M* | 8,9.10-11 | 8,1.10-11 | 5,5.10-11 | 4,5.10-11 | 4,7.10-11 | 5,0.10-11 | |
| S | 1,2.10-10 | 9,7.10-11 | 5,8.10-11 | 3,9.10-11 | 2,5.10-11 | 2,4.10-11 | |
| Np-233 | F | 1,1.10-11 | 8,7.10-12 | 4,2.10-12 | 2,5.10-12 | 1,4.10-12 | 1,1.10-12 | 
| M* | 1,5.10-11 | 1,1.10-11 | 5,5.10-12 | 3,3.10-12 | 2,1.10-12 | 1,6.10-12 | |
| S | 1,5.10-11 | 1,2.10-11 | 5,7.10-12 | 3,4.10-12 | 2,1.10-12 | 1,7.10-12 | |
| Np-234 | F | 2,9.10-9 | 2,2.10-9 | 1,1.10-9 | 7,2.10-10 | 4,3.10-10 | 3,5.10-10 | 
| M* | 3,8.10-9 | 3,0.10-9 | 1,6.10-9 | 1,0.10-9 | 6,5.10-10 | 5,3.10-10 | |
| S | 3,9.10-9 | 3,1.10-9 | 1,6.10-9 | 1,0.10-9 | 6,8.10-10 | 5,5.10-10 | |
| Np-235 | F | 4,2.10-9 | 3,5.10-9 | 1,9.10-9 | 1,1.10-9 | 7,5.10-10 | 6,3.10-10 | 
| M* | 2,3.10-9 | 1,9.10-9 | 1,1.10-9 | 6,8.10-10 | 5,1.10-10 | 4,2.10-10 | |
| S | 2,6.10-9 | 2,2.10-9 | 1,3.10-9 | 8,3.10-10 | 6,3.10-10 | 5,2.10-10 | |
| Np-236 | F | 8,9.10-6 | 9,1.10-6 | 7,2.10-6 | 7,5.10-6 | 7,9.10-6 | 8,0.10-6 | 
| M* | 3,0.10-6 | 3,1.10-6 | 2,7.10-6 | 2,7.10-6 | 3,1.10-6 | 3,2.10-6 | |
| S | 1,6.10-6 | 1,6.10-6 | 1,3.10-6 | 1,0.10-6 | 1,0.10-6 | 1,0.10-6 | |
| Np-236m | F | 2,8.10-8 | 2,6.10-8 | 1,5.10-8 | 1,1.10-8 | 8,9.10-9 | 9,0.10-9 | 
| M* | 1,6.10-8 | 1,4.10-8 | 8,9.10-9 | 6,2.10-9 | 5,6.10-9 | 5,3.10-9 | |
| S | 1,6.10-8 | 1,3.10-8 | 8,5.10-9 | 5,7.10-9 | 4,8.10-9 | 4,2.10-9 | |
| Np-237 | F | 9,8.10-5 | 9,3.10-5 | 6,0.10-5 | 5,0.10-5 | 4,7.10-5 | 5,0.10-5 | 
| M* | 4,4.10-5 | 4,0.10-5 | 2,8.10-5 | 2,2.10-5 | 2,2.10-5 | 2,3.10-5 | |
| S | 3,7.10-5 | 3,2.10-5 | 2,1.10-5 | 1,4.10-5 | 1,3.10-5 | 1,2.10-5 | |
| Np-238 | F | 9,0.10-9 | 7,9.10-9 | 4,8.10-9 | 3,7.10-9 | 3,3.10-9 | 3,5.10-9 | 
| M* | 7,3.10-9 | 5,8.10-9 | 3,4.10-9 | 2,5.10-9 | 2,2.10-9 | 2,1.10-9 | |
| S | 8,1.10-9 | 6,2.10-9 | 3,2.10-9 | 2,1.10-9 | 1,7.10-9 | 1,5.10-9 | |
| Np-239 | F | 2,6.10-9 | 1,4.10-9 | 6,3.10-10 | 3,8.10-10 | 2,1.10-10 | 1,7.10-10 | 
| M* | 5,9.10-9 | 4,2.10-9 | 2,0.10-9 | 1,4.10-9 | 1,2.10-9 | 9,3.10-10 | |
| S | 5,6.10-9 | 4,0.10-9 | 2,2.10-9 | 1,6.10-9 | 1,3.10-9 | 1,0.10-9 | |
| Np-240 | F | 3,6.10-10 | 2,6.10-10 | 1,2.10-10 | 7,7.10-11 | 4,7.10-11 | 4,0.10-11 | 
| M* | 6,3.10-10 | 4,4.10-10 | 2,2.10-10 | 1,4.10-10 | 1,0.10-10 | 8,5.10-11 | |
| S | 6,5.10-10 | 4,6.10-10 | 2,3.10-10 | 1,5.10-10 | 1,1.10-10 | 9,0.10-11 | |
| Plutonium | |||||||
| Pu-234 | F | 3,0.10-8 | 2,0.10-8 | 9,8.10-9 | 5,7.10-9 | 3,6.10-9 | 3,0.10-9 | 
| M* | 7,8.10-8 | 5,9.10-8 | 3,7.10-8 | 2,8.10-8 | 2,6.10-8 | 2,1.10-8 | |
| S | 8,7.10-8 | 6,6.10-8 | 4,2.10-8 | 3,1.10-8 | 3,0.10-8 | 2,4.10-8 | |
| Pu-235 | F | 1,0.10-11 | 7,9.10-12 | 3,9.10-12 | 2,2.10-12 | 1,3.10-12 | 1,0.10-12 | 
| M* | 1,3.10-11 | 1,0.10-11 | 5,0.10-12 | 2,9.10-12 | 1,9.10-12 | 1,4.10-12 | |
| S | 1,3.10-11 | 1,0.10-11 | 5,1.10-12 | 3,0.10-12 | 1,9.10-12 | 1,5.10-12 | |
| Pu-236 | F | 1,0.10-4 | 9,5.10-5 | 6,1.10-5 | 4,4.10-5 | 3,7.10-5 | 4,0.10-5 | 
| M* | 4,8.10-5 | 4,3.10-5 | 2,9.10-5 | 2,1.10-5 | 1,9.10-5 | 2,0.10-5 | |
| S | 3,6.10-5 | 3,1.10-5 | 2,0.10-5 | 1,4.10-5 | 1,2.10-5 | 1,0.10-5 | |
| Pu-237 | F | 2,2.10-9 | 1,6.10-9 | 7,9.10-10 | 4,8.10-10 | 2,9.10-10 | 2,6.10-10 | 
| M* | 1,9.10-9 | 1,4.10-9 | 8,2.10-10 | 5,4.10-10 | 4,3.10-10 | 3,5.10-10 | |
| S | 2,0.10-9 | 1,5.10-9 | 8,8.10-10 | 5,9.10-10 | 4,8.10-10 | 3,9.10-10 | |
| Pu-238 | F | 2,0.10-4 | 1,9.10-4 | 1,4.10-4 | 1,1.10-4 | 1,0.10-4 | 1,1.10-4 | 
| M* | 7,8.10-5 | 7,4.10-5 | 5,6.10-5 | 4,4.10-5 | 4,3.10-5 | 4,6.10-5 | |
| S | 4,5.10-5 | 4,0.10-5 | 2,7.10-5 | 1,9.10-5 | 1,7.10-5 | 1,6.10-5 | |
| Pu-239 | F | 2,1.10-4 | 2,0.10-4 | 1,5.10-4 | 1,2.10-4 | 1,1.10-4 | 1,2.10-4 | 
| M* | 8,0.10-5 | 7,7.10-5 | 6,0.10-5 | 4,8.10-5 | 4,7.10-5 | 5,0.10-5 | |
| S | 4,3.10-5 | 3,9.10-5 | 2,7.10-5 | 1,9.10-5 | 1,7.10-5 | 1,6.10-5 | |
| Pu-240 | F | 2,1.10-4 | 2,0.10-4 | 1,5.10-4 | 1,2.10-4 | 1,1.10-4 | 1,2.10-4 | 
| M* | 8,0.10-5 | 7,7.10-5 | 6,0.10-5 | 4,8.10-5 | 4,7.10-5 | 5,0.10-5 | |
| S | 4,3.10-5 | 3,9.10-5 | 2,7.10-5 | 1,9.10-5 | 1,7.10-5 | 1,6.10-5 | |
| Pu-241 | F | 2,8.10-6 | 2,9.10-6 | 2,6.10-6 | 2,4.10-6 | 2,2.10-6 | 2,3.10-6 | 
| M* | 9,1.10-7 | 9,7.10-7 | 9,2.10-7 | 8,3.10-7 | 8,6.10-7 | 9,0.10-7 | |
| S | 2,2.10-7 | 2,3.10-7 | 2,0.10-7 | 1,7.10-7 | 1,7.10-7 | 1,7.10-7 | |
| Pu-242 | F | 2,0.10-4 | 1,9.10-4 | 1,4.10-4 | 1,2.10-4 | 1,1.10-4 | 1,1.10-4 | 
| M* | 7,6.10-5 | 7,3.10-5 | 5,7.10-5 | 4,5.10-5 | 4,5.10-5 | 4,8.10-5 | |
| S | 4,0.10-5 | 3,6.10-5 | 2,5.10-5 | 1,7.10-5 | 1,6.10-5 | 1,5.10-5 | |
| Pu-243 | F | 2,7.10-10 | 1,9.10-10 | 8,8.10-11 | 5,7.10-11 | 3,5.10-11 | 3,2.10-11 | 
| M* | 5,6.10-10 | 3,9.10-10 | 1,9.10-10 | 1,3.10-10 | 8,7.10-11 | 8,3.10-11 | |
| S | 6,0.10-10 | 4,1.10-10 | 2,0.10-10 | 1,4.10-10 | 9,2.10-11 | 8,6.10-11 | |
| Pu-244 | F | 2,0.10-4 | 1,9.10-4 | 1,4.10-4 | 1,2.10-4 | 1,1.10-4 | 1,1.10-4 | 
| M* | 7,4.10-5 | 7,2.10-5 | 5,6.10-5 | 4,5.10-5 | 4,4.10-5 | 4,7.10-5 | |
| S | 3,9.10-5 | 3,5.10-5 | 2,4.10-5 | 1,7.10-5 | 1,5.10-5 | 1,5.10-5 | |
| Pu-245 | F | 1,8.10-9 | 1,3.10-9 | 5,6.10-10 | 3,5.10-10 | 1,9.10-10 | 1,6.10-10 | 
| M* | 3,6.10-9 | 2,5.10-9 | 1,2.10-9 | 8,0.10-10 | 5,0.10-10 | 4,0.10-10 | |
| S | 3,8.10-9 | 2,6.10-9 | 1,3.10-9 | 8,5.10-10 | 5,4.10-10 | 4,3.10-10 | |
| Pu-246 | F | 2,0.10-8 | 1,4.10-8 | 7,0.10-9 | 4,4.10-9 | 2,8.10-9 | 2,5.10-9 | 
| M* | 3,5.10-8 | 2,6.10-8 | 1,5.10-8 | 1,1.10-8 | 9,1.10-9 | 7,4.10-9 | |
| S | 3,8.10-8 | 2,8.10-8 | 1,6.10-8 | 1,2.10-8 | 1,0.10-8 | 8,0.10-9 | |
| Américium | |||||||
| Am-237 | F | 9,8.10-11 | 7,3.10-11 | 3,5.10-11 | 2,2.10-11 | 1,3.10-11 | 1,1.10-11 | 
| M* | 1,7.10-10 | 1,2.10-10 | 6,2.10-11 | 4,1.10-11 | 3,0.10-11 | 2,5.10-11 | |
| S | 1,7.10-10 | 1,3.10-10 | 6,5.10-11 | 4,3.10-11 | 3,2.10-11 | 2,6.10-11 | |
| Am-238 | F | 4,1.10-10 | 3,8.10-10 | 2,5.10-10 | 2,0.10-10 | 1,8.10-10 | 1,9.10-10 | 
| M* | 3,1.10-10 | 2,6.10-10 | 1,3.10-10 | 9,6.10-11 | 8,8.10-11 | 9,0.10-11 | |
| S | 2,7.10-10 | 2,2.10-10 | 1,3.10-10 | 8,2.10-11 | 6,1.10-11 | 5,4.10-11 | |
| Am-239 | F | 8,1.10-10 | 5,8.10-10 | 2,6.10-10 | 1,6.10-10 | 9,1.10-11 | 7,6.10-11 | 
| M* | 1,5.10-9 | 1,1.10-9 | 5,6.10-10 | 3,7.10-10 | 2,7.10-10 | 2,2.10-10 | |
| S | 1,6.10-9 | 1,1.10-9 | 5,9.10-10 | 4,0.10-10 | 2,5.10-10 | 2,4.10-10 | |
| Am-240 | F | 2,0.10-9 | 1,7.10-9 | 8,8.10-10 | 5,7.10-10 | 3,6.10-10 | 2,3.10-10 | 
| M* | 2,9.10-9 | 2,2.10-9 | 1,2.10-9 | 7,7.10-10 | 5,3.10-10 | 4,3.10-10 | |
| S | 3,0.10-9 | 2,3.10-9 | 1,2.10-9 | 7,8.10-10 | 5,3.10-10 | 4,3.10-10 | |
| Am-241 | F | 1,8.10-4 | 1,8.10-4 | 1,2.10-4 | 1,0.10-4 | 9,2.10-5 | 9,6.10-5 | 
| M* | 7,3.10-5 | 6,9.10-5 | 5,1.10-5 | 4,0.10-5 | 4,0.10-5 | 4,2.10-5 | |
| S | 4,6.10-5 | 4,0.10-5 | 2,7.10-5 | 1,9.10-5 | 1,7.10-5 | 1,6.10-5 | |
| Am-242 | F | 9,2.10-8 | 7,1.10-8 | 3,5.10-8 | 2,1.10-8 | 1,4.10-8 | 1,1.10-8 | 
| M* | 7,6.10-8 | 5,9.10-8 | 3,6.10-8 | 2,4.10-8 | 2,1.10-8 | 1,7.10-8 | |
| S | 8,0.10-8 | 6,2.10-8 | 3,9.10-8 | 2,7.10-8 | 2,4.10-8 | 2,0.10-8 | |
| Am-242m | F | 1,6.10-4 | 1,5.10-4 | 1,1.10-4 | 9,4.10-5 | 8,8.10-5 | 9,2.10-5 | 
| M* | 5,2.10-5 | 5,3.10-5 | 4,1.10-5 | 3,4.10-5 | 3,5.10-5 | 3,7.10-5 | |
| S | 2,5.10-5 | 2,4.10-5 | 1,7.10-5 | 1,2.10-5 | 1,1.10-5 | 1,1.10-5 | |
| Am-243 | F | 1,8.10-4 | 1,7.10-4 | 1,2.10-4 | 1,0.10-4 | 9,1.10-5 | 9,6.10-5 | 
| M* | 7,2.10-5 | 6,8.10-5 | 5,0.10-5 | 4,0.10-5 | 4,0.10-5 | 4,1.10-5 | |
| S | 4,4.10-5 | 3,9.10-5 | 2,6.10-5 | 1,8.10-5 | 1,6.10-5 | 1,5.10-5 | |
| Am-244 | F | 1,0.10-8 | 9,2.10-9 | 5,6.10-9 | 4,1.10-9 | 3,5.10-9 | 3,7.10-9 | 
| M* | 6,0.10-9 | 5,0.10-9 | 3,2.10-9 | 2,2.10-9 | 2,0.10-9 | 2,0.10-9 | |
| S | 6,1.10-9 | 4,8.10-9 | 2,4.10-9 | 1,6.10-9 | 1,4.10-9 | 1,2.10-9 | |
| Am-244m | F | 4,6.10-10 | 4,0.10-10 | 2,4.10-10 | 1,8.10-10 | 1,5.10-10 | 1,6.10-10 | 
| M* | 3,3.10-10 | 2,1.10-10 | 1,3.10-10 | 9,2.10-11 | 8,3.10-11 | 8,4.10-11 | |
| S | 3,0.10-10 | 2,2.10-10 | 1,2.10-10 | 8,1.10-11 | 5,5.10-11 | 5,7.10-11 | |
| Am-245 | F | 2,1.10-10 | 1,4.10-10 | 6,2.10-11 | 4,0.10-11 | 2,4.10-11 | 2,1.10-11 | 
| M* | 3,9.10-10 | 2,6.10-10 | 1,3.10-10 | 8,7.10-11 | 6,4.10-11 | 5,3.10-11 | |
| S | 4,1.10-10 | 2,8.10-10 | 1,3.10-10 | 9,2.10-11 | 6,8.10-11 | 5,6.10-11 | |
| Am-246 | F | 3,0.10-10 | 2,0.10-10 | 9,3.10-11 | 6,1.10-11 | 3,8.10-11 | 3,3.10-11 | 
| M* | 5,0.10-10 | 3,4.10-10 | 1,6.10-10 | 1,1.10-10 | 7,9.10-11 | 6,6.10-11 | |
| S | 5,3.10-10 | 3,6.10-10 | 1,7.10-10 | 1,2.10-10 | 8,3.10-11 | 6,9.10-11 | |
| Am-246m | F | 1,3.10-10 | 8,9.10-11 | 4,2.10-11 | 2,6.10-11 | 1,6.10-11 | 1,4.10-11 | 
| M* | 1,9.10-10 | 1,3.10-10 | 6,1.10-11 | 4,0.10-11 | 2,6.10-11 | 2,2.10-11 | |
| S | 2,0.10-10 | 1,4.10-10 | 6,4.10-11 | 4,1.10-11 | 2,7.10-11 | 2,3.10-11 | |
| Curium | |||||||
| Cm-238 | F | 7,7.10-9 | 5,4.10-9 | 2,6.10-9 | 1,8.10-9 | 9,2.10-10 | 7,8.10-10 | 
| M* | 2,1.10-8 | 1,5.10-8 | 7,9.10-9 | 5,9.10-9 | 5,6.10-9 | 4,5.10-9 | |
| S | 2,2.10-8 | 1,6.10-8 | 8,6.10-9 | 6,4.10-9 | 6,1.10-9 | 4,9.10-9 | |
| Cm-240 | F | 8,3.10-6 | 6,3.10-6 | 3,2.10-6 | 2,0.10-6 | 1,5.10-6 | 1,3.10-6 | 
| M* | 1,2.10-5 | 9,1.10-6 | 5,8.10-6 | 4,2.10-6 | 3,8.10-6 | 3,2.10-6 | |
| S | 1,3.10-5 | 9,9.10-6 | 6,4.10-6 | 4,6.10-6 | 4,3.10-6 | 3,5.10-6 | |
| Cm-241 | F | 1,1.10-7 | 8,9.10-8 | 4,9.10-8 | 3,5.10-8 | 2,8.10-8 | 2,7.10-8 | 
| M* | 1,3.10-7 | 1,0.10-7 | 6,6.10-8 | 4,8.10-8 | 4,4.10-8 | 3,7.10-8 | |
| S | 1,4.10-7 | 1,1.10-7 | 6,9.10-8 | 4,9.10-8 | 4,5.10-8 | 3,7.10-8 | |
| Cm-242 | F | 2,7.10-5 | 2,1.10-5 | 1,0.10-5 | 6,1.10-6 | 4,0.10-6 | 3,3.10-6 | 
| M* | 2,2.10-5 | 1,8.10-5 | 1,1.10-5 | 7,3.10-6 | 6,4.10-6 | 5,2.10-6 | |
| S | 2,4.10-5 | 1,9.10-5 | 1,2.10-5 | 8,2.10-6 | 7,3.10-6 | 5,9.10-6 | |
| Cm-243 | F | 1,6.10-4 | 1,5.10-4 | 9,5.10-5 | 7,3.10-5 | 6,5.10-5 | 6,9.10-5 | 
| M* | 6,7.10-5 | 6,1.10-5 | 4,2.10-5 | 3,1.10-5 | 3,0.10-5 | 3,1.10-5 | |
| S | 4,6.10-5 | 4,0.10-5 | 2,6.10-5 | 1,8.10-5 | 1,6.10-5 | 1,5.10-5 | |
| Cm-244 | F | 1,5.10-4 | 1,3.10-4 | 8,3.10-5 | 6,1.10-5 | 5,3.10-5 | 5,7.10-5 | 
| M* | 6,2.10-5 | 5,7.10-5 | 3,7.10-5 | 2,7.10-5 | 2,6.10-5 | 2,7.10-5 | |
| S | 4,4.10-5 | 3,8.10-5 | 2,5.10-5 | 1,7.10-5 | 1,5.10-5 | 1,3.10-5 | |
| Cm-245 | F | 1,9.10-4 | 1,8.10-4 | 1,2.10-4 | 1,0.10-4 | 9,4.10-5 | 9,9.10-5 | 
| M* | 7,3.10-5 | 6,9.10-5 | 5,1.10-5 | 4,1.10-5 | 4,1.10-5 | 4,2.10-5 | |
| S | 4,5.10-5 | 4,0.10-5 | 2,7.10-5 | 1,9.10-5 | 1,7.10-5 | 1,6.10-5 | |
| Cm-246 | F | 1,9.10-4 | 1,8.10-4 | 1,2.10-4 | 1,0.10-4 | 9,4.10-5 | 9,8.10-5 | 
| M* | 7,3.10-5 | 6,9.10-5 | 5,1.10-5 | 4,1.10-5 | 4,1.10-5 | 4,2.10-5 | |
| S | 4,6.10-5 | 4,0.10-5 | 2,7.10-5 | 1,9.10-5 | 1,7.10-5 | 1,6.10-5 | |
| Cm-247 | F | 1,7.10-4 | 1,6.10-4 | 1,1.10-4 | 9,4.10-5 | 8,6.10-5 | 9,0.10-5 | 
| M* | 6,7.10-5 | 6,3.10-5 | 4,7.10-5 | 3,7.10-5 | 3,7.10-5 | 3,9.10-5 | |
| S | 4,1.10-5 | 3,6.10-5 | 2,4.10-5 | 1,7.10-5 | 1,5.10-5 | 1,4.10-5 | |
| Cm-248 | F | 6,8.10-4 | 6,5.10-4 | 4,5.10-4 | 3,7.10-4 | 3,4.10-4 | 3,6.10-4 | 
| M* | 2,5.10-4 | 2,4.10-4 | 1,8.10-4 | 1,4.10-4 | 1,4.10-4 | 1,5.10-4 | |
| S | 1,4.10-4 | 1,2.10-4 | 8,2.10-5 | 5,6.10-5 | 5,0.10-5 | 4,8.10-5 | |
| Cm-249 | F | 1,8.10-10 | 9,8.10-11 | 5,9.10-11 | 4,6.10-11 | 4,0.10-11 | 4,0.10-11 | 
| M* | 2,4.10-10 | 1,6.10-10 | 8,2.10-11 | 5,8.10-11 | 3,7.10-11 | 3,3.10-11 | |
| S | 2,4.10-10 | 1,6.10-10 | 7,8.10-11 | 5,3.10-11 | 3,9.10-11 | 3,3.10-11 | |
| Cm-250 | F | 3,9.10-3 | 3,7.10-3 | 2,6.10-3 | 2,1.10-3 | 2,0.10-3 | 2,1.10-3 | 
| M* | 1,4.10-3 | 1,3.10-3 | 9,9.10-4 | 7,9.10-4 | 7,9.10-4 | 8,4.10-4 | |
| S | 7,2.10-4 | 6,5.10-4 | 4,4.10-4 | 3,0.10-4 | 2,7.10-4 | 2,6.10-4 | |
| Berkélium | |||||||
| Bk-245 | M | 8,8.10-9 | 6,6.10-9 | 4,0.10-9 | 2,9.10-9 | 2,6.10-9 | 2,1.10-9 | 
| Bk-246 | M | 2,1.10-9 | 1,7.10-9 | 9,3.10-10 | 6,0.10-10 | 4,0.10-10 | 3,3.10-10 | 
| Bk-247 | M | 1,5.10-4 | 1,5.10-4 | 1,1.10-4 | 7,9.10-5 | 7,2.10-5 | 6,9.10-5 | 
| Bk-249 | M | 3,3.10-7 | 3,3.10-7 | 2,4.10-7 | 1,8.10-7 | 1,6.10-7 | 1,6.10-7 | 
| Bk-250 | M | 3,4.10-9 | 3,1.10-9 | 2,0.10-9 | 1,3.10-9 | 1,1.10-9 | 1,0.10-9 | 
| Californium | |||||||
| Cf-244 | M | 7,6.10-8 | 5,4.10-8 | 2,8.10-8 | 2,0.10-8 | 1,6.10-8 | 1,4.10-8 | 
| Cf-246 | M | 1,7.10-6 | 1,3.10-6 | 8,3.10-7 | 6,1.10-7 | 5,7.10-7 | 4,5.10-7 | 
| Cf-248 | M | 3,8.10-5 | 3,2.10-5 | 2,1.10-5 | 1,4.10-5 | 1,0.10-5 | 8,8.10-6 | 
| Cf-249 | M | 1,6.10-4 | 1,5.10-4 | 1,1.10-4 | 8,0.10-5 | 7,2.10-5 | 7,0.10-5 | 
| Cf-250 | M | 1,1.10-4 | 9,8.10-5 | 6,6.10-5 | 4,2.10-5 | 3,5.10-5 | 3,4.10-5 | 
| Cf-251 | M | 1,6.10-4 | 1,5.10-4 | 1,1.10-4 | 8,1.10-5 | 7,3.10-5 | 7,1.10-5 | 
| Cf-252 | M | 9,7.10-5 | 8,7.10-5 | 5,6.10-5 | 3,2.10-5 | 2,2.10-5 | 2,0.10-5 | 
| Cf-253 | M | 5,4.10-6 | 4,2.10-6 | 2,6.10-6 | 1,9.10-6 | 1,7.10-6 | 1,3.10-6 | 
| Cf-254 | M | 2,5.10-4 | 1,9.10-4 | 1,1.10-4 | 7,0.10-5 | 4,8.10-5 | 4,1.10-5 | 
| Einsteinium | |||||||
| Es-250m | M | 2,0.10-9 | 1,8.10-9 | 1,2.10-9 | 7,8.10-10 | 6,4.10-10 | 6,3.10-10 | 
| Es-251 | M | 7,9.10-9 | 6,0.10-9 | 3,9.10-9 | 2,8.10-9 | 2,6.10-9 | 2,1.10-9 | 
| Es-253 | M | 1,1.10-5 | 8,0.10-6 | 5,1.10-6 | 3,7.10-6 | 3,4.10-6 | 2,7.10-6 | 
| Es-254 | M | 3,7.10-5 | 3,1.10-5 | 2,0.10-5 | 1,3.10-5 | 1,0.10-5 | 8,6.10-6 | 
| Es-254m | M | 1,7.10-6 | 1,3.10-6 | 8,4.10-7 | 6,3.10-7 | 5,9.10-7 | 4,7.10-7 | 
| Fermium | |||||||
| Fm-252 | M | 1,2.10-6 | 9,0.10-7 | 5,8.10-7 | 4,3.10-7 | 4,0.10-7 | 3,2.10-7 | 
| Fm-253 | M | 1,5.10-6 | 1,2.10-6 | 7,3.10-7 | 5,4.10-7 | 5,0.10-7 | 4,0.10-7 | 
| Fm-254 | M | 3,2.10-7 | 2,3.10-7 | 1,3.10-7 | 9,8.10-8 | 7,6.10-8 | 6,1.10-8 | 
| Fm-255 | M | 1,2.10-6 | 7,3.10-7 | 4,7.10-7 | 3,5.10-7 | 3,4.10-7 | 2,7.10-7 | 
| Fm-257 | M | 3,3.10-5 | 2,6.10-5 | 1,6.10-5 | 1,1.10-5 | 8,8.10-6 | 7,1.10-6 | 
| Mendélévium | |||||||
| Md-257 | M | 1,0.10-7 | 8,2.10-8 | 5,1.10-8 | 3,6.10-8 | 3,1.10-8 | 2,5.10-8 | 
| Md-258 | M | 2,4.10-5 | 1,9.10-5 | 1,2.10-5 | 8,6.10-6 | 7,3.10-6 | 5,9.10-6 | 
Tableau 2.1. Doses efficaces engagées par unité d'activité incorporée par inhalation de gaz et vapeurs solubles ou réactifs, en Sv.Bq-1, applicables à la population ainsi qu'aux jeunes travailleurs jusqu'à 18 ans, d'après les données de la publication 119 de la CIPR
| Radionucléide | Age ≤ 1 an | 1-2 ans | 2-7 ans | 7-12 ans | 12-17 ans | > 17 ans | 
|---|---|---|---|---|---|---|
| h(g) (Sv.Bq-1) | h(g) (Sv.Bq-1) | h(g) (Sv.Bq-1) | h(g) (Sv.Bq-1) | h(g) (Sv.Bq-1) | h(g) (Sv.Bq-1) | |
| Tritium lié organiquement | 1,1.10-10 | 1,1.10-10 | 7,0.10-11 | 5,5.10-11 | 4,1.10-11 | 4,1.10-11 | 
| Tritium gazeux (formule chimique : HT) | 6,4.10-15 | 4,8.10-15 | 3,1.10-15 | 2,3.10-15 | 1,8.10-15 | 1,8.10-15 | 
| Méthane tritié | 6,4.10-13 | 4,8.10-13 | 3,1.10-13 | 2,3.10-13 | 1,8.10-13 | 1,8.10-13 | 
| Eau tritiée | 6,4.10-11 | 4,8.10-11 | 3,1.10-11 | 2,3.10-11 | 1,8.10-11 | 1,8.10-11 | 
| Dioxyde de carbone-11 | 1,8.10-11 | 1,2.10-11 | 6,5.10-12 | 4,1.10-12 | 2,5.10-12 | 2,2.10-12 | 
| Monoxyde de carbone-11 | 1,0.10-11 | 6,7.10-12 | 3,5.10-12 | 2,2.10-12 | 1,4.10-12 | 1,2.10-12 | 
| Méthane carbone 11 | 2,3.10-13 | 1,5.10-13 | 8,1.10-14 | 5,1.10-14 | 3,2.10-14 | 2,7.10-14 | 
| Vapeur de carbone-11 | 2,8.10-11 | 1,8.10-11 | 9,7.10-12 | 6,1.10-12 | 3,8.10-12 | 3,2.10-12 | 
| Dioxyde de carbone-14 | 1,9.10-11 | 1,9.10-11 | 1,1.10-11 | 8,9.10-12 | 6,3.10-12 | 6,2.10-12 | 
| Monoxyde de carbone-14 | 9,1.10-12 | 5,7.10-12 | 2,8.10-12 | 1,7.10-12 | 9,9.10-13 | 8,0.10-13 | 
| Méthane carbone 14 | 6,6.10-12 | 7,8.10-12 | 4,9.10-12 | 4,0.10-12 | 2,9.10-12 | 2,9.10-12 | 
| Vapeur de carbone-14 | 1,3.10-9 | 1,6.10-9 | 9,7.10-10 | 7,9.10-10 | 5,7.10-10 | 5,8.10-10 | 
| Dioxyde de soufre-35 | 9,4.10-10 | 6,6.10-10 | 3,4.10-10 | 2,1.10-10 | 1,3.10-10 | 1,1.10-10 | 
| Disulfure 35 de carbone | 6,9.10-9 | 4,8.10-9 | 2,4.10-9 | 1,4.10-9 | 8,6.10-10 | 7,0.10-10 | 
| Nickel-56 carbonyle | 6,8.10-9 | 5,2.10-9 | 3,2.10-9 | 2,1.10-9 | 1,4.10-9 | 1,2.10-9 | 
| Nickel-57 carbonyle | 3,1.10-9 | 2,3.10-9 | 1,4.10-9 | 9,2.10-10 | 6,5.10-10 | 5,6.10-10 | 
| Nickel-59 carbonyle | 4,0.10-9 | 3,3.10-9 | 2,0.10-9 | 1,3.10-9 | 9,1.10-10 | 8,3.10-10 | 
| Nickel-63 carbonyle | 9,5.10-9 | 8,0.10-9 | 4,8.10-9 | 3,0.10-9 | 2,2.10-9 | 2,0.10-9 | 
| Nickel-65 carbonyle | 2,0.10-9 | 1,4.10-9 | 8,1.10-10 | 5,6.10-10 | 4,0.10-10 | 3,6.10-10 | 
| Nickel-66 carbonyle | 1,0.10-8 | 7,1.10-9 | 4,0.10-9 | 2,7.10-9 | 1,8.10-9 | 1,6.10-9 | 
| Tetroxyde de ruthénium-94 | 5,5.10-10 | 3,5.10-10 | 1,8.10-10 | 1,1.10-10 | 7,0.10-11 | 5,6.10-11 | 
| Tetroxyde de ruthénium-97 | 8,7.10-10 | 6,2.10-10 | 3,4.10-10 | 2,2.10-10 | 1,4.10-10 | 1,2.10-10 | 
| Tetroxyde de ruthénium-103 | 9,0.10-9 | 6,2.10-9 | 3,3.10-9 | 2,1.10-9 | 1,3.10-9 | 1,1.10-9 | 
| Tetroxyde de ruthénium-105 | 1,6.10-9 | 1,0.10-9 | 5,3.10-10 | 3,2.10-10 | 2,2.10-10 | 1,8.10-10 | 
| Tetroxyde de ruthénium-106 | 1,6.10-7 | 1,1.10-7 | 6,1.10-8 | 3,7.10-8 | 2,2.10-8 | 1,8.10-8 | 
| Vapeur de tellure-116 | 5,9.10-10 | 4,4.10-10 | 2,5.10-10 | 1,6.10-10 | 1,1.10-10 | 8,7.10-11 | 
| Vapeur de tellure-121 | 3,0.10-9 | 2,4.10-9 | 1,4.10-9 | 9,6.10-10 | 6,7.10-10 | 5,1.10-10 | 
| Vapeur de tellure-121m | 3,5.10-8 | 2,7.10-8 | 1,6.10-8 | 9,8.10-9 | 6,6.10-9 | 5,5.10-9 | 
| Vapeur de tellure-123 | 2,8.10-8 | 2,5.10-8 | 1,9.10-8 | 1,5.10-8 | 1,3.10-8 | 1,2.10-8 | 
| Vapeur de tellure-123m | 2,5.10-8 | 1,8.10-8 | 1,0.10-8 | 5,7.10-9 | 3,5.10-9 | 2,9.10-9 | 
| Vapeur de tellure-125m | 1,5.10-8 | 1,1.10-8 | 5,9.10-9 | 3,2.10-9 | 1,9.10-9 | 1,5.10-9 | 
| Vapeur de tellure-127 | 6,1.10-10 | 4,4.10-10 | 2,3.10-10 | 1,4.10-10 | 9,2.10-11 | 7,7.10-11 | 
| Vapeur de tellure-127m | 5,3.10-8 | 3,7.10-8 | 1,9.10-8 | 1,0.10-8 | 6,1.10-9 | 4,6.10-9 | 
| Vapeur de tellure-129 | 2,5.10-10 | 1,7.10-10 | 9,4.10-11 | 6,2.10-11 | 4,3.10-11 | 3,7.10-11 | 
| Vapeur de tellure-129m | 4,8.10-8 | 3,2.10-8 | 1,6.10-8 | 8,5.10-9 | 5,1.10-9 | 3,7.10-9 | 
| Vapeur de tellure-131 | 5,1.10-10 | 4,5.10-10 | 2,6.10-10 | 1,4.10-10 | 9,5.10-11 | 6,8.10-11 | 
| Vapeur de tellure-131m | 2,1.10-8 | 1,9.10-8 | 1,1.10-8 | 5,6.10-9 | 3,7.10-9 | 2,4.10-9 | 
| Vapeur de tellure-132 | 5,4.10-8 | 4,5.10-8 | 2,4.10-8 | 1,2.10-8 | 7,6.10-9 | 5,1.10-9 | 
| Vapeur de tellure-133 | 5,5.10-10 | 4,7.10-10 | 2,5.10-10 | 1,2.10-10 | 8,1.10-11 | 5,6.10-11 | 
| Vapeur de tellure-133m | 2,3.10-9 | 2,0.10-9 | 1,1.10-9 | 5,0.10-10 | 3,3.10-10 | 2,2.10-10 | 
| Vapeur de tellure-134 | 6,8.10-10 | 5,5.10-10 | 3,0.10-10 | 1,6.10-10 | 1,1.10-10 | 8,4.10-11 | 
| Iodure de méthyl-120 | 2,3.10-9 | 1,9.10-9 | 1,0.10-9 | 4,8.10-10 | 3,1.10-10 | 2,0.10-10 | 
| Iode-120 élémentaire | 3,0.10-9 | 2,4.10-9 | 1,3.10-9 | 6,4.10-10 | 4,3.10-10 | 3,0.10-10 | 
| Iodure de méthyl-120m | 1,0.10-9 | 8,7.10-10 | 4,6.10-10 | 2,2.10-10 | 1,5.10-10 | 1,0.10-10 | 
| Iode-120m élémentaire | 1,5.10-9 | 1,2.10-9 | 6,4.10-10 | 3,4.10-10 | 2,3.10-10 | 1,8.10-10 | 
| Iodure de méthyl-121 | 4,2.10-10 | 3,8.10-10 | 2,2.10-10 | 1,2.10-10 | 8,3.10-11 | 5,6.10-11 | 
| Iode-121 élémentaire | 5,7.10-10 | 5,1.10-10 | 3,0.10-10 | 1,7.10-10 | 1,2.10-10 | 8,6.10-11 | 
| Iodure de méthyl-123 | 1,6.10-9 | 1,4.10-9 | 7,7.10-10 | 3,6.10-10 | 2,4.10-10 | 1,5.10-10 | 
| Iode-123 élémentaire | 2,1.10-9 | 1,8.10-9 | 1,0.10-9 | 4,7.10-10 | 3,2.10-10 | 2,1.10-10 | 
| Iodure de méthyl-124 | 8,5.10-8 | 8,0.10-8 | 4,5.10-8 | 2,2.10-8 | 1,4.10-8 | 9,2.10-9 | 
| Iode-124 élémentaire | 1,1.10-7 | 1,0.10-7 | 5,8.10-8 | 2,8.10-8 | 1,8.10-8 | 1,2.10-8 | 
| Iodure de méthyl-125 | 3,7.10-8 | 4,0.10-8 | 2,9.10-8 | 2,2.10-8 | 1,6.10-8 | 1,1.10-8 | 
| Iode-125 élémentaire | 4,7.10-8 | 5,2.10-8 | 3,7.10-8 | 2,8.10-8 | 2,0.10-8 | 1,4.10-8 | 
| Iodure de méthyl-126 | 1,5.10-7 | 1,5.10-7 | 9,0.10-8 | 4,8.10-8 | 3,2.10-8 | 2,0.10-8 | 
| Iode-126 élémentaire | 1,9.10-7 | 1,9.10-7 | 1,1.10-7 | 6,2.10-8 | 4,1.10-8 | 2,6.10-8 | 
| Iodure de méthyl-128 | 1,5.10-10 | 1,2.10-10 | 6,3.10-11 | 3,0.10-11 | 1,9.10-11 | 1,3.10-11 | 
| Iode-128 élémentaire | 4,2.10-10 | 2,8.10-10 | 1,6.10-10 | 1,0.10-10 | 7,5.10-11 | 6,5.10-11 | 
| Iodure de méthyl-129 | 1,3.10-7 | 1,5.10-7 | 1,2.10-7 | 1,3.10-7 | 9,9.10-8 | 7,4.10-8 | 
| Iode-129 élémentaire | 1,7.10-7 | 2,0.10-7 | 1,6.10-7 | 1,7.10-7 | 1,3.10-7 | 9,6.10-8 | 
| Iodure de méthyl-130 | 1,5.10-8 | 1,3.10-8 | 7,2.10-9 | 3,3.10-9 | 2,2.10-9 | 1,4.10-9 | 
| Iode-130 élémentaire | 1,9.10-8 | 1,7.10-8 | 9,2.10-9 | 4,3.10-9 | 2,8.10-9 | 1,9.10-9 | 
| Iodure de méthyl-131 | 1,3.10-7 | 1,3.10-7 | 7,4.10-8 | 3,7.10-8 | 2,4.10-8 | 1,5.10-8 | 
| Iode-131 élémentaire | 1,7.10-7 | 1,6.10-7 | 9,4.10-8 | 4,8.10-8 | 3,1.10-8 | 2,0.10-8 | 
| Iodure de méthyl-132 | 2,0.10-9 | 1,8.10-9 | 9,5.10-10 | 4,4.10-10 | 2,9.10-10 | 1,9.10-10 | 
| Iode-132 élémentaire | 2,8.10-9 | 2,3.10-9 | 1,3.10-9 | 6,4.10-10 | 4,3.10-10 | 3,1.10-10 | 
| Iodure de méthyl-132m | 1,8.10-9 | 1,6.10-9 | 8,3.10-10 | 3,9.10-10 | 2,5.10-10 | 1,6.10-10 | 
| Iode-132m élémentaire | 2,4.10-9 | 2,1.10-9 | 1,1.10-9 | 5,6.10-10 | 3,8.10-10 | 2,7.10-10 | 
| Iodure de méthyl-133 | 3,5.10-8 | 3,2.10-8 | 1,7.10-8 | 7,6.10-9 | 4,9.10-9 | 3,1.10-9 | 
| Iode-133 élémentaire | 4,5.10-8 | 4,1.10-8 | 2,1.10-8 | 9,7.10-9 | 6,3.10-9 | 4,0.10-9 | 
| Iodure de méthyl-134 | 5,1.10-10 | 4,3.10-10 | 2,3.10-10 | 1,1.10-10 | 7,4.10-11 | 5,0.10-11 | 
| Iode-134 élémentaire | 8,7.10-10 | 6,9.10-10 | 3,9.10-10 | 2,2.10-10 | 1,6.10-10 | 1,5.10-10 | 
| Iodure de méthyl-135 | 7,5.10-9 | 6,7.10-9 | 3,5.10-9 | 1,6.10-9 | 1,1.10-9 | 6,8.10-10 | 
| Iode-135 élémentaire | 9,7.10-9 | 8,5.10-9 | 4,5.10-9 | 2,1.10-9 | 1,4.10-9 | 9,2.10-10 | 
| Vapeur de mercure-193 | 4,2.10-9 | 3,4.10-9 | 2,2.10-9 | 1,6.10-9 | 1,2.10-9 | 1,1.10-9 | 
| Vapeur de mercure-193m | 1,2.10-8 | 9,4.10-9 | 6,1.10-9 | 4,5.10-9 | 3,4.10-9 | 3,1.10-9 | 
| Vapeur de mercure-194 | 9,4.10-8 | 8,3.10-8 | 6,2.10-8 | 5,0.10-8 | 4,3.10-8 | 4,0.10-8 | 
| Vapeur de mercure-195 | 5,3.10-9 | 4,3.10-9 | 2,8.10-9 | 2,1.10-9 | 1,6.10-9 | 1,4.10-9 | 
| Vapeur de mercure-195m | 3,0.10-8 | 2,5.10-8 | 1,6.10-8 | 1,2.10-8 | 8,8.10-9 | 8,2.10-9 | 
| Vapeur de mercure-197 | 1,6.10-8 | 1,3.10-8 | 8,4.10-9 | 6,3.10-9 | 4,7.10-9 | 4,4.10-9 | 
| Vapeur de mercure-197m | 2,1.10-8 | 1,7.10-8 | 1,1.10-8 | 8,2.10-9 | 6,2.10-9 | 5,8.10-9 | 
| Vapeur de mercure-199m | 6,5.10-10 | 5,3.10-10 | 3,4.10-10 | 2,5.10-10 | 1,9.10-10 | 1,8.10-10 | 
| Vapeur de mercure-203 | 3,0.10-8 | 2,3.10-8 | 1,5.10-8 | 1,0.10-8 | 7,7.10-9 | 7,0.10-9 | 
Tableau 2.2. - Coefficients de dose efficace, exprimés en dose efficace par jour d'exposition et par unité d'activité volumique dans l'air (Sv.j-1/Bq.m-3), applicables à la population et aux travailleurs exposés aux gaz inertes, d'après les données de la publication 119 de la CIPR
| Radionucléide | Coefficient de dose (Sv.j-1/Bq·m-3) | 
|---|---|
| Argon | |
| Ar-37 | 4,1.10-15 | 
| Ar-39 | 1,1.10-11 | 
| Ar-41 | 5,3.10-9 | 
| Krypton | |
| Kr-74 | 4,5.10-9 | 
| Kr-76 | 1,6.10-9 | 
| Kr-77 | 3,9.10-9 | 
| Kr-79 | 9,7.10-10 | 
| Kr-81 | 2,1.10-11 | 
| Kr-81m | 4,8.10-10 | 
| Kr-83m | 2,1.10-13 | 
| Kr-85 | 2,2.10-11 | 
| Kr-85m | 5,9.10-10 | 
| Kr-87 | 3,4.10-9 | 
| Kr-88 | 8,4.10-9 | 
| Xénon | |
| Xe-120 | 1,5.10-9 | 
| Xe-121 | 7,5.10-9 | 
| Xe-122 | 1,9.10-10 | 
| Xe-123 | 2,4.10-9 | 
| Xe-125 | 9,3.10-10 | 
| Xe-127 | 9,7.10-10 | 
| Xe-129m | 8,1.10-11 | 
| Xe-131m | 3,2.10-11 | 
| Xe-133 | 1,2.10-10 | 
| Xe-133m | 1,1.10-10 | 
| Xe-135 | 9,6.10-10 | 
| Xe-135m | 1,6.10-9 | 
| Xe-138 | 4,7.10-9 | 
Tableau 3.1. Doses efficaces engagées par unité d'activité incorporée par ingestion, en Sv.Bq-1, applicables aux travailleurs exposés, d'après les données des publications 134, 137, 141 et 151 de la CIPR
La mention « Composés non spécifiés » signifie qu'en l'absence d'information spécifique sur la forme chimique, le coefficient de dose indiqué sous cette mention peut être retenu par défaut.
| Radionucléide | Forme chimique | h(g) (Sv.Bq-1) | 
| Hydrogène | ||
| H-3 | Composés biogéniques | 5,1.10-11 | 
| Composés relativement insolubles | 2,0.10-12 | |
| Composés solubles | 1,9.10-11 | |
| Béryllium | ||
| Be-7 | Tous composés | 2,1.10-11 | 
| Be-10 | Tous composés | 4,4.10-10 | 
| Carbone | ||
| C-11 | Tous composés | 2,7.10-11 | 
| C-14 | Tous composés | 1,6.10-10 | 
| Fluor | ||
| F-18 | Tous composés | 4,8.10-11 | 
| Sodium | ||
| Na-22 | Tous composés | 3,5.10-9 | 
| Na-24 | Tous composés | 4,8.10-10 | 
| Magnésium | ||
| Mg-28 | Oxyde | 1,1.10-9 | 
| Autres composés et composés non spécifiés | 1,0.10-9 | |
| Aluminium | ||
| Al-26 | Composés insolubles: oxyde, hydroxyde, sulfate, métaux. Composés non spécifiés. | 1,2.10-9 | 
| Composés solubles | 1,3.10-9 | |
| Silicium | ||
| Si-31 | Dioxyde et silicate | 9,6.10-11 | 
| Acide orthosilicique | 9,8.10-11 | |
| Si-32 | Dioxyde et silicate | 3,8.10-11 | 
| Acide orthosilicique | 1,1.10-10 | |
| Phosphore | ||
| P-32 | Tous composés | 1,7.10-9 | 
| P-33 | Tous composés | 2,7.10-10 | 
| Soufre | ||
| S-35 | Soufre élémentaire et thiosulfate | 3,1.10-12 | 
| Autres composés organiques et inorganiques et composés non spécifiés | 2,7.10-11 | |
| S-38 | Soufre élémentaire et thiosulfate | 4,0.10-10 | 
| Autres composés organiques et inorganiques et composés non spécifiés | 3,9.10-10 | |
| Chlore | ||
| Cl-34m | Tous composés | 1,3.10-10 | 
| Cl-36 | Tous composés | 9,9.10-10 | 
| Cl-38 | Tous composés | 1,5.10-10 | 
| Cl-39 | Tous composés | 1,1.10-10 | 
| Potassium | ||
| K-40 | Tous composés | 3,2.10-9 | 
| K-42 | Tous composés | 4,2.10-10 | 
| K-43 | Tous composés | 2,1.10-10 | 
| K-44 | Tous composés | 1,0.10-10 | 
| K-45 | Tous composés | 6,1.10-11 | 
| Calcium | ||
| Ca-41 | Tous composés | 5,7.10-12 | 
| Ca-45 | Tous composés | 2,7.10-10 | 
| Ca-47 | Tous composés | 6,9.10-10 | 
| Scandium | ||
| Sc-43 | Tous composés | 1,3.10-10 | 
| Sc-44 | Tous composés | 2,3.10-10 | 
| Sc-44m | Tous composés | 8,2.10-10 | 
| Sc-46 | Tous composés | 7,6.10-10 | 
| Sc-47 | Tous composés | 6,6.10-11 | 
| Sc-48 | Tous composés | 8,9.10-10 | 
| Sc-49 | Tous composés | 8,9.10-11 | 
| Titane | ||
| Ti-44 | Tous composés | 2,2.10-9 | 
| Ti-45 | Tous composés | 9,9.10-11 | 
| Vanadium | ||
| V-47 | Autres composés | 7,4.10-11 | 
| Métavanadate de sodium | 7,4.10-11 | |
| V-48 | Autres composés | 1,1.10-9 | 
| Métavanadate de sodium | 1,4.10-9 | |
| V-49 | Autres composés | 3,2.10-13 | 
| Métavanadate de sodium | 5,7.10-12 | |
| V-50 | Autres composés | 5,2.10-10 | 
| Métavanadate de sodium | 1,2.10-9 | |
| Chrome | ||
| Cr-48 | Tous composés | 1,2.10-10 | 
| Cr-49 | Tous composés | 6,8.10-11 | 
| Cr-51 | Tous composés | 1,3.10-11 | 
| Manganèse | ||
| Mn-51 | Tous composés | 1,1.10-10 | 
| Mn-52 | Tous composés | 1,2.10-9 | 
| Mn-52m | Tous composés | 8,5.10-11 | 
| Mn-53 | Tous composés | 3,1.10-12 | 
| Mn-54 | Tous composés | 5,0.10-10 | 
| Mn-56 | Tous composés | 2,0.10-10 | 
| Fer | ||
| Fe-52 | Tous composés | 6,3.10-10 | 
| Fe-55 | Tous composés | 2,9.10-10 | 
| Fe-59 | Tous composés | 1,7.10-9 | 
| Fe-60 | Tous composés | 2,6.10-8 | 
| Cobalt | ||
| Co-55 | Oxydes insolubles | 4,9.10-10 | 
| Autres composés et composés non spécifiés | 4,9.10-10 | |
| Co-56 | Oxydes insolubles | 1,6.10-9 | 
| Autres composés et composés non spécifiés | 1,9.10-9 | |
| Co-57 | Oxydes insolubles | 8,8.10-11 | 
| Autres composés et composés non spécifiés | 1,2.10-10 | |
| Co-58 | Oxydes insolubles | 4,6.10-10 | 
| Autres composés et composés non spécifiés | 5,4.10-10 | |
| Co-58m | Oxydes insolubles | 2,2.10-12 | 
| Autres composés et composés non spécifiés | 2,6.10-12 | |
| Co-60 | Oxydes insolubles | 2,1.10-9 | 
| Autres composés et composés non spécifiés | 3,2.10-9 | |
| Co-60m | Oxydes insolubles | 8,4.10-14 | 
| Autres composés et composés non spécifiés | 8,4.10-14 | |
| Co-61 | Oxydes insolubles | 6,1.10-11 | 
| Autres composés et composés non spécifiés | 6,1.10-11 | |
| Co-62m | Oxydes insolubles | 6,0.10-11 | 
| Autres composés et composés non spécifiés | 6,0.10-11 | |
| Nickel | ||
| Ni-56 | Nickel métallique | 6,0.10-10 | 
| Composés solubles y compris les chlorures, sufates, sulfides. Composés non spécifiés | 6,0.10-10 | |
| Oxyde | 6,0.10-10 | |
| Ni-57 | Nickel métallique | 4,9.10-10 | 
| Composés solubles y compris les chlorures, sufates, sulfides. Composés non spécifiés | 4,9.10-10 | |
| Oxyde | 5,0.10-10 | |
| Ni-59 | Nickel métallique | 2,8.10-12 | 
| Composés solubles y compris les chlorures, sufates, sulfides. Composés non spécifiés | 1,1.10-11 | |
| Oxyde | 6,7.10-13 | |
| Ni-63 | Nickel métallique | 6,0.10-12 | 
| Composés solubles y compris les chlorures, sufates, sulfides. Composés non spécifiés | 3,0.10-11 | |
| Oxyde | 3,0.10-13 | |
| Ni-65 | Nickel métallique | 1,2.10-10 | 
| Composés solubles y compris les chlorures, sufates, sulfides. Composés non spécifiés | 1,2.10-10 | |
| Oxyde | 1,2.10-10 | |
| Ni-66 | Nickel métallique | 6,5.10-10 | 
| Composés solubles y compris les chlorures, sufates, sulfides. Composés non spécifiés | 6,4.10-10 | |
| Oxyde | 6,5.10-10 | |
| Cuivre | ||
| Cu-60 | Tous composés | 8,6.10-11 | 
| Cu-61 | Tous composés | 9,3.10-11 | 
| Cu-64 | Tous composés | 5,4.10-11 | 
| Cu-67 | Tous composés | 1,2.10-10 | 
| Zinc | ||
| Zn-62 | Tous composés | 5,4.10-10 | 
| Zn-63 | Tous composés | 9,5.10-11 | 
| Zn-65 | Tous composés | 4,3.10-9 | 
| Zn-69 | Tous composés | 2,9.10-11 | 
| Zn-69m | Tous composés | 1,4.10-10 | 
| Zn-71m | Tous composés | 1,9.10-10 | 
| Zn-72 | Tous composés | 9,8.10-10 | 
| Gallium | ||
| Ga-65 | Tous composés | 4,4.10-11 | 
| Ga-66 | Tous composés | 5,5.10-10 | 
| Ga-67 | Tous composés | 5,4.10-11 | 
| Ga-68 | Tous composés | 1,1.10-10 | 
| Ga-70 | Tous composés | 3,7.10-11 | 
| Ga-72 | Tous composés | 5,3.10-10 | 
| Ga-73 | Tous composés | 1,1.10-10 | 
| Germanium | ||
| Ge-66 | Tous composés | 9,6.10-11 | 
| Ge-67 | Tous composés | 7,6.10-11 | 
| Ge-68 | Tous composés | 2,9.10-10 | 
| Ge-69 | Tous composés | 9,8.10-11 | 
| Ge-71 | Tous composés | 1,5.10-12 | 
| Ge-75 | Tous composés | 5,4.10-11 | 
| Ge-77 | Tous composés | 2,2.10-10 | 
| Ge-78 | Tous composés | 1,2.10-10 | 
| Arsenic | ||
| As-69 | Composés insolubles dans l'eau, arsenic contenu dans le sol. | 6,5.10-11 | 
| Composés solubles dans l'eau | 6,5.10-11 | |
| As-70 | Composés insolubles dans l'eau, arsenic contenu dans le sol. | 1,5.10-10 | 
| Composés solubles dans l'eau | 1,5.10-10 | |
| As-71 | Composés insolubles dans l'eau, arsenic contenu dans le sol. | 2,1.10-10 | 
| Composés solubles dans l'eau | 1,8.10-10 | |
| As-72 | Composés insolubles dans l'eau, arsenic contenu dans le sol. | 8,2.10-10 | 
| Composés solubles dans l'eau | 6,3.10-10 | |
| As-73 | Composés insolubles dans l'eau, arsenic contenu dans le sol. | 4,1.10-11 | 
| Composés solubles dans l'eau | 1,1.10-10 | |
| As-74 | Composés insolubles dans l'eau, arsenic contenu dans le sol. | 5,0.10-10 | 
| Composés solubles dans l'eau | 6,6.10-10 | |
| As-76 | Composés insolubles dans l'eau, arsenic contenu dans le sol. | 5,7.10-10 | 
| Composés solubles dans l'eau | 4,9.10-10 | |
| As-77 | Composés insolubles dans l'eau, arsenic contenu dans le sol. | 7,0.10-11 | 
| Composés solubles dans l'eau | 9,7.10-11 | |
| As-78 | Composés insolubles dans l'eau, arsenic contenu dans le sol. | 2,0.10-10 | 
| Composés solubles dans l'eau | 2,0.10-10 | |
| Sélénium | ||
| Se-70 | Séléniure et sélénium élémentaire | 1,0.10-10 | 
| Autres composés | 1,0.10-10 | |
| Se-72 | Séléniure et sélénium élémentaire | 7,3.10-10 | 
| Autres composés | 3,5.10-9 | |
| Se-73 | Séléniure et sélénium élémentaire | 1,9.10-10 | 
| Autres composés | 1,8.10-10 | |
| Se-73m | Séléniure et sélénium élémentaire | 2,6.10-11 | 
| Autres composés | 2,7.10-11 | |
| Se-75 | Séléniure et sélénium élémentaire | 3,1.10-10 | 
| Autres composés | 2,5.10-09 | |
| Se-79 | Séléniure et sélénium élémentaire | 1,2.10-10 | 
| Autres composés | 1,9.10-9 | |
| Se-81 | Séléniure et sélénium élémentaire | 3,2.10-11 | 
| Autres composés | 3,2.10-11 | |
| Se-81m | Séléniure et sélénium élémentaire | 5,0.10-11 | 
| Autres composés | 5,2.10-11 | |
| Se-83 | Séléniure et sélénium élémentaire | 4,9.10-11 | 
| Autres composés | 4,9.10-11 | |
| Brome | ||
| Br-74 | Tous composés | 1,0.10-10 | 
| Br-74m | Tous composés | 1,7.10-10 | 
| Br-75 | Tous composés | 9,8.10-11 | 
| Br-76 | Tous composés | 4,5.10-10 | 
| Br-77 | Tous composés | 8,6.10-11 | 
| Br-80 | Tous composés | 3,9.10-11 | 
| Br-80m | Tous composés | 1,3.10-10 | 
| Br-82 | Tous composés | 4,9.10-10 | 
| Br-83 | Tous composés | 4,7.10-11 | 
| Br-84 | Tous composés | 1,1.10-10 | 
| Rubidium | ||
| Rb-78 | Tous composés | 8,7.10-11 | 
| Rb-79 | Tous composés | 6,0.10-11 | 
| Rb-81 | Tous composés | 5,2.10-11 | 
| Rb-81m | Tous composés | 5,4.10-12 | 
| Rb-82m | Tous composés | 1,5.10-10 | 
| Rb-83 | Tous composés | 1,6.10-9 | 
| Rb-84 | Tous composés | 2,4.10-9 | 
| Rb-84m | Tous composés | 6,6.10-12 | 
| Rb-86 | Tous composés | 1,7.10-9 | 
| Rb-87 | Tous composés | 8,7.10-10 | 
| Rb-88 | Tous composés | 1,1.10-10 | 
| Rb-89 | Tous composés | 5,4.10-11 | 
| Strontium | ||
| Sr-80 | Titanate de strontium | 3,6.10-10 | 
| Autres composés et composés non spécifiés | 3,6.10-10 | |
| Sr-81 | Titanate de strontium | 7,5.10-11 | 
| Autres composés et composés non spécifiés | 7,5.10-11 | |
| Sr-82 | Titanate de strontium | 1,6.10-9 | 
| Autres composés et composés non spécifiés | 2,4.10-9 | |
| Sr-83 | Titanate de strontium | 2,6.10-10 | 
| Autres composés et composés non spécifiés | 2,5.10-10 | |
| Sr-85 | Titanate de strontium | 2,1.10-10 | 
| Autres composés et composés non spécifiés | 3,8.10-10 | |
| Sr-85m | Titanate de strontium | 5,0.10-12 | 
| Autres composés et composés non spécifiés | 5,0.10-12 | |
| Sr-87m | Titanate de strontium | 2,3.10-11 | 
| Autres composés et composés non spécifiés | 2,3.10-11 | |
| Sr-89 | Titanate de strontium | 4,0.10-10 | 
| Autres composés et composés non spécifiés | 8,9.10-10 | |
| Sr-90 | Titanate de strontium | 1,1.10-9 | 
| Autres composés et composés non spécifiés | 2,4.10-8 | |
| Sr-91 | Titanate de strontium | 3,1.10-10 | 
| Autres composés et composés non spécifiés | 3,0.10-10 | |
| Sr-92 | Titanate de strontium | 1,8.10-10 | 
| Autres composés et composés non spécifiés | 1,7.10-10 | |
| Yttrium | ||
| Y-84m | Tous composés | 1,6.10-10 | 
| Y-85 | Tous composés | 1,3.10-10 | 
| Y-85m | Tous composés | 2,1.10-10 | 
| Y-86 | Tous composés | 6,0.10-10 | 
| Y-86m | Tous composés | 3,5.10-11 | 
| Y-87 | Tous composés | 2,6.10-10 | 
| Y-87m | Tous composés | 9,4.10-11 | 
| Y-88 | Tous composés | 9,1.10-10 | 
| Y-90 | Tous composés | 5,6.10-10 | 
| Y-90m | Tous composés | 5,8.10-11 | 
| Y-91 | Tous composés | 4,0.10-10 | 
| Y-91m | Tous composés | 1,1.10-11 | 
| Y-92 | Tous composés | 3,0.10-10 | 
| Y-93 | Tous composés | 3,9.10-10 | 
| Y-94 | Tous composés | 1,0.10-10 | 
| Y-95 | Tous composés | 5,2.10-11 | 
| Zirconium | ||
| Zr-86 | Tous composés | 4,6.10-10 | 
| Zr-87 | Tous composés | 1,5.10-10 | 
| Zr-88 | Tous composés | 2,2.10-10 | 
| Zr-89 | Tous composés | 4,0.10-10 | 
| Zr-93 | Tous composés | 5,0.10-11 | 
| Zr-95 | Tous composés | 3,2.10-10 | 
| Zr-97 | Tous composés | 6,3.10-10 | 
| Niobium | ||
| Nb-88 | Tous composés | 8,6.10-11 | 
| Nb-89 | Tous composés | 2,2.10-10 | 
| Nb-89m | Tous composés | 1,4.10-10 | 
| Nb-90 | Tous composés | 7,0.10-10 | 
| Nb-91 | Tous composés | 3,2.10-11 | 
| Nb-91m | Tous composés | 3,0.10-11 | 
| Nb-92 | Tous composés | 2,0.10-9 | 
| Nb-92m | Tous composés | 3,5.10-10 | 
| Nb-93m | Tous composés | 2,7.10-11 | 
| Nb-94 | Tous composés | 2,3.10-9 | 
| Nb-95 | Tous composés | 3,0.10-10 | 
| Nb-95m | Tous composés | 7,2.10-11 | 
| Nb-96 | Tous composés | 5,6.10-10 | 
| Nb-97 | Tous composés | 6,5.10-11 | 
| Nb-98m | Tous composés | 1,2.10-10 | 
| Molybdène | ||
| Mo-90 | Sulfide | 3,1.10-10 | 
| Autres composés et composés non spécifiés | 2,6.10-10 | |
| Mo-91 | Sulfide | 7,6.10-11 | 
| Autres composés et composés non spécifiés | 7,6.10-11 | |
| Mo-93 | Sulfide | 2,6.10-11 | 
| Autres composés et composés non spécifiés | 2,0.10-10 | |
| Mo-93m | Sulfide | 2,1.10-10 | 
| Autres composés et composés non spécifiés | 1,7.10-10 | |
| Mo-99 | Sulfide | 2,6.10-10 | 
| Autres composés et composés non spécifiés | 4,4.10-10 | |
| Mo-101 | Sulfide | 4,7.10-11 | 
| Autres composés et composés non spécifiés | 4,8.10-11 | |
| Mo-102 | Sulfide | 8,5.10-11 | 
| Autres composés et composés non spécifiés | 8,5.10-11 | |
| Technétium | ||
| Tc-93 | Tous composés | 6,0.10-11 | 
| Tc-93m | Tous composés | 3,0.10-11 | 
| Tc-94 | Tous composés | 1,6.10-10 | 
| Tc-94m | Tous composés | 1,2.10-10 | 
| Tc-95 | Tous composés | 1,4.10-10 | 
| Tc-95m | Tous composés | 4,5.10-10 | 
| Tc-96 | Tous composés | 8,9.10-10 | 
| Tc-96m | Tous composés | 8,5.10-12 | 
| Tc-97 | Tous composés | 4,4.10-11 | 
| Tc-97m | Tous composés | 2,2.10-10 | 
| Tc-98 | Tous composés | 1,7.10-9 | 
| Tc-99 | Tous composés | 2,7.10-10 | 
| Tc-99m | Tous composés | 1,4.10-11 | 
| Tc-101 | Tous composés | 2,2.10-11 | 
| Tc-104 | Tous composés | 1,0.10-10 | 
| Ruthénium | ||
| Ru-94 | Tous composés | 8,7.10-11 | 
| Ru-95 | Tous composés | 5,2.10-11 | 
| Ru-97 | Tous composés | 9,0.10-11 | 
| Ru-103 | Tous composés | 2,6.10-10 | 
| Ru-105 | Tous composés | 1,3.10-10 | 
| Ru-106 | Tous composés | 2,6.10-9 | 
| Rhodium | ||
| Rh-97 | Tous composés | 5,4.10-11 | 
| Rh-97m | Tous composés | 4,8.10-11 | 
| Rh-99 | Tous composés | 2,7.10-10 | 
| Rh-99m | Tous composés | 4,9.10-11 | 
| Rh-100 | Tous composés | 4,9.10-10 | 
| Rh-101 | Tous composés | 3,8.10-10 | 
| Rh-101m | Tous composés | 1,2.10-10 | 
| Rh-102 | Tous composés | 5,4.10-10 | 
| Rh-102m | Tous composés | 2,3.10-9 | 
| Rh-103m | Tous composés | 9,2.10-14 | 
| Rh-105 | Tous composés | 4,9.10-11 | 
| Rh-106m | Tous composés | 1,4.10-10 | 
| Rh-107 | Tous composés | 2,7.10-11 | 
| Palladium | ||
| Pd-98 | Tous composés | 7,4.10-11 | 
| Pd-99 | Tous composés | 3,9.10-11 | 
| Pd-100 | Tous composés | 4,8.10-10 | 
| Pd-101 | Tous composés | 5,6.10-11 | 
| Pd-103 | Tous composés | 2,5.10-11 | 
| Pd-107 | Tous composés | 7,4.10-13 | 
| Pd-109 | Tous composés | 1,0.10-10 | 
| Pd-111 | Tous composés | 5,5.10-11 | 
| Pd-112 | Tous composés | 5,5.10-10 | 
| Argent | ||
| Ag-101 | Tous composés | 3,8.10-11 | 
| Ag-102 | Tous composés | 5,0.10-11 | 
| Ag-103 | Tous composés | 3,6.10-11 | 
| Ag-104 | Tous composés | 6,0.10-11 | 
| Ag-104m | Tous composés | 7,8.10-11 | 
| Ag-105 | Tous composés | 3,5.10-10 | 
| Ag-106 | Tous composés | 3,8.10-11 | 
| Ag-106m | Tous composés | 1,1.10-9 | 
| Ag-108m | Tous composés | 1,6.10-9 | 
| Ag-110m | Tous composés | 2,3.10-9 | 
| Ag-111 | Tous composés | 2,1.10-10 | 
| Ag-112 | Tous composés | 2,8.10-10 | 
| Ag-113 | Tous composés | 1,8.10-10 | 
| Ag-115 | Tous composés | 6,7.10-11 | 
| Cadmium | ||
| Cd-104 | Tous composés | 8,1.10-11 | 
| Cd-105 | Tous composés | 4,2.10-11 | 
| Cd-107 | Tous composés | 9,1.10-12 | 
| Cd-109 | Tous composés | 1,0.10-9 | 
| Cd-111m | Tous composés | 7,4.10-12 | 
| Cd-113 | Tous composés | 1,2.10-8 | 
| Cd-113m | Tous composés | 1,1.10-8 | 
| Cd-115 | Tous composés | 2,7.10-10 | 
| Cd-115m | Tous composés | 9,9.10-10 | 
| Cd-117 | Tous composés | 1,5.10-10 | 
| Cd-117m | Tous composés | 1,7.10-10 | 
| Cd-118 | Tous composés | 2,1.10-10 | 
| Indium | ||
| In-107 | Tous composés | 4,1.10-11 | 
| In-108 | Tous composés | 7,9.10-11 | 
| In-108m | Tous composés | 9,2.10-11 | 
| In-109 | Tous composés | 4,3.10-11 | 
| In-110 | Tous composés | 2,1.10-10 | 
| In-110m | Tous composés | 1,1.10-10 | 
| In-111 | Tous composés | 1,5.10-10 | 
| In-112 | Tous composés | 1,1.10-11 | 
| In-112m | Tous composés | 1,3.10-11 | 
| In-113m | Tous composés | 2,3.10-11 | 
| In-114m | Tous composés | 6,6.10-10 | 
| In-115 | Tous composés | 5,7.10-10 | 
| In-115m | Tous composés | 3,7.10-11 | 
| In-116m | Tous composés | 6,2.10-11 | 
| In-117 | Tous composés | 2,7.10-11 | 
| In-117m | Tous composés | 7,9.10-11 | 
| In-119m | Tous composés | 5,7.10-11 | 
| Étain | ||
| Sn-108 | Tous composés | 2,4.10-11 | 
| Sn-109 | Tous composés | 1,9.10-11 | 
| Sn-110 | Tous composés | 1,8.10-10 | 
| Sn-111 | Tous composés | 2,2.10-11 | 
| Sn-113 | Tous composés | 2,4.10-10 | 
| Sn-113m | Tous composés | 3,7.10-13 | 
| Sn-117m | Tous composés | 9,3.10-11 | 
| Sn-119m | Tous composés | 5,3.10-11 | 
| Sn-121 | Tous composés | 1,1.10-11 | 
| Sn-121m | Tous composés | 1,2.10-10 | 
| Sn-123 | Tous composés | 4,6.10-10 | 
| Sn-123m | Tous composés | 4,0.10-11 | 
| Sn-125 | Tous composés | 6,9.10-10 | 
| Sn-126 | Tous composés | 2,6.10-9 | 
| Sn-127 | Tous composés | 1,4.10-10 | 
| Sn-128 | Tous composés | 1,5.10-10 | 
| Antimoine | ||
| Sb-115 | Tous composés | 2,7.10-11 | 
| Sb-116 | Tous composés | 3,6.10-11 | 
| Sb-116m | Tous composés | 6,1.10-11 | 
| Sb-117 | Tous composés | 1,1.10-11 | 
| Sb-118m | Tous composés | 1,7.10-10 | 
| Sb-119 | Tous composés | 2,2.10-11 | 
| Sb-120 | Tous composés | 1,7.10-11 | 
| Sb-120m | Tous composés | 8,4.10-10 | 
| Sb-122 | Tous composés | 4,5.10-10 | 
| Sb-124 | Tous composés | 1,1.10-9 | 
| Sb-124n | Tous composés | 8,6.10-12 | 
| Sb-125 | Tous composés | 3,7.10-10 | 
| Sb-126 | Tous composés | 1,3.10-9 | 
| Sb-126m | Tous composés | 4,5.10-11 | 
| Sb-127 | Tous composés | 4,2.10-10 | 
| Sb-128 | Tous composés | 4,7.10-10 | 
| Sb-128m | Tous composés | 4,1.10-11 | 
| Sb-129 | Tous composés | 2,0.10-10 | 
| Sb-130 | Tous composés | 1,0.10-10 | 
| Sb-131 | Tous composés | 1,1.10-10 | 
| Tellure | ||
| Te-114 | Tous composés | 7,8.10-11 | 
| Te-116 | Tous composés | 1,5.10-10 | 
| Te-117 | Tous composés | 5,3.10-11 | 
| Te-118 | Tous composés | 1,2.10-9 | 
| Te-119 | Tous composés | 1,3.10-10 | 
| Te-119m | Tous composés | 5,3.10-10 | 
| Te-121 | Tous composés | 3,2.10-10 | 
| Te-121m | Tous composés | 4,3.10-10 | 
| Te-123 | Tous composés | 5,3.10-12 | 
| Te-123m | Tous composés | 2,6.10-10 | 
| Te-125m | Tous composés | 1,9.10-10 | 
| Te-127 | Tous composés | 4,6.10-11 | 
| Te-127m | Tous composés | 4,5.10-10 | 
| Te-129 | Tous composés | 6,1.10-11 | 
| Te-129m | Tous composés | 8,9.10-10 | 
| Te-131 | Tous composés | 8,3.10-11 | 
| Te-131m | Tous composés | 1,1.10-9 | 
| Te-132 | Tous composés | 1,9.10-9 | 
| Te-133 | Tous composés | 6,3.10-11 | 
| Te-133m | Tous composés | 2,0.10-10 | 
| Te-134 | Tous composés | 9,7.10-11 | 
| Iode | ||
| I-118 | Tous composés | 1,0.10-10 | 
| I-119 | Tous composés | 3,9.10-11 | 
| I-120 | Tous composés | 3,0.10-10 | 
| I-120m | Tous composés | 1,8.10-10 | 
| I-121 | Tous composés | 4,4.10-11 | 
| I-123 | Tous composés | 1,8.10-10 | 
| I-124 | Tous composés | 8,6.10-9 | 
| I-125 | Tous composés | 1,3.10-8 | 
| I-126 | Tous composés | 2,1.10-8 | 
| I-128 | Tous composés | 5,7.10-11 | 
| I-129 | Tous composés | 9,4.10-8 | 
| I-130 | Tous composés | 1,5.10-9 | 
| I-131 | Tous composés | 1,6.10-8 | 
| I-132 | Tous composés | 2,8.10-10 | 
| I-132m | Tous composés | 1,9.10-10 | 
| I-133 | Tous composés | 3,1.10-9 | 
| I-134 | Tous composés | 1,2.10-10 | 
| I-135 | Tous composés | 7,6.10-10 | 
| Césium | ||
| Cs-125 | Composés relativement insolubles | 4,4.10-11 | 
| Chlorures, nitrates, sulfates, autres composés et composés non spécifiés | 4,6.10-11 | |
| Cs-127 | Composés relativement insolubles | 4,4.10-11 | 
| Chlorures, nitrates, sulfates, autres composés et composés non spécifiés | 3,6.10-11 | |
| Cs-129 | Composés relativement insolubles | 8,7.10-11 | 
| Chlorures, nitrates, sulfates, autres composés et composés non spécifiés | 7,6.10-11 | |
| Cs-130 | Composés relativement insolubles | 3,4.10-11 | 
| Chlorures, nitrates, sulfates, autres composés et composés non spécifiés | 3,5.10-11 | |
| Cs-131 | Composés relativement insolubles | 2,8.10-11 | 
| Chlorures, nitrates, sulfates, autres composés et composés non spécifiés | 5,2.10-11 | |
| Cs-132 | Composés relativement insolubles | 2,9.10-10 | 
| Chlorures, nitrates, sulfates, autres composés et composés non spécifiés | 5,1.10-10 | |
| Cs-134 | Composés relativement insolubles | 2,0.10-9 | 
| Chlorures, nitrates, sulfates, autres composés et composés non spécifiés | 1,4.10-8 | |
| Cs-134m | Composés relativement insolubles | 5,7.10-12 | 
| Chlorures, nitrates, sulfates, autres composés et composés non spécifiés | 1,5.10-11 | |
| Cs-135 | Composés relativement insolubles | 1,3.10-10 | 
| Chlorures, nitrates, sulfates, autres composés et composés non spécifiés | 1,3.10-9 | |
| Cs-135m | Composés relativement insolubles | 2,8.10-11 | 
| Chlorures, nitrates, sulfates, autres composés et composés non spécifiés | 2,7.10-11 | |
| Cs-136 | Composés relativement insolubles | 9,7.10-10 | 
| Chlorures, nitrates, sulfates, autres composés et composés non spécifiés | 2,7.10-9 | |
| Cs-137 | Composés relativement insolubles | 1,6.10-9 | 
| Chlorures, nitrates, sulfates, autres composés et composés non spécifiés | 1,4.10-8 | |
| Cs-138 | Composés relativement insolubles | 1,2.10-10 | 
| Chlorures, nitrates, sulfates, autres composés et composés non spécifiés | 1,3.10-10 | |
| Baryum | ||
| Ba-124 | Composés insolubles: sulfate, titanate | 8,5.10-11 | 
| Composés solubles | 8,5.10-11 | |
| Ba-126 | Composés insolubles: sulfate, titanate | 2,4.10-10 | 
| Composés solubles | 2,4.10-10 | |
| Ba-127 | Composés insolubles: sulfate, titanate | 2,8.10-11 | 
| Composés solubles | 2,8.10-11 | |
| Ba-128 | Composés insolubles: sulfate, titanate | 8,7.10-10 | 
| Composés solubles | 8,8.10-10 | |
| Ba-129 | Composés insolubles: sulfate, titanate | 3,5.10-11 | 
| Composés solubles | 3,5.10-11 | |
| Ba-129m | Composés insolubles: sulfate, titanate | 5,9.10-11 | 
| Composés solubles | 5,8.10-11 | |
| Ba-131 | Composés insolubles: sulfate, titanate | 2,1.10-10 | 
| Composés solubles | 2,2.10-10 | |
| Ba-131m | Composés insolubles: sulfate, titanate | 8,2.10-13 | 
| Composés solubles | 8,3.10-13 | |
| Ba-133 | Composés insolubles: sulfate, titanate | 2,0.10-10 | 
| Composés solubles | 1,0.10-9 | |
| Ba-133m | Composés insolubles: sulfate, titanate | 6,4.10-11 | 
| Composés solubles | 6,9.10-11 | |
| Ba-135m | Composés insolubles: sulfate, titanate | 5,5.10-11 | 
| Composés solubles | 5,9.10-11 | |
| Ba-139 | Composés insolubles: sulfate, titanate | 1,2.10-10 | 
| Composés solubles | 1,2.10-10 | |
| Ba-140 | Composés insolubles: sulfate, titanate | 5,3.10-10 | 
| Composés solubles | 7,1.10-10 | |
| Ba-141 | Composés insolubles: sulfate, titanate | 6,9.10-11 | 
| Composés solubles | 6,9.10-11 | |
| Ba-142 | Composés insolubles: sulfate, titanate | 3,3.10-11 | 
| Composés solubles | 3,3.10-11 | |
| Lanthane | ||
| La-129 | Tous composés | 3,0.10-11 | 
| La-131 | Tous composés | 3,2.10-11 | 
| La-132 | Tous composés | 2,5.10-10 | 
| La-132m | Tous composés | 2,3.10-11 | 
| La-133 | Tous composés | 1,7.10-11 | 
| La-135 | Tous composés | 1,6.10-11 | 
| La-137 | Tous composés | 5,1.10-11 | 
| La-138 | Tous composés | 9,9.10-10 | 
| La-140 | Tous composés | 7,9.10-10 | 
| La-141 | Tous composés | 2,0.10-10 | 
| La-142 | Tous composés | 1,6.10-10 | 
| La-143 | Tous composés | 6,1.10-11 | 
| Cérium | ||
| Ce-130 | Tous composés | 8,2.10-11 | 
| Ce-131 | Tous composés | 3,1.10-11 | 
| Ce-132 | Tous composés | 1,4.10-10 | 
| Ce-133 | Tous composés | 6,6.10-11 | 
| Ce-133m | Tous composés | 1,4.10-10 | 
| Ce-134 | Tous composés | 7,3.10-10 | 
| Ce-135 | Tous composés | 1,7.10-10 | 
| Ce-137 | Tous composés | 9,4.10-12 | 
| Ce-137m | Tous composés | 6,9.10-11 | 
| Ce-139 | Tous composés | 8,8.10-11 | 
| Ce-141 | Tous composés | 6,2.10-11 | 
| Ce-143 | Tous composés | 2,4.10-10 | 
| Ce-144 | Tous composés | 9,8.10-10 | 
| Praséodyme | ||
| Pr-134 | Tous composés | 5,4.10-11 | 
| Pr-134m | Tous composés | 9,4.10-11 | 
| Pr-135 | Tous composés | 4,7.10-11 | 
| Pr-136 | Tous composés | 4,1.10-11 | 
| Pr-137 | Tous composés | 3,3.10-11 | 
| Pr-138m | Tous composés | 1,1.10-10 | 
| Pr-139 | Tous composés | 1,8.10-11 | 
| Pr-142 | Tous composés | 3,4.10-10 | 
| Pr-142m | Tous composés | 3,9.10-12 | 
| Pr-143 | Tous composés | 1,4.10-10 | 
| Pr-144 | Tous composés | 6,3.10-11 | 
| Pr-145 | Tous composés | 1,6.10-10 | 
| Pr-146 | Tous composés | 9,5.10-11 | 
| Pr-147 | Tous composés | 3,8.10-11 | 
| Néodyme | ||
| Nd-135 | Tous composés | 6,6.10-11 | 
| Nd-136 | Tous composés | 9,8.10-11 | 
| Nd-137 | Tous composés | 5,1.10-11 | 
| Nd-138 | Tous composés | 3,3.10-10 | 
| Nd-139 | Tous composés | 2,1.10-11 | 
| Nd-139m | Tous composés | 1,5.10-10 | 
| Nd-140 | Tous composés | 5,5.10-10 | 
| Nd-141 | Tous composés | 5,6.10-12 | 
| Nd-144 | Tous composés | 2,4.10-8 | 
| Nd-147 | Tous composés | 1,5.10-10 | 
| Nd-149 | Tous composés | 7,5.10-11 | 
| Nd-151 | Tous composés | 2,8.10-11 | 
| Nd-152 | Tous composés | 5,7.10-11 | 
| Prométhium | ||
| Pm-141 | Tous composés | 4,2.10-11 | 
| Pm-143 | Tous composés | 1,5.10-10 | 
| Pm-144 | Tous composés | 6,8.10-10 | 
| Pm-145 | Tous composés | 4,6.10-11 | 
| Pm-146 | Tous composés | 4,5.10-10 | 
| Pm-147 | Tous composés | 8,4.10-12 | 
| Pm-148 | Tous composés | 6,4.10-10 | 
| Pm-148m | Tous composés | 8,1.10-10 | 
| Pm-149 | Tous composés | 1,5.10-10 | 
| Pm-150 | Tous composés | 1,9.10-10 | 
| Pm-151 | Tous composés | 1,6.10-10 | 
| Samarium | ||
| Sm-140 | Tous composés | 1,1.10-10 | 
| Sm-141 | Tous composés | 4,7.10-11 | 
| Sm-141m | Tous composés | 7,1.10-11 | 
| Sm-142 | Tous composés | 1,9.10-10 | 
| Sm-145 | Tous composés | 6,0.10-11 | 
| Sm-146 | Tous composés | 3,2.10-8 | 
| Sm-147 | Tous composés | 2,9.10-8 | 
| Sm-148 | Tous composés | 2,5.10-8 | 
| Sm-151 | Tous composés | 1,2.10-11 | 
| Sm-153 | Tous composés | 8,7.10-11 | 
| Sm-155 | Tous composés | 3,3.10-11 | 
| Sm-156 | Tous composés | 5,3.10-11 | 
| Europium | ||
| Eu-145 | Tous composés | 4,3.10-10 | 
| Eu-146 | Tous composés | 8,0.10-10 | 
| Eu-147 | Tous composés | 2,0.10-10 | 
| Eu-148 | Tous composés | 8,7.10-10 | 
| Eu-149 | Tous composés | 4,3.10-11 | 
| Eu-150 | Tous composés | 9,2.10-10 | 
| Eu-150m | Tous composés | 8,6.10-11 | 
| Eu-152 | Tous composés | 6,5.10-10 | 
| Eu-152m | Tous composés | 1,7.10-10 | 
| Eu-152n | Tous composés | 2,5.10-12 | 
| Eu-154 | Tous composés | 7,2.10-10 | 
| Eu-154m | Tous composés | 1,5.10-12 | 
| Eu-155 | Tous composés | 4,4.10-11 | 
| Eu-156 | Tous composés | 6,7.10-10 | 
| Eu-157 | Tous composés | 1,6.10-10 | 
| Eu-158 | Tous composés | 9,8.10-11 | 
| Eu-159 | Tous composés | 4,9.10-11 | 
| Gadolinium | ||
| Gd-145 | Tous composés | 3,9.10-11 | 
| Gd-146 | Tous composés | 2,8.10-10 | 
| Gd-147 | Tous composés | 3,8.10-10 | 
| Gd-148 | Tous composés | 2,0.10-8 | 
| Gd-149 | Tous composés | 2,2.10-10 | 
| Gd-150 | Tous composés | 1,9.10-8 | 
| Gd-151 | Tous composés | 4,6.10-11 | 
| Gd-152 | Tous composés | 1,5.10-8 | 
| Gd-153 | Tous composés | 7,0.10-11 | 
| Gd-159 | Tous composés | 9,4.10-11 | 
| Terbium | ||
| Tb-147 | Tous composés | 1,1.10-10 | 
| Tb-148 | Tous composés | 1,3.10-10 | 
| Tb-149 | Tous composés | 9,3.10-11 | 
| Tb-150 | Tous composés | 1,6.10-10 | 
| Tb-151 | Tous composés | 2,0.10-10 | 
| Tb-152 | Tous composés | 3,5.10-10 | 
| Tb-153 | Tous composés | 1,1.10-10 | 
| Tb-154 | Tous composés | 4,1.10-10 | 
| Tb-155 | Tous composés | 8,4.10-11 | 
| Tb-156 | Tous composés | 6,5.10-10 | 
| Tb-156m | Tous composés | 7,1.10-11 | 
| Tb-156n | Tous composés | 2,3.10-11 | 
| Tb-157 | Tous composés | 7,3.10-12 | 
| Tb-158 | Tous composés | 6,0.10-10 | 
| Tb-160 | Tous composés | 4,9.10-10 | 
| Tb-161 | Tous composés | 5,4.10-11 | 
| Tb-163 | Tous composés | 2,2.10-11 | 
| Dysprosium | ||
| Dy-151 | Tous composés | 1,3.10-11 | 
| Dy-152 | Tous composés | 5,3.10-11 | 
| Dy-153 | Tous composés | 9,2.10-11 | 
| Dy-154 | Tous composés | 2,1.10-8 | 
| Dy-155 | Tous composés | 9,0.10-11 | 
| Dy-157 | Tous composés | 4,2.10-11 | 
| Dy-159 | Tous composés | 3,5.10-11 | 
| Dy-165 | Tous composés | 6,5.10-11 | 
| Dy-166 | Tous composés | 1,8.10-10 | 
| Holmium | ||
| Ho-154 | Tous composés | 5,0.10-11 | 
| Ho-155 | Tous composés | 3,3.10-11 | 
| Ho-156 | Tous composés | 1,0.10-10 | 
| Ho-157 | Tous composés | 5,7.10-12 | 
| Ho-159 | Tous composés | 5,6.10-12 | 
| Ho-160 | Tous composés | 1,5.10-11 | 
| Ho-161 | Tous composés | 4,2.10-12 | 
| Ho-162 | Tous composés | 1,9.10-12 | 
| Ho-162m | Tous composés | 1,5.10-11 | 
| Ho-163 | Tous composés | 1,8.10-13 | 
| Ho-164 | Tous composés | 8,1.10-12 | 
| Ho-164m | Tous composés | 7,2.10-12 | 
| Ho-166 | Tous composés | 3,0.10-10 | 
| Ho-166m | Tous composés | 1,2.10-9 | 
| Ho-167 | Tous composés | 4,2.10-11 | 
| Erbium | ||
| Er-156 | Tous composés | 2,8.10-11 | 
| Er-159 | Tous composés | 2,0.10-11 | 
| Er-161 | Tous composés | 5,4.10-11 | 
| Er-163 | Tous composés | 1,5.10-12 | 
| Er-165 | Tous composés | 8,7.10-12 | 
| Er-169 | Tous composés | 8,4.10-12 | 
| Er-171 | Tous composés | 1,2.10-10 | 
| Er-172 | Tous composés | 2,5.10-10 | 
| Thulium | ||
| Tm-161 | Tous composés | 3,1.10-11 | 
| Tm-162 | Tous composés | 4,5.10-11 | 
| Tm-163 | Tous composés | 4,0.10-11 | 
| Tm-165 | Tous composés | 1,6.10-10 | 
| Tm-166 | Tous composés | 1,9.10-10 | 
| Tm-167 | Tous composés | 8,2.10-11 | 
| Tm-168 | Tous composés | 5,1.10-10 | 
| Tm-170 | Tous composés | 1,5.10-10 | 
| Tm-171 | Tous composés | 2,0.10-12 | 
| Tm-172 | Tous composés | 3,9.10-10 | 
| Tm-173 | Tous composés | 1,0.10-10 | 
| Tm-175 | Tous composés | 2,7.10-11 | 
| Ytterbium | ||
| Yb-162 | Tous composés | 3,2.10-11 | 
| Yb-163 | Tous composés | 1,6.10-11 | 
| Yb-164 | Tous composés | 8,8.10-11 | 
| Yb-166 | Tous composés | 4,5.10-10 | 
| Yb-167 | Tous composés | 2,4.10-12 | 
| Yb-169 | Tous composés | 1,7.10-10 | 
| Yb-175 | Tous composés | 3,3.10-11 | 
| Yb-177 | Tous composés | 6,2.10-11 | 
| Yb-178 | Tous composés | 7,7.10-11 | 
| Lutécium | ||
| Lu-165 | Tous composés | 1,9.10-11 | 
| Lu-167 | Tous composés | 3,5.10-11 | 
| Lu-169 | Tous composés | 3,2.10-10 | 
| Lu-170 | Tous composés | 6,1.10-10 | 
| Lu-171 | Tous composés | 2,5.10-10 | 
| Lu-172 | Tous composés | 6,7.10-10 | 
| Lu-173 | Tous composés | 1,0.10-10 | 
| Lu-174 | Tous composés | 6,5.10-11 | 
| Lu-174m | Tous composés | 4,0.10-11 | 
| Lu-176 | Tous composés | 5,3.10-10 | 
| Lu-176m | Tous composés | 7,5.10-11 | 
| Lu-177 | Tous composés | 3,5.10-11 | 
| Lu-177m | Tous composés | 4,5.10-10 | 
| Lu-178 | Tous composés | 5,4.10-11 | 
| Lu-178m | Tous composés | 3,0.10-11 | 
| Lu-179 | Tous composés | 9,5.10-11 | 
| Hafnium | ||
| Hf-170 | Tous composés | 2,0.10-10 | 
| Hf-172 | Tous composés | 4,5.10-10 | 
| Hf-173 | Tous composés | 9,6.10-11 | 
| Hf-174 | Tous composés | 7,8.10-8 | 
| Hf-175 | Tous composés | 1,7.10-10 | 
| Hf-177m | Tous composés | 5,8.10-11 | 
| Hf-178m | Tous composés | 3,7.10-9 | 
| Hf-179m | Tous composés | 4,0.10-10 | 
| Hf-180m | Tous composés | 8,6.10-11 | 
| Hf-181 | Tous composés | 2,5.10-10 | 
| Hf-182 | Tous composés | 3,0.10-9 | 
| Hf-182m | Tous composés | 2,9.10-11 | 
| Hf-183 | Tous composés | 6,1.10-11 | 
| Hf-184 | Tous composés | 1,6.10-10 | 
| Tantale | ||
| Ta-172 | Tous composés | 6,0.10-11 | 
| Ta-173 | Tous composés | 5,5.10-11 | 
| Ta-174 | Tous composés | 6,5.10-11 | 
| Ta-175 | Tous composés | 1,4.10-10 | 
| Ta-176 | Tous composés | 2,1.10-10 | 
| Ta-177 | Tous composés | 2,8.10-11 | 
| Ta-178m | Tous composés | 5,2.10-11 | 
| Ta-179 | Tous composés | 1,6.10-11 | 
| Ta-180 | Tous composés | 1,2.10-11 | 
| Ta-182 | Tous composés | 5,0.10-10 | 
| Ta-182m | Tous composés | 5,3.10-12 | 
| Ta-183 | Tous composés | 1,7.10-10 | 
| Ta-184 | Tous composés | 2,7.10-10 | 
| Ta-185 | Tous composés | 6,6.10-11 | 
| Ta-186 | Tous composés | 4,1.10-11 | 
| Tungstène | ||
| W-177 | Acide tungstique | 3,6.10-11 | 
| Autres composés | 3,4.10-11 | |
| W-178 | Acide tungstique | 6,6.10-11 | 
| Autres composés | 5,9.10-11 | |
| W-179 | Acide tungstique | 1,1.10-12 | 
| Autres composés | 1,1.10-12 | |
| W-181 | Acide tungstique | 2,4.10-11 | 
| Autres composés | 3,2.10-11 | |
| W-185 | Acide tungstique | 1,8.10-11 | 
| Autres composés | 6,1.10-11 | |
| W-187 | Acide tungstique | 1,8.10-10 | 
| Autres composés | 1,4.10-10 | |
| W-188 | Acide tungstique | 3,5.10-10 | 
| Autres composés | 6,3.10-10 | |
| W-190 | Acide tungstique | 8,1.10-11 | 
| Autres composés | 8,2.10-11 | |
| Rhénium | ||
| Re-178 | Tous composés | 3,1.10-11 | 
| Re-179 | Tous composés | 1,0.10-11 | 
| Re-181 | Tous composés | 2,5.10-10 | 
| Re-182 | Tous composés | 8,0.10-10 | 
| Re-182m | Tous composés | 1,9.10-10 | 
| Re-183 | Tous composés | 3,6.10-10 | 
| Re-184 | Tous composés | 6,0.10-10 | 
| Re-184m | Tous composés | 6,3.10-10 | 
| Re-186 | Tous composés | 5,5.10-10 | 
| Re-186m | Tous composés | 8,2.10-10 | 
| Re-187 | Tous composés | 1,4.10-12 | 
| Re-188 | Tous composés | 6,2.10-10 | 
| Re-188m | Tous composés | 1,2.10-11 | 
| Re-189 | Tous composés | 3,3.10-10 | 
| Re-190m | Tous composés | 2,6.10-10 | 
| Osmium | ||
| Os-180 | Tous composés | 1,5.10-11 | 
| Os-181 | Tous composés | 5,9.10-11 | 
| Os-182 | Tous composés | 2,7.10-10 | 
| Os-183 | Tous composés | 1,0.10-10 | 
| Os-183m | Tous composés | 1,3.10-10 | 
| Os-185 | Tous composés | 2,9.10-10 | 
| Os-186 | Tous composés | 1,1.10-8 | 
| Os-189m | Tous composés | 2,2.10-13 | 
| Os-191 | Tous composés | 4,4.10-11 | 
| Os-191m | Tous composés | 2,8.10-12 | 
| Os-193 | Tous composés | 1,4.10-10 | 
| Os-194 | Tous composés | 4,6.10-10 | 
| Os-196 | Tous composés | 1,3.10-10 | 
| Iridium | ||
| Ir-182 | Tous composés | 5,6.10-11 | 
| Ir-183 | Tous composés | 3,9.10-11 | 
| Ir-184 | Tous composés | 1,3.10-10 | 
| Ir-185 | Tous composés | 1,4.10-10 | 
| Ir-186 | Tous composés | 3,0.10-10 | 
| Ir-186m | Tous composés | 5,4.10-11 | 
| Ir-187 | Tous composés | 4,7.10-11 | 
| Ir-188 | Tous composés | 4,9.10-10 | 
| Ir-189 | Tous composés | 4,2.10-11 | 
| Ir-190 | Tous composés | 5,9.10-10 | 
| Ir-190m | Tous composés | 2,3.10-12 | 
| Ir-190n | Tous composés | 7,5.10-11 | 
| Ir-192 | Tous composés | 4,5.10-10 | 
| Ir-192n | Tous composés | 5,4.10-10 | 
| Ir-193m | Tous composés | 3,5.10-12 | 
| Ir-194 | Tous composés | 3,4.10-10 | 
| Ir-194m | Tous composés | 1,2.10-9 | 
| Ir-195 | Tous composés | 4,8.10-11 | 
| Ir-195m | Tous composés | 5,1.10-11 | 
| Ir-196m | Tous composés | 9,1.10-11 | 
| Platine | ||
| Pt-184 | Composés solubles inorganiques, autres composés | 1,7.10-11 | 
| Platine métallique, oxyde, hydroxyde | 1,7.10-11 | |
| Pt-186 | Composés solubles inorganiques, autres composés | 6,8.10-11 | 
| Platine métallique, oxyde, hydroxyde | 6,8.10-11 | |
| Pt-187 | Composés solubles inorganiques, autres composés | 4,4.10-11 | 
| Platine métallique, oxyde, hydroxyde | 4,4.10-11 | |
| Pt-188 | Composés solubles inorganiques, autres composés | 3,1.10-10 | 
| Platine métallique, oxyde, hydroxyde | 3,0.10-10 | |
| Pt-189 | Composés solubles inorganiques, autres composés | 7,3.10-11 | 
| Platine métallique, oxyde, hydroxyde | 7,3.10-11 | |
| Pt-190 | Composés solubles inorganiques, autres composés | 1,2.10-8 | 
| Platine métallique, oxyde, hydroxyde | 1,2.10-9 | |
| Pt-191 | Composés solubles inorganiques, autres composés | 1,1.10-10 | 
| Platine métallique, oxyde, hydroxyde | 1,1.10-10 | |
| Pt-193 | Composés solubles inorganiques, autres composés | 3,5.10-12 | 
| Platine métallique, oxyde, hydroxyde | 1,8.10-12 | |
| Pt-193m | Composés solubles inorganiques, autres composés | 1,1.10-11 | 
| Platine métallique, oxyde, hydroxyde | 1,0.10-11 | |
| Pt-195m | Composés solubles inorganiques, autres composés | 4,0.10-11 | 
| Platine métallique, oxyde, hydroxyde | 3,8.10-11 | |
| Pt-197 | Composés solubles inorganiques, autres composés | 4,4.10-11 | 
| Platine métallique, oxyde, hydroxyde | 4,3.10-11 | |
| Pt-197m | Composés solubles inorganiques, autres composés | 3,2.10-11 | 
| Platine métallique, oxyde, hydroxyde | 3,2.10-11 | |
| Pt-199 | Composés solubles inorganiques, autres composés | 4,1.10-11 | 
| Platine métallique, oxyde, hydroxyde | 4,1.10-11 | |
| Pt-200 | Composés solubles inorganiques, autres composés | 2,5.10-10 | 
| Platine métallique, oxyde, hydroxyde | 2,5.10-10 | |
| Pt-202 | Composés solubles inorganiques, autres composés | 9,8.10-10 | 
| Platine métallique, oxyde, hydroxyde | 9,8.10-10 | |
| Or | ||
| Au-186 | Tous composés | 4,9.10-11 | 
| Au-190 | Tous composés | 4,5.10-11 | 
| Au-191 | Tous composés | 3,8.10-11 | 
| Au-192 | Tous composés | 1,3.10-10 | 
| Au-193 | Tous composés | 3,9.10-11 | 
| Au-194 | Tous composés | 2,6.10-10 | 
| Au-195 | Tous composés | 1,0.10-10 | 
| Au-196 | Tous composés | 2,0.10-10 | 
| Au-196m | Tous composés | 6,2.10-11 | 
| Au-198 | Tous composés | 2,7.10-10 | 
| Au-198m | Tous composés | 2,7.10-10 | 
| Au-199 | Tous composés | 5,4.10-11 | 
| Au-200 | Tous composés | 7,5.10-11 | 
| Au-200m | Tous composés | 4,6.10-10 | 
| Au-201 | Tous composés | 2,6.10-11 | 
| Mercure | ||
| Hg-190 | Tous composés | 1,9.10-11 | 
| Hg-191m | Tous composés | 3,9.10-11 | 
| Hg-192 | Tous composés | 1,3.10-10 | 
| Hg-193 | Tous composés | 5,5.10-11 | 
| Hg-193m | Tous composés | 2,0.10-10 | 
| Hg-194 | Tous composés | 7,1.10-10 | 
| Hg-195 | Tous composés | 3,0.10-11 | 
| Hg-195m | Tous composés | 1,0.10-10 | 
| Hg-197 | Tous composés | 3,8.10-11 | 
| Hg-197m | Tous composés | 4,9.10-11 | 
| Hg-199m | Tous composés | 2,5.10-11 | 
| Hg-203 | Tous composés | 2,3.10-10 | 
| Thallium | ||
| Tl-194 | Tous composés | 5,7.10-11 | 
| Tl-194m | Tous composés | 4,3.10-11 | 
| Tl-195 | Tous composés | 2,4.10-11 | 
| Tl-196 | Tous composés | 6,1.10-11 | 
| Tl-197 | Tous composés | 2,1.10-11 | 
| Tl-198 | Tous composés | 8,3.10-11 | 
| Tl-198m | Tous composés | 5,4.10-11 | 
| Tl-199 | Tous composés | 2,3.10-11 | 
| Tl-200 | Tous composés | 2,1.10-10 | 
| Tl-201 | Tous composés | 7,2.10-11 | 
| Tl-202 | Tous composés | 4,5.10-10 | 
| Tl-204 | Tous composés | 8,1.10-10 | 
| Plomb | ||
| Pb-194 | Tous composés | 2,3.10-11 | 
| Pb-195m | Tous composés | 2,3.10-11 | 
| Pb-196 | Tous composés | 2,6.10-11 | 
| Pb-197m | Tous composés | 3,9.10-11 | 
| Pb-198 | Tous composés | 6,1.10-11 | 
| Pb-199 | Tous composés | 3,4.10-11 | 
| Pb-200 | Tous composés | 1,8.10-10 | 
| Pb-201 | Tous composés | 1,0.10-10 | 
| Pb-202 | Tous composés | 1,2.10-8 | 
| Pb-202m | Tous composés | 1,1.10-10 | 
| Pb-203 | Tous composés | 1,2.10-10 | 
| Pb-204m | Tous composés | 4,9.10-11 | 
| Pb-205 | Tous composés | 9,1.10-11 | 
| Pb-209 | Tous composés | 2,3.10-11 | 
| Pb-210 | Tous composés | 3,2.10-7 | 
| Pb-211 | Tous composés | 1,0.10-10 | 
| Pb-212 | Tous composés | 5,6.10-9 | 
| Pb-214 | Tous composés | 7,7.10-11 | 
| Bismuth | ||
| Bi-200 | Tous composés | 5,0.10-11 | 
| Bi-201 | Tous composés | 8,8.10-11 | 
| Bi-202 | Tous composés | 8,9.10-11 | 
| Bi-203 | Tous composés | 3,3.10-10 | 
| Bi-204 | Tous composés | 4,0.10-10 | 
| Bi-205 | Tous composés | 6,1.10-10 | 
| Bi-206 | Tous composés | 1,2.10-9 | 
| Bi-207 | Tous composés | 8,3.10-10 | 
| Bi-208 | Tous composés | 9,8.10-10 | 
| Bi-210 | Tous composés | 1,1.10-9 | 
| Bi-210m | Tous composés | 2,5.10-8 | 
| Bi-212 | Tous composés | 1,1.10-10 | 
| Bi-213 | Tous composés | 5,5.10-11 | 
| Bi-214 | Tous composés | 4,7.10-11 | 
| Polonium | ||
| Po-203 | Tous composés | 4,4.10-11 | 
| Po-204 | Tous composés | 1,8.10-10 | 
| Po-205 | Tous composés | 4,8.10-11 | 
| Po-206 | Tous composés | 2,9.10-9 | 
| Po-207 | Tous composés | 1,0.10-10 | 
| Po-208 | Tous composés | 2,4.10-7 | 
| Po-209 | Tous composés | 2,4.10-7 | 
| Po-210 | Tous composés | 1,8.10-7 | 
| Astate | ||
| At-205 | Tous composés | 1,0.10-10 | 
| At-206 | Tous composés | 9,3.10-11 | 
| At-207 | Tous composés | 7,3.10-10 | 
| At-208 | Tous composés | 2,6.10-10 | 
| At-209 | Tous composés | 1,9.10-9 | 
| At-210 | Tous composés | 6,9.10-9 | 
| At-211 | Tous composés | 7,6.10-8 | 
| Francium | ||
| Fr-212 | Tous composés | 1,3.10-10 | 
| Fr-222 | Tous composés | 3,3.10-10 | 
| Fr-223 | Tous composés | 1,5.10-10 | 
| Radium | ||
| Ra-223 | Tous composés | 4,1.10-8 | 
| Ra-224 | Tous composés | 2,9.10-8 | 
| Ra-225 | Tous composés | 4,5.10-8 | 
| Ra-226 | Tous composés | 1,3.10-7 | 
| Ra-227 | Tous composés | 5,8.10-11 | 
| Ra-228 | Tous composés | 3,4.10-7 | 
| Ra-230 | Tous composés | 1,5.10-10 | 
| Actinium | ||
| Ac-224 | Tous composés | 7,7.10-10 | 
| Ac-225 | Tous composés | 2,2.10-8 | 
| Ac-226 | Tous composés | 2,3.10-10 | 
| Ac-227 | Tous composés | 1,7.10-7 | 
| Ac-228 | Tous composés | 1,6.10-10 | 
| Thorium | ||
| Th-226 | Tous composés | 3,6.10-12 | 
| Th-227 | Tous composés | 1,3.10-9 | 
| Th-228 | Tous composés | 3,1.10-8 | 
| Th-229 | Tous composés | 2,1.10-7 | 
| Th-230 | Tous composés | 6,0.10-8 | 
| Th-231 | Tous composés | 1,7.10-11 | 
| Th-232 | Tous composés | 7,0.10-8 | 
| Th-233 | Tous composés | 2,2.10-11 | 
| Th-234 | Tous composés | 5,9.10-10 | 
| Th-236 | Tous composés | 9,1.10-11 | 
| Protactinium | ||
| Pa-227 | Tous composés | 3,3.10-11 | 
| Pa-228 | Tous composés | 3,4.10-10 | 
| Pa-229 | Tous composés | 2,5.10-11 | 
| Pa-230 | Tous composés | 3,2.10-10 | 
| Pa-231 | Tous composés | 1,8.10-7 | 
| Pa-232 | Tous composés | 2,4.10-10 | 
| Pa-233 | Tous composés | 1,2.10-10 | 
| Pa-234 | Tous composés | 1,7.10-10 | 
| Pa-235 | Tous composés | 2,9.10-11 | 
| Uranium | ||
| U-230 | Composés solubles | 1,3.10-8 | 
| Composés relativement insolubles, uranyl acetylacetonate, uranium appauvri utilisé dans les pénétrateurs à énergie cinétique, uranium métallique vaporisé. | 1,4.10-9 | |
| U-231 | Composés solubles | 4,9.10-11 | 
| Composés relativement insolubles, uranyl acetylacetonate, uranium appauvri utilisé dans les pénétrateurs à énergie cinétique, uranium métallique vaporisé. | 4,9.10-11 | |
| U-232 | Composés solubles | 1,8.10-7 | 
| Composés relativement insolubles, uranyl acetylacetonate, uranium appauvri utilisé dans les pénétrateurs à énergie cinétique, uranium métallique vaporisé. | 1,8.10-8 | |
| U-233 | Composés solubles | 3,5.10-8 | 
| Composés relativement insolubles, uranyl acetylacetonate, uranium appauvri utilisé dans les pénétrateurs à énergie cinétique, uranium métallique vaporisé. | 3,5.10-9 | |
| U-234 | Composés solubles | 3,5.10-8 | 
| Composés relativement insolubles, uranyl acetylacetonate, uranium appauvri utilisé dans les pénétrateurs à énergie cinétique, uranium métallique vaporisé. | 3,5.10-9 | |
| U-235 | Composés solubles | 3,2.10-8 | 
| Composés relativement insolubles, uranyl acetylacetonate, uranium appauvri utilisé dans les pénétrateurs à énergie cinétique, uranium métallique vaporisé. | 3,3.10-9 | |
| U-235m | Composés solubles | 5,8.10-19 | 
| Composés relativement insolubles, uranyl acetylacetonate, uranium appauvri utilisé dans les pénétrateurs à énergie cinétique, uranium métallique vaporisé. | 5,9.10-20 | |
| U-236 | Composés solubles | 3,2.10-8 | 
| Composés relativement insolubles, uranyl acetylacetonate, uranium appauvri utilisé dans les pénétrateurs à énergie cinétique, uranium métallique vaporisé. | 3,2.10-9 | |
| U-237 | Composés solubles | 7,6.10-11 | 
| Composés relativement insolubles, uranyl acetylacetonate, uranium appauvri utilisé dans les pénétrateurs à énergie cinétique, uranium métallique vaporisé. | 7,4.10-11 | |
| U-238 | Composés solubles | 3,1.10-8 | 
| Composés relativement insolubles, uranyl acetylacetonate, uranium appauvri utilisé dans les pénétrateurs à énergie cinétique, uranium métallique vaporisé. | 3,1.10-9 | |
| U-239 | Composés solubles | 2,4.10-11 | 
| Composés relativement insolubles, uranyl acetylacetonate, uranium appauvri utilisé dans les pénétrateurs à énergie cinétique, uranium métallique vaporisé. | 2,4.10-11 | |
| U-240 | Composés solubles | 2,6.10-10 | 
| Composés relativement insolubles, uranyl acetylacetonate, uranium appauvri utilisé dans les pénétrateurs à énergie cinétique, uranium métallique vaporisé. | 2,6.10-10 | |
| U-242 | Composés solubles | 6,2.10-11 | 
| Composés relativement insolubles, uranyl acetylacetonate, uranium appauvri utilisé dans les pénétrateurs à énergie cinétique, uranium métallique vaporisé. | 6,2.10-11 | |
| Neptunium | ||
| Np-232 | Tous composés | 8,2.10-12 | 
| Np-233 | Tous composés | 1,4.10-12 | 
| Np-234 | Tous composés | 3,6.10-10 | 
| Np-235 | Tous composés | 8,5.10-12 | 
| Np-236 | Tous composés | 5,5.10-9 | 
| Np-236m | Tous composés | 3,3.10-11 | 
| Np-237 | Tous composés | 3,0.10-8 | 
| Np-238 | Tous composés | 2,4.10-10 | 
| Np-239 | Tous composés | 8,5.10-11 | 
| Np-240 | Tous composés | 5,2.10-11 | 
| Np-241 | Tous composés | 1,7.10-11 | 
| Plutonium | ||
| Pu-232 | Composés insolubles: oxydes | 1,3.10-11 | 
| Composés solubles: nitrates, chlorures, bicarbonates, autres composés et composés non spécifiés | 1,3.10-11 | |
| Pu-234 | Composés insolubles: oxydes | 3,4.10-11 | 
| Composés solubles: nitrates, chlorures, bicarbonates, autres composés et composés non spécifiés | 3,5.10-11 | |
| Pu-235 | Composés insolubles: oxydes | 1,1.10-12 | 
| Composés solubles: nitrates, chlorures, bicarbonates, autres composés et composés non spécifiés | 1,1.10-12 | |
| Pu-236 | Composés insolubles: oxydes | 4,6.10-10 | 
| Composés solubles: nitrates, chlorures, bicarbonates, autres composés et composés non spécifiés | 2,3.10-8 | |
| Pu-237 | Composés insolubles: oxydes | 3,0.10-11 | 
| Composés solubles: nitrates, chlorures, bicarbonates, autres composés et composés non spécifiés | 3,0.10-11 | |
| Pu-238 | Composés insolubles: oxydes | 2,2.10-9 | 
| Composés solubles: nitrates, chlorures, bicarbonates, autres composés et composés non spécifiés | 1,1.10-7 | |
| Pu-239 | Composés insolubles: oxydes | 2,4.10-9 | 
| Composés solubles: nitrates, chlorures, bicarbonates, autres composés et composés non spécifiés | 1,2.10-7 | |
| Pu-240 | Composés insolubles: oxydes | 2,4.10-9 | 
| Composés solubles: nitrates, chlorures, bicarbonates, autres composés et composés non spécifiés | 1,2.10-7 | |
| Pu-241 | Composés insolubles: oxydes | 2,3.10-11 | 
| Composés solubles: nitrates, chlorures, bicarbonates, autres composés et composés non spécifiés | 1,1.10-9 | |
| Pu-242 | Composés insolubles: oxydes | 2,3.10-9 | 
| Composés solubles: nitrates, chlorures, bicarbonates, autres composés et composés non spécifiés | 1,2.10-7 | |
| Pu-243 | Composés insolubles: oxydes | 2,0.10-11 | 
| Composés solubles: nitrates, chlorures, bicarbonates, autres composés et composés non spécifiés | 2,0.10-11 | |
| Pu-244 | Composés insolubles: oxydes | 2,7.10-9 | 
| Composés solubles: nitrates, chlorures, bicarbonates, autres composés et composés non spécifiés | 1,1.10-7 | |
| Pu-245 | Composés insolubles: oxydes | 1,4.10-10 | 
| Composés solubles: nitrates, chlorures, bicarbonates, autres composés et composés non spécifiés | 1,4.10-10 | |
| Pu-246 | Composés insolubles: oxydes | 6,4.10-10 | 
| Composés solubles: nitrates, chlorures, bicarbonates, autres composés et composés non spécifiés | 6,4.10-10 | |
| Américium | ||
| Am-237 | Tous composés | 1,0.10-11 | 
| Am-238 | Tous composés | 2,5.10-11 | 
| Am-239 | Tous composés | 4,9.10-11 | 
| Am-240 | Tous composés | 3,0.10-10 | 
| Am-241 | Tous composés | 5,9.10-8 | 
| Am-242 | Tous composés | 4,5.10-11 | 
| Am-242m | Tous composés | 6,0.10-8 | 
| Am-243 | Tous composés | 5,8.10-8 | 
| Am-244 | Tous composés | 1,3.10-10 | 
| Am-244m | Tous composés | 3,3.10-11 | 
| Am-245 | Tous composés | 3,2.10-11 | 
| Am-246 | Tous composés | 4,6.10-11 | 
| Am-246m | Tous composés | 3,7.10-11 | 
| Am-247 | Tous composés | 3,0.10-11 | 
| Curium | ||
| Cm-238 | Tous composés | 3,3.10-11 | 
| Cm-239 | Tous composés | 2,3.10-11 | 
| Cm-240 | Tous composés | 1,1.10-9 | 
| Cm-241 | Tous composés | 2,6.10-10 | 
| Cm-242 | Tous composés | 3,5.10-9 | 
| Cm-243 | Tous composés | 4,6.10-8 | 
| Cm-244 | Tous composés | 3,9.10-8 | 
| Cm-245 | Tous composés | 6,0.10-8 | 
| Cm-246 | Tous composés | 6,0.10-8 | 
| Cm-247 | Tous composés | 5,5.10-8 | 
| Cm-248 | Tous composés | 2,3.10-7 | 
| Cm-249 | Tous composés | 2,5.10-11 | 
| Cm-250 | Tous composés | 1,6.10-6 | 
| Cm-251 | Tous composés | 2,8.10-11 | 
| Berkélium | ||
| Bk-245 | Tous composés | 1,1.10-10 | 
| Bk-246 | Tous composés | 2,4.10-10 | 
| Bk-247 | Tous composés | 5,4.10-8 | 
| Bk-248m | Tous composés | 7,4.10-11 | 
| Bk-249 | Tous composés | 1,2.10-10 | 
| Bk-250 | Tous composés | 7,8.10-11 | 
| Californium | ||
| Cf-244 | Tous composés | 6,1.10-13 | 
| Cf-246 | Tous composés | 5,5.10-11 | 
| Cf-247 | Tous composés | 7,2.10-12 | 
| Cf-248 | Tous composés | 6,2.10-9 | 
| Cf-249 | Tous composés | 5,2.10-8 | 
| Cf-250 | Tous composés | 2,9.10-8 | 
| Cf-251 | Tous composés | 5,3.10-8 | 
| Cf-252 | Tous composés | 2,5.10-8 | 
| Cf-253 | Tous composés | 3,2.10-10 | 
| Cf-254 | Tous composés | 1,8.10-7 | 
| Cf-255 | Tous composés | 2,1.10-11 | 
| Einstenium | ||
| Es-249 | Tous composés | 1,3.10-11 | 
| Es-250 | Tous composés | 1,6.10-10 | 
| Es-250m | Tous composés | 2,1.10-11 | 
| Es-251 | Tous composés | 3,6.10-11 | 
| Es-253 | Tous composés | 3,5.10-10 | 
| Es-254 | Tous composés | 5,9.10-9 | 
| Es-254m | Tous composés | 3,1.10-10 | 
| Es-255 | Tous composés | 7,4.10-10 | 
| Es-256 | Tous composés | 1,9.10-9 | 
| Fermium | ||
| Fm-251 | Tous composés | 2,0.10-11 | 
| Fm-252 | Tous composés | 4,0.10-11 | 
| Fm-253 | Tous composés | 8,8.10-11 | 
| Fm-254 | Tous composés | 1,2.10-11 | 
| Fm-255 | Tous composés | 2,4.10-11 | 
| Fm-256 | Tous composés | 1,2.10-8 | 
| Fm-257 | Tous composés | 3,7.10-9 | 
Tableau 3.2. Doses efficaces engagées par unité d'activité incorporée par inhalation, en Sv.Bq-1, applicables aux travailleurs exposés, d'après les données des publications 134, 137, 141 et 151 de la CIPR
Les abréviations suivantes sont utilisées. A. F : aérosol de type F ; A. M : aérosol de type M ; A. S : aérosol de type S ; A. Spé. : aérosol spécifique ; G-V. : gaz ou vapeur (éventuellement suivi d'un type tel que F ou V).
La mention « Pas de forme chimique particulière assignée » signifie qu'aucune forme chimique de l'élément n'a été identifiée comme appartenant à ce type.
La mention « Composés non spécifiés » signifie qu'en l'absence d'information spécifique, le type relatif à cette mention peut être retenu par défaut.
Le coefficient retenu par défaut est celui correspondant à un diamètre aérodynamique médian en activité des particules de 5 µm. Le coefficient correspondant à 1 µm peut être utilisé s'il existe des données démontrant que le travailleur inhale des particules avec ce diamètre.
| Radionucléide | Type | Forme chimique | h(g) (Sv.Bq-1) | |
| 5 µm | 1 µm | |||
| Hydrogène | ||||
| H-3 | A. F | Hydrure de LaNiAl | 1,3.10-11 | 8,6.10-12 | 
| A. M | Fragments de verre, peinture luminescente, hydrure de titane, hydrure de zirconium, autres composés et composés non spécifiés | 2,4.10-11 | 4,3.10-11 | |
| A. S | Hydrure de carbone, hydrure d'hafnium | 2,6.10-10 | 5,2.10-10 | |
| A. Spé. | Composés organiques biogéniques | 3,5.10-11 | 2,3.10-11 | |
| G-V. V | Méthane tritié | 5,9.10-14 | ||
| G-V. V | Eau tritiée | 2,0.10-11 | ||
| G-V. V | Tritium gazeux (formule chimique : HT) | 2,0.10-15 | ||
| G-V. F | Autres composés et composés non spécifiés | 2,0.10-11 | ||
| Béryllium | ||||
| Be-7 | A. F | Pas de forme chimique particulière assignée | 5,7.10-11 | 4,9.10-11 | 
| A. M | Composés non spécifiés, pas de forme chimique particulière assignée | 4,3.10-11 | 6,6.10-11 | |
| A. S | Pas de forme chimique particulière assignée | 5,3.10-11 | 8,7.10-11 | |
| Be-10 | A. F | Pas de forme chimique particulière assignée | 1,6.10-8 | 1,5.10-8 | 
| A. M | Composés non spécifiés, pas de forme chimique particulière assignée | 5,9.10-9 | 1,1.10-8 | |
| A. S | Pas de forme chimique particulière assignée | 4,7.10-8 | 8,9.10-8 | |
| Carbone | ||||
| C-11 | A. F | Pas de forme chimique particulière assignée | 1,1.10-11 | 6,7.10-12 | 
| A. M | Autres composés et composés non spécifiés | 1,8.10-11 | 1,2.10-11 | |
| A. S | Carbone élémentaire, hydrure de carbone | 1,8.10-11 | 1,2.10-11 | |
| A. Spé. | Carbonate de baryum | 9,9.10-12 | 6,2.10-12 | |
| G-V. V | Méthane | 8,5.10-15 | ||
| G-V. V | Dioxyde de carbone | 3,6.10-12 | ||
| G-V. V | Monoxyde de Carbone | 2,4.10-12 | ||
| G-V. F | Autres composés et composés non spécifiés | 2,6.10-11 | ||
| C-14 | A. F | Pas de forme chimique particulière assignée | 1,1.10-10 | 7,3.10-11 | 
| A. M | Autres composés et composés non spécifiés | 5,8.10-10 | 9,0.10-10 | |
| A. S | Carbone élémentaire, hydrure de carbone | 6,7.10-9 | 1,2.10-8 | |
| A. Spé. | Carbonate de baryum | 1,3.10-11 | 8,3.10-12 | |
| G-V. V | Méthane | 5,1.10-14 | ||
| G-V. V | Dioxyde de carbone | 1,3.10-11 | ||
| G-V. V | Monoxyde de Carbone | 1,8.10-12 | ||
| G-V. F | Autres composés et composés non spécifiés | 1,7.10-10 | ||
| Fluor | ||||
| F-18 | A. F | Composés non spécifiés, pas de forme chimique particulière assignée. | 3,1.10-11 | 2,0.10-11 | 
| A. M | Pas de forme chimique particulière assignée | 5,0.10-11 | 3,6.10-11 | |
| A. S | Pas de forme chimique particulière assignée | 5,1.10-11 | 3,7.10-11 | |
| G-V. F | composés non spécifiés | 7,8.10-11 | ||
| Sodium | ||||
| Na-22 | A. F | Pas de forme chimique particulière assignée | 2,4.10-9 | 1,6.10-9 | 
| A. M | Composés non spécifiés, pas de forme chimique particulière assignée | 5,3.10-9 | 8,7.10-9 | |
| A. S | Pas de forme chimique particulière assignée | 2,2.10-8 | 4,1.10-8 | |
| Na-24 | A. F | Pas de forme chimique particulière assignée | 3,0.10-10 | 1,9.10-10 | 
| A. M | Composés non spécifiés, pas de forme chimique particulière assignée | 4,9.10-10 | 3,7.10-10 | |
| A. S | Pas de forme chimique particulière assignée | 5,2.10-10 | 4,0.10-10 | |
| Magnésium | ||||
| Mg-28 | A. F | Pas de forme chimique particulière assignée | 6,0.10-10 | 3,7.10-10 | 
| A. M | Composés non spécifiés, pas de forme chimique particulière assignée | 9,1.10-10 | 7,6.10-10 | |
| A. S | Pas de forme chimique particulière assignée | 9,6.10-10 | 8,3.10-10 | |
| Aluminium | ||||
| Al-26 | A. F | Pas de forme chimique particulière assignée | 1,2.10-8 | 1,1.10-8 | 
| A. M | Aluminium métallique | 1,1.10-8 | 1,9.10-8 | |
| A. S | Composés non spécifiés, oxyde, fluorure, bauxite, hydrochloride, sulfate | 2,0.10-7 | 3,9.10-7 | |
| Silicium | ||||
| Si-31 | A. F | Pas de forme chimique particulière assignée | 4,7.10-11 | 3,0.10-11 | 
| A. M | Composés non spécifiés, pas de forme chimique particulière assignée | 7,2.10-11 | 5,3.10-11 | |
| A. S | Pas de forme chimique particulière assignée | 7,3.10-11 | 5,5.10-11 | |
| Si-32 | A. F | Pas de forme chimique particulière assignée | 1,2.10-10 | 7,8.10-11 | 
| A. M | Composés non spécifiés, pas de forme chimique particulière assignée | 6,4.10-9 | 1,2.10-8 | |
| A. S | Pas de forme chimique particulière assignée | 1,7.10-7 | 3,3.10-7 | |
| Phosphore | ||||
| P-32 | A. F | Phosphate de sodium | 1,3.10-9 | 9,4.10-10 | 
| A. M | Phosphates d'yttrium, de zinc et stanniques, autres composés et composés non spécifiés | 1,4.10-9 | 2,0.10-9 | |
| A. S | Pas de forme chimique particulière assignée | 1,5.10-9 | 2,4.10-9 | |
| P-33 | A. F | Phosphate de sodium | 2,4.10-10 | 1,8.10-10 | 
| A. M | Phosphates d'yttrium, de zinc et stanniques, autres composés et composés non spécifiés | 3,1.10-10 | 4,3.10-10 | |
| A. S | Pas de forme chimique particulière assignée | 3,5.10-10 | 5,4.10-10 | |
| Soufre | ||||
| S-35 | A. F | Sulfates de césium, nickel, strontium, thorium | 2,5.10-11 | 1,7.10-11 | 
| A. M | Sulfates de baryum, autres composés et composés non spécifiés | 3,1.10-10 | 4,7.10-10 | |
| A. S | Pas de forme chimique particulière assignée | 4,9.10-10 | 7,8.10-10 | |
| G-V. F | Autre composés organiques | 1,2.10-9 | ||
| G-V. F | Dioxyde de soufre, disulfure de carbone, sulfure d'hydrogène, sulfure de carbonyle, autres composés et composés non spécifiés | 5,5.10-11 | ||
| S-38 | A. F | Sulfates de césium, nickel, strontium, thorium | 1,9.10-10 | 1,2.10-10 | 
| A. M | Sulfates de baryum, autres composés et composés non spécifiés | 2,5.10-10 | 1,9.10-10 | |
| A. S | Pas de forme chimique particulière assignée | 2,6.10-10 | 2,0.10-10 | |
| G-V. F | Autre composés organiques | 3,2.10-10 | ||
| G-V. F | Dioxyde de soufre, disulfure de carbone, sulfure d'hydrogène, sulfure de carbonyle, autres composés et composés non spécifiés | 3,2.10-10 | ||
| Chlore | ||||
| Cl-34m | A. F | Composés non spécifiés, pas de forme chimique particulière assignée | 4,1.10-11 | 2,6.10-11 | 
| A. M | Pas de forme chimique particulière assignée | 5,2.10-11 | 3,5.10-11 | |
| A. S | Pas de forme chimique particulière assignée | 5,2.10-11 | 3,6.10-11 | |
| G-V. F | Composés non spécifiés | 8,6.10-11 | ||
| Cl-36 | A. F | Composés non spécifiés, pas de forme chimique particulière assignée | 7,0.10-10 | 4,5.10-10 | 
| A. M | Pas de forme chimique particulière assignée | 2,7.10-9 | 4,6.10-9 | |
| A. S | Pas de forme chimique particulière assignée | 5,2.10-8 | 1,0.10-7 | |
| G-V. F | Composés non spécifiés | 1,0.10-9 | ||
| Cl-38 | A. F | Composés non spécifiés, pas de forme chimique particulière assignée | 4,5.10-11 | 2,9.10-11 | 
| A. M | Pas de forme chimique particulière assignée | 5,8.10-11 | 4,0.10-11 | |
| A. S | Pas de forme chimique particulière assignée | 5,8.10-11 | 4,0.10-11 | |
| G-V. F | Composés non spécifiés | 9,2.10-11 | ||
| Cl-39 | A. F | Composés non spécifiés, pas de forme chimique particulière assignée | 4,0.10-11 | 2,5.10-11 | 
| A. M | Pas de forme chimique particulière assignée | 5,4.10-11 | 3,8.10-11 | |
| A. S | Pas de forme chimique particulière assignée | 5,5.10-11 | 3,8.10-11 | |
| G-V. F | Composés non spécifiés | 8,3.10-11 | ||
| Potassium | ||||
| K-40 | A. F | Pas de forme chimique particulière assignée | 2,2.10-9 | 1,4.10-9 | 
| A. M | Composés non spécifiés, pas de forme chimique particulière assignée | 5,8,10-9 | 1,0.10-8 | |
| A. S | Pas de forme chimique particulière assignée | 1,3.10-7 | 2,6.10-7 | |
| K-42 | A. F | Pas de forme chimique particulière assignée | 2,2.10-10 | 1,3.10-10 | 
| A. M | Composés non spécifiés, pas de forme chimique particulière assignée | 4,0.10-10 | 3,4.10-10 | |
| A. S | Pas de forme chimique particulière assignée | 4,3.10-10 | 3,7.10-10 | |
| K-43 | A. F | Pas de forme chimique particulière assignée | 1,5.10-10 | 9,2.10-11 | 
| A. M | Composés non spécifiés, pas de forme chimique particulière assignée | 2,7.10-10 | 2,2.10-10 | |
| A. S | Pas de forme chimique particulière assignée | 2,9.10-10 | 2,5.10-10 | |
| K-44 | A. F | Pas de forme chimique particulière assignée | 3,0.10-11 | 2,0.10-11 | 
| A. M | Composés non spécifiés, pas de forme chimique particulière assignée | 3,7.10-11 | 2,5.10-11 | |
| A. S | Pas de forme chimique particulière assignée | 3,8.10-11 | 2,6.10-11 | |
| K-45 | A. F | Pas de forme chimique particulière assignée | 1,9.10-11 | 1,3.10-11 | 
| A. M | Composés non spécifiés, pas de forme chimique particulière assignée | 2,3.10-11 | 1,6.10-11 | |
| A. S | Pas de forme chimique particulière assignée | 2,3.10-11 | 1,6.10-11 | |
| Calcium | ||||
| Ca-41 | A. F | Chlorure de calcium | 6,7.10-12 | 4,8.10-12 | 
| A. M | Autres composés et composés non spécifiés | 1,3.10-11 | 2,5.10-11 | |
| A. S | Pas de forme chimique particulière assignée | 3,1.10-10 | 6,0.10-10 | |
| Ca-45 | A. F | Chlorure de calcium | 3,2.10-10 | 2,3.10-10 | 
| A. M | Autres composés et composés non spécifiés | 6,2.10-10 | 9,5.10-10 | |
| A. S | Pas de forme chimique particulière assignée | 1,1.10-9 | 1,8.10-9 | |
| Ca-47 | A. F | Chlorure de calcium | 5,7.10-10 | 3,8.10-10 | 
| A. M | Autres composés et composés non spécifiés | 7,6.10-10 | 8,6.10-10 | |
| A. S | Pas de forme chimique particulière assignée | 8,2.10-10 | 9,9.10-10 | |
| Scandium | ||||
| Sc-43 | A. F | Pas de forme chimique particulière assignée | 7,0.10-11 | 4,5.10-11 | 
| A. M | Composés non spécifiés, pas de forme chimique particulière assignée | 9,8.10-11 | 7,3.10-11 | |
| A. S | Pas de forme chimique particulière assignée | 1,0.10-10 | 7,5.10-11 | |
| Sc-44 | A. F | Pas de forme chimique particulière assignée | 1,1.10-10 | 7,2.10-11 | 
| A. M | Composés non spécifiés, pas de forme chimique particulière assignée | 1,5.10-10 | 1,1.10-10 | |
| A. S | Pas de forme chimique particulière assignée | 1,5.10-10 | 1,1.10-10 | |
| Sc-44m | A. F | Pas de forme chimique particulière assignée | 7,2.10-10 | 5,0.10-10 | 
| A. M | Composés non spécifiés, pas de forme chimique particulière assignée | 8,5.10-10 | 8,2.10-10 | |
| A. S | Pas de forme chimique particulière assignée | 9,0.10-10 | 9,0.10-10 | |
| Sc-46 | A. F | Pas de forme chimique particulière assignée | 4,8.10-9 | 4,3.10-9 | 
| A. M | Composés non spécifiés, pas de forme chimique particulière assignée | 2,9.10-9 | 4,6.10-9 | |
| A. S | Pas de forme chimique particulière assignée | 3,6.10-9 | 6,1.10-9 | |
| Sc-47 | A. F | Pas de forme chimique particulière assignée | 1,1.10-10 | 8,1.10-11 | 
| A. M | Composés non spécifiés, pas de forme chimique particulière assignée | 2,0.10-10 | 2,4.10-10 | |
| A. S | Pas de forme chimique particulière assignée | 2,2.10-10 | 2,7.10-10 | |
| Sc-48 | A. F | Pas de forme chimique particulière assignée | 6,5.10-10 | 4,3.10-10 | 
| A. M | Composés non spécifiés, pas de forme chimique particulière assignée | 7,6.10-10 | 6,2.10-10 | |
| A. S | Pas de forme chimique particulière assignée | 7,8.10-10 | 6,6.10-10 | |
| Sc-49 | A. F | Pas de forme chimique particulière assignée | 3,4.10-11 | 2,2.10-11 | 
| A. M | Composés non spécifiés, pas de forme chimique particulière assignée | 4,6.10-11 | 3,2.10-11 | |
| A. S | Pas de forme chimique particulière assignée | 4,6.10-11 | 3,2.10-11 | |
| Titane | ||||
| Ti-44 | A. F | Pas de forme chimique particulière assignée | 2,4.10-7 | 2,3.10-7 | 
| A. M | Composés non spécifiés, pas de forme chimique particulière assignée | 6,5.10-8 | 1,2.10-7 | |
| A. S | Pas de forme chimique particulière assignée | 2,1.10-7 | 4,1.10-7 | |
| Ti-45 | A. F | Pas de forme chimique particulière assignée | 5,3.10-11 | 3,4.10-11 | 
| A. M | Composés non spécifiés, pas de forme chimique particulière assignée | 7,6.10-11 | 5,6.10-11 | |
| A. S | Pas de forme chimique particulière assignée | 7,7.10-11 | 5,7.10-11 | |
| Vanadium | ||||
| V-47 | A. F | Pas de forme chimique particulière assignée | 2,7.10-11 | 1,7.10-11 | 
| A. M | Composés non spécifiés, pas de forme chimique particulière assignée | 3,4.10-11 | 2,3.10-11 | |
| A. S | Pas de forme chimique particulière assignée | 3,4.10-11 | 2,3.10-11 | |
| V-48 | A. F | Pas de forme chimique particulière assignée | 1,2.10-9 | 8,8.10-10 | 
| A. M | Composés non spécifiés, pas de forme chimique particulière assignée | 1,6.10-9 | 1,9.10-9 | |
| A. S | Pas de forme chimique particulière assignée | 1,7.10-9 | 2,3.10-9 | |
| V-49 | A. F | Pas de forme chimique particulière assignée | 8,9.10-12 | 7,2.10-12 | 
| A. M | Composés non spécifiés, pas de forme chimique particulière assignée | 1,4.10-11 | 2,6.10-11 | |
| A. S | Pas de forme chimique particulière assignée | 3,7.10-11 | 7,3.10-11 | |
| V-50 | A. F | Pas de forme chimique particulière assignée | 1,5.10-9 | 1,1.10-9 | 
| A. M | Composés non spécifiés, pas de forme chimique particulière assignée | 2,5.10-9 | 4,2.10-9 | |
| A. S | Pas de forme chimique particulière assignée | 5,2.10-8 | 1,0.10-7 | |
| Chrome | ||||
| Cr-48 | A. F | Pas de forme chimique particulière assignée | 1,0.10-10 | 7,2.10-11 | 
| A. M | Composés non spécifiés, pas de forme chimique particulière assignée | 1,3.10-10 | 1,4.10-10 | |
| A. S | Pas de forme chimique particulière assignée | 1,4.10-10 | 1,6.10-10 | |
| Cr-49 | A. F | Pas de forme chimique particulière assignée | 2,8.10-11 | 1,8.10-11 | 
| A. M | Composés non spécifiés, pas de forme chimique particulière assignée | 3,7.10-11 | 2,5.10-11 | |
| A. S | Pas de forme chimique particulière assignée | 3,7.10-11 | 2,5.10-11 | |
| Cr-51 | A. F | Pas de forme chimique particulière assignée | 2,8.10-11 | 2,3.10-11 | 
| A. M | Composés non spécifiés, pas de forme chimique particulière assignée | 2,4.10-11 | 3,5.10-11 | |
| A. S | Pas de forme chimique particulière assignée | 2,8.10-11 | 4,4.10-11 | |
| Manganèse | ||||
| Mn-51 | A. F | Pas de forme chimique particulière assignée | 3,7.10-11 | 2,4.10-11 | 
| A. M | Composés non spécifiés, pas de forme chimique particulière assignée | 4,9.10-11 | 3,3.10-11 | |
| A. S | Pas de forme chimique particulière assignée | 4,9.10-11 | 3,4.10-11 | |
| Mn-52 | A. F | Pas de forme chimique particulière assignée | 1,2.10-9 | 9,2.10-10 | 
| A. M | Composés non spécifiés, pas de forme chimique particulière assignée | 1,1.10-9 | 1,1.10-9 | |
| A. S | Pas de forme chimique particulière assignée | 1,1.10-9 | 1,1.10-9 | |
| Mn-52m | A. F | Pas de forme chimique particulière assignée | 2,6.10-11 | 1,7.10-11 | 
| A. M | Composés non spécifiés, pas de forme chimique particulière assignée | 3,1.10-11 | 2,1.10-11 | |
| A. S | Pas de forme chimique particulière assignée | 3,2.10-11 | 2,1.10-11 | |
| Mn-53 | A. F | Pas de forme chimique particulière assignée | 1,4.10-11 | 1,3.10-11 | 
| A. M | Composés non spécifiés, pas de forme chimique particulière assignée | 2,3.10-11 | 4,4.10-11 | |
| A. S | Pas de forme chimique particulière assignée | 5,1.10-10 | 1,0.10-9 | |
| Mn-54 | A. F | Pas de forme chimique particulière assignée | 1,1.10-9 | 9,3.10-10 | 
| A. M | Composés non spécifiés, pas de forme chimique particulière assignée | 1,3.10-9 | 2,1.10-9 | |
| A. S | Pas de forme chimique particulière assignée | 2,8.10-9 | 5,2.10-9 | |
| Mn-56 | A. F | Pas de forme chimique particulière assignée | 8,5.10-11 | 5,5.10-11 | 
| A. M | Composés non spécifiés, pas de forme chimique particulière assignée | 1,2.10-10 | 8,6.10-11 | |
| A. S | Pas de forme chimique particulière assignée | 1,2.10-10 | 8,7.10-11 | |
| Fer | ||||
| Fe-52 | A. F | Pas de forme chimique particulière assignée | 3,4.10-10 | 2,2.10-10 | 
| A. M | Chlorure de fer, oxyde ferrique, autres composés et composés non spécifiés | 4,6.10-10 | 3,6.10-10 | |
| A. S | Produits de corrosion | 4,7.10-10 | 3,7.10-10 | |
| Fe-55 | A. F | Pas de forme chimique particulière assignée | 1,2.10-9 | 8,9.10-10 | 
| A. M | Chlorure de fer, oxyde ferrique, autres composés et composés non spécifiés | 1,9.10-10 | 3,1.10-10 | |
| A. S | Produits de corrosion | 1,2.10-10 | 2,3.10-10 | |
| Fe-59 | A. F | Pas de forme chimique particulière assignée | 5,6.10-9 | 4,1.10-9 | 
| A. M | Chlorure de fer, oxyde ferrique, autres composés et composés non spécifiés | 1,7.10-9 | 2,4.10-9 | |
| A. S | Produits de corrosion | 1,7.10-9 | 2,6.10-9 | |
| Fe-60 | A. F | Pas de forme chimique particulière assignée | 1,1.10-7 | 7,8.10-8 | 
| A. M | Chlorure de fer, oxyde ferrique, autres composés et composés non spécifiés | 1,8.10-8 | 2,8.10-8 | |
| A. S | Produits de corrosion | 9,7.10-8 | 1,9.10-7 | |
| Cobalt | ||||
| Co-55 | A. F | Chlorure et nitrate de cobalt | 3,5.10-10 | 2,5.10-10 | 
| A. M | Autres composés et composés non spécifiés | 3,8.10-10 | 3,0.10-10 | |
| A. S | Oxyde de cobalt, particules d'aluminosilicate fondues, polystyrène | 3,9.10-10 | 3,1.10-10 | |
| Co-56 | A. F | Chlorure et nitrate de cobalt | 1,8.10-9 | 1,8.10-9 | 
| A. M | Autres composés et composés non spécifiés | 3,5.10-9 | 5,5.10-9 | |
| A. S | Oxyde de cobalt, particules d'aluminosilicate fondues, polystyrène | 5,0.10-9 | 8,6.10-9 | |
| Co-57 | A. F | Chlorure et nitrate de cobalt | 1,5.10-10 | 1,7.10-10 | 
| A. M | Autres composés et composés non spécifiés | 3,0.10-10 | 5,2.10-10 | |
| A. S | Oxyde de cobalt, particules d'aluminosilicate fondues, polystyrène | 6,4.10-10 | 1,2.10-9 | |
| Co-58 | A. F | Chlorure et nitrate de cobalt | 5,3.10-10 | 5,2.10-10 | 
| A. M | Autres composés et composés non spécifiés | 1,0.10-9 | 1,6.10-9 | |
| A. S | Oxyde de cobalt, particules d'aluminosilicate fondues, polystyrène | 1,4.10-9 | 2,4.10-9 | |
| Co-58m | A. F | Chlorure et nitrate de cobalt | 3,1.10-12 | 3,5.10-12 | 
| A. M | Autres composés et composés non spécifiés | 5,8.10-12 | 9,3.10-12 | |
| A. S | Oxyde de cobalt, particules d'aluminosilicate fondues, polystyrène | 8,0.10-12 | 1,4.10-11 | |
| Co-60 | A. F | Chlorure et nitrate de cobalt | 4,2.10-9 | 5,0.10-9 | 
| A. M | Autres composés et composés non spécifiés | 6,2.10-9 | 1,1.10-8 | |
| A. S | Oxyde de cobalt, particules d'aluminosilicate fondues, polystyrène | 3,1.10-8 | 5,9.10-8 | |
| Co-60m | A. F | Chlorure et nitrate de cobalt | 9,0.10-13 | 9,7.10-13 | 
| A. M | Autres composés et composés non spécifiés | 9,1.10-13 | 1,0.10-12 | |
| A. S | Oxyde de cobalt, particules d'aluminosilicate fondues, polystyrène | 1,0.10-12 | 1,2.10-12 | |
| Co-61 | A. F | Chlorure et nitrate de cobalt | 4,8.10-11 | 3,5.10-11 | 
| A. M | Autres composés et composés non spécifiés | 4,9.10-11 | 3,6.10-11 | |
| A. S | Oxyde de cobalt, particules d'aluminosilicate fondues, polystyrène | 4,9.10-11 | 3,6.10-11 | |
| Co-62m | A. F | Chlorure et nitrate de cobalt | 2,1.10-11 | 1,4.10-11 | 
| A. M | Autres composés et composés non spécifiés | 2,1.10-11 | 1,4.10-11 | |
| A. S | Oxyde de cobalt, particules d'aluminosilicate fondues, polystyrène | 2,1.10-11 | 1,4.10-11 | |
| Nickel | ||||
| Ni-56 | A. F | Chlorure, sulfate, monosulfure, sous-sulfure | 4,3.10-10 | 2,9.10-10 | 
| A. M | Composés non spécifiés, nickel métallique | 7,1.10-10 | 8,5.10-10 | |
| A. S | Oxyde | 8,9.10-10 | 1,2.10-9 | |
| G-V. F | Carbonyle | 7,1.10-10 | ||
| Ni-57 | A. F | Chlorure, sulfate, monosulfure, sous-sulfure | 3,3.10-10 | 2,1.10-10 | 
| A. M | Composés non spécifiés, nickel métallique | 4,0.10-10 | 3,1.10-10 | |
| A. S | Oxyde | 4,1.10-10 | 3,4.10-10 | |
| G-V. F | Carbonyle | 5,1.10-10 | ||
| Ni-59 | A. F | Chlorure, sulfate, monosulfure, sous-sulfure | 2,6.10-11 | 3,3.10-11 | 
| A. M | Composés non spécifiés, nickel métallique | 4,0.10-11 | 7,6.10-11 | |
| A. S | Oxyde | 7,6.10-10 | 1,5.10-9 | |
| G-V. F | Carbonyle | 1,6.10-10 | ||
| Ni-63 | A. F | Chlorure, sulfate, monosulfure, sous-sulfure | 7,1.10-11 | 9,2.10-11 | 
| A. M | Composés non spécifiés, nickel métallique | 1,5.10-10 | 2,5.10-10 | |
| A. S | Oxyde | 1,7.10-9 | 3,1.10-9 | |
| G-V. F | Carbonyle | 4,7.10-10 | ||
| Ni-65 | A. F | Chlorure, sulfate, monosulfure, sous-sulfure | 7,5.10-11 | 5,3.10-11 | 
| A. M | Composés non spécifiés, nickel métallique | 8,1.10-11 | 6,0.10-11 | |
| A. S | Oxyde | 8,2.10-11 | 6,1.10-11 | |
| G-V. F | Carbonyle | 2,3.10-10 | ||
| Ni-66 | A. F | Chlorure, sulfate, monosulfure, sous-sulfure | 5,1.10-10 | 3,5.10-10 | 
| A. M | Composés non spécifiés, nickel métallique | 8,0.10-10 | 8,6.10-10 | |
| A. S | Oxyde | 8,7.10-10 | 9,9.10-10 | |
| G-V. F | Carbonyle | 1,2.10-9 | ||
| Cuivre | ||||
| Cu-60 | A. F | Pas de forme chimique particulière assignée | 2,9.10-11 | 1,9.10-11 | 
| A. M | Composés non spécifiés, pas de forme chimique particulière assignée | 3,4.10-11 | 2,3.10-11 | |
| A. S | Pas de forme chimique particulière assignée | 3,4.10-11 | 2,3.10-11 | |
| Cu-61 | A. F | Pas de forme chimique particulière assignée | 4,8.10-11 | 3,1.10-11 | 
| A. M | Composés non spécifiés, pas de forme chimique particulière assignée | 6,6.10-11 | 4,9.10-11 | |
| A. S | Pas de forme chimique particulière assignée | 6,7.10-11 | 5,0.10-11 | |
| Cu-64 | A. F | Pas de forme chimique particulière assignée | 4,2.10-11 | 2,7.10-11 | 
| A. M | Composés non spécifiés, pas de forme chimique particulière assignée | 6,7.10-11 | 5,7.10-11 | |
| A. S | Pas de forme chimique particulière assignée | 6,9.10-11 | 6,1.10-11 | |
| Cu-67 | A. F | Pas de forme chimique particulière assignée | 1,1.10-10 | 7,5.10-11 | 
| A. M | Composés non spécifiés, pas de forme chimique particulière assignée | 1,9.10-10 | 2,2.10-10 | |
| A. S | Pas de forme chimique particulière assignée | 2,1.10-10 | 2,4.10-10 | |
| Zinc | ||||
| Zn-62 | A. F | Oxyde, chromate | 2,9.10-10 | 1,9.10-10 | 
| A. M | Nitrate, phosphate, autres composés et composés non spécifiés | 3,9.10-10 | 3,1.10-10 | |
| A. S | Produits de corrosion | 4,0.10-10 | 3,3.10-10 | |
| Zn-63 | A. F | Oxyde, chromate | 3,2.10-11 | 2,1.10-11 | 
| A. M | Nitrate, phosphate, autres composés et composés non spécifiés | 4,2.10-11 | 2,8.10-11 | |
| A. S | Produits de corrosion | 4,2.10-11 | 2,9.10-11 | |
| Zn-65 | A. F | Oxyde, chromate | 3,8.10-9 | 2,7.10-9 | 
| A. M | Nitrate, phosphate, autres composés et composés non spécifiés | 1,5.10-9 | 2,0.10-9 | |
| A. S | Produits de corrosion | 1,7.10-9 | 3,0.10-9 | |
| Zn-69 | A. F | Oxyde, chromate | 1,9.10-11 | 1,2.10-11 | 
| A. M | Nitrate, phosphate, autres composés et composés non spécifiés | 2,8.10-11 | 1,9.10-11 | |
| A. S | Produits de corrosion | 2,8.10-11 | 1,9.10-11 | |
| Zn-69m | A. F | Oxyde, chromate | 1,0.10-10 | 6,7.10-11 | 
| A. M | Nitrate, phosphate, autres composés et composés non spécifiés | 1,5.10-10 | 1,3.10-10 | |
| A. S | Produits de corrosion | 1,5.10-10 | 1,4.10-10 | |
| Zn-71m | A. F | Oxyde, chromate | 9,4.10-11 | 6,0.10-11 | 
| A. M | Nitrate, phosphate, autres composés et composés non spécifiés | 1,3.10-10 | 9,6.10-11 | |
| A. S | Produits de corrosion | 1,3.10-10 | 9,9.10-11 | |
| Zn-72 | A. F | Oxyde, chromate | 7,9.10-10 | 5,4.10-10 | 
| A. M | Nitrate, phosphate, autres composés et composés non spécifiés | 7,6.10-10 | 7,4.10-10 | |
| A. S | Produits de corrosion | 7,6.10-10 | 7,9.10-10 | |
| Gallium | ||||
| Ga-65 | A. F | Pas de forme chimique particulière assignée | 1,5.10-11 | 1,0.10-11 | 
| A. M | Composés non spécifiés, pas de forme chimique particulière assignée | 1,8.10-11 | 1,2.10-11 | |
| A. S | Pas de forme chimique particulière assignée | 1,8.10-11 | 1,2.10-11 | |
| Ga-66 | A. F | Pas de forme chimique particulière assignée | 2,8.10-10 | 1,8.10-10 | 
| A. M | Composés non spécifiés, pas de forme chimique particulière assignée | 3,6.10-10 | 2,8.10-10 | |
| A. S | Pas de forme chimique particulière assignée | 3,7.10-10 | 2,9.10-10 | |
| Ga-67 | A. F | Pas de forme chimique particulière assignée | 5,5.10-11 | 4,0.10-11 | 
| A. M | Composés non spécifiés, pas de forme chimique particulière assignée | 9,6.10-11 | 1,1.10-10 | |
| A. S | Pas de forme chimique particulière assignée | 1,1.10-10 | 1,2.10-10 | |
| Ga-68 | A. F | Pas de forme chimique particulière assignée | 4,1.10-11 | 2,6.10-11 | 
| A. M | Composés non spécifiés, pas de forme chimique particulière assignée | 5,5.10-11 | 3,8.10-11 | |
| A. S | Pas de forme chimique particulière assignée | 5,5.10-11 | 3,9.10-11 | |
| Ga-70 | A. F | Pas de forme chimique particulière assignée | 1,5.10-11 | 9,7.10-12 | 
| A. M | Composés non spécifiés, pas de forme chimique particulière assignée | 1,9.10-11 | 1,2.10-11 | |
| A. S | Pas de forme chimique particulière assignée | 1,9.10-11 | 1,3.10-11 | |
| Ga-72 | A. F | Pas de forme chimique particulière assignée | 3,1.10-10 | 1,9.10-10 | 
| A. M | Composés non spécifiés, pas de forme chimique particulière assignée | 4,0.10-10 | 3,0.10-10 | |
| A. S | Pas de forme chimique particulière assignée | 4,1.10-10 | 3,2.10-10 | |
| Ga-73 | A. F | Pas de forme chimique particulière assignée | 6,6.10-11 | 4,4.10-11 | 
| A. M | Composés non spécifiés, pas de forme chimique particulière assignée | 1,1.10-10 | 8,7.10-11 | |
| A. S | Pas de forme chimique particulière assignée | 1,1.10-10 | 9,1.10-11 | |
| Germanium | ||||
| Ge-66 | A. F | Pas de forme chimique particulière assignée | 6,4.10-11 | 3,9.10-11 | 
| A. M | Composés non spécifiés, pas de forme chimique particulière assignée | 9,9.10-11 | 7,7.10-11 | |
| A. S | Pas de forme chimique particulière assignée | 1,0.10-10 | 8,2.10-11 | |
| Ge-67 | A. F | Pas de forme chimique particulière assignée | 2,3.10-11 | 1,5.10-11 | 
| A. M | Composés non spécifiés, pas de forme chimique particulière assignée | 2,7.10-11 | 1,9.10-11 | |
| A. S | Pas de forme chimique particulière assignée | 2,7.10-11 | 1,9.10-11 | |
| Ge-68 | A. F | Pas de forme chimique particulière assignée | 2,4.10-10 | 1,4.10-10 | 
| A. M | Composés non spécifiés, pas de forme chimique particulière assignée | 6,5.10-9 | 1,2.10-8 | |
| A. S | Pas de forme chimique particulière assignée | 1,7.10-8 | 3,3.10-8 | |
| Ge-69 | A. F | Pas de forme chimique particulière assignée | 7,1.10-11 | 4,3.10-11 | 
| A. M | Composés non spécifiés, pas de forme chimique particulière assignée | 2,1.10-10 | 1,8.10-10 | |
| A. S | Pas de forme chimique particulière assignée | 2,4.10-10 | 2,0.10-10 | |
| Ge-71 | A. F | Pas de forme chimique particulière assignée | 1,2.10-12 | 7,5.10-13 | 
| A. M | Composés non spécifiés, pas de forme chimique particulière assignée | 6,6.10-12 | 1,1.10-11 | |
| A. S | Pas de forme chimique particulière assignée | 8,4.10-12 | 1,4.10-11 | |
| Ge-75 | A. F | Pas de forme chimique particulière assignée | 2,8.10-11 | 1,8.10-11 | 
| A. M | Composés non spécifiés, pas de forme chimique particulière assignée | 4,0.10-11 | 2,9.10-11 | |
| A. S | Pas de forme chimique particulière assignée | 4,1.10-11 | 2,9.10-11 | |
| Ge-77 | A. F | Pas de forme chimique particulière assignée | 1,4.10-10 | 8,4.10-11 | 
| A. M | Composés non spécifiés, pas de forme chimique particulière assignée | 2,8.10-10 | 2,4.10-10 | |
| A. S | Pas de forme chimique particulière assignée | 3,1.10-10 | 2,7.10-10 | |
| Ge-78 | A. F | Pas de forme chimique particulière assignée | 6,7.10-11 | 4,2.10-11 | 
| A. M | Composés non spécifiés, pas de forme chimique particulière assignée | 1,0.10-10 | 7,8.10-11 | |
| A. S | Pas de forme chimique particulière assignée | 1,0.10-10 | 8,0.10-11 | |
| Arsenic | ||||
| As-69 | A. F | Pas de forme chimique particulière assignée | 1,9.10-11 | 1,3.10-11 | 
| A. M | Composés non spécifiés, pas de forme chimique particulière assignée | 2,3.10-11 | 1,6.10-11 | |
| A. S | Pas de forme chimique particulière assignée | 2,4.10-11 | 1,6.10-11 | |
| As-70 | A. F | Pas de forme chimique particulière assignée | 5,4.10-11 | 3,5.10-11 | 
| A. M | Composés non spécifiés, pas de forme chimique particulière assignée | 7,0.10-11 | 4,8.10-11 | |
| A. S | Pas de forme chimique particulière assignée | 7,0.10-11 | 4,8.10-11 | |
| As-71 | A. F | Pas de forme chimique particulière assignée | 1,3.10-10 | 8,2.10-11 | 
| A. M | Composés non spécifiés, pas de forme chimique particulière assignée | 2,2.10-10 | 2,1.10-10 | |
| A. S | Pas de forme chimique particulière assignée | 2,4.10-10 | 2,4.10-10 | |
| As-72 | A. F | Pas de forme chimique particulière assignée | 3,8.10-10 | 2,4.10-10 | 
| A. M | Composés non spécifiés, pas de forme chimique particulière assignée | 6,9.10-10 | 5,9.10-10 | |
| A. S | Pas de forme chimique particulière assignée | 7,4.10-10 | 6,6.10-10 | |
| As-73 | A. F | Pas de forme chimique particulière assignée | 7,7.10-11 | 5,1.10-11 | 
| A. M | Composés non spécifiés, pas de forme chimique particulière assignée | 3,5.10-10 | 5,6.10-10 | |
| A. S | Pas de forme chimique particulière assignée | 5,5.10-10 | 9,1.10-10 | |
| As-74 | A. F | Pas de forme chimique particulière assignée | 4,6.10-10 | 2,9.10-10 | 
| A. M | Composés non spécifiés, pas de forme chimique particulière assignée | 9,1.10-10 | 1,3.10-9 | |
| A. S | Pas de forme chimique particulière assignée | 1,1.10-9 | 1,6.10-9 | |
| As-76 | A. F | Pas de forme chimique particulière assignée | 2,9.10-10 | 1,8.10-10 | 
| A. M | Composés non spécifiés, pas de forme chimique particulière assignée | 5,2.10-10 | 4,7.10-10 | |
| A. S | Pas de forme chimique particulière assignée | 5,6.10-10 | 5,3.10-10 | |
| As-77 | A. F | Pas de forme chimique particulière assignée | 8,2.10-11 | 5,1.10-11 | 
| A. M | Composés non spécifiés, pas de forme chimique particulière assignée | 1,6.10-10 | 1,6.10-10 | |
| A. S | Pas de forme chimique particulière assignée | 1,7.10-10 | 1,9.10-10 | |
| As-78 | A. F | Pas de forme chimique particulière assignée | 7,3.10-11 | 4,6.10-11 | 
| A. M | Composés non spécifiés, pas de forme chimique particulière assignée | 9,9.10-11 | 7,1.10-11 | |
| A. S | Pas de forme chimique particulière assignée | 1,0.10-10 | 7,2.10-11 | |
| Sélénium | ||||
| Se-70 | A. F | Dioxyde, acide sélénieux, sélénium élémentaire, | 4,5.10-11 | 2,9.10-11 | 
| A. M | Composés non spécifiés, pas de forme chimique particulière assignée | 6,2.10-11 | 4,4.10-11 | |
| A. S | Pas de forme chimique particulière assignée | 6,3.10-11 | 4,5.10-11 | |
| Se-72 | A. F | Dioxyde, acide sélénieux, sélénium élémentaire, | 2,6.10-9 | 1,7.10-9 | 
| A. M | Composés non spécifiés, pas de forme chimique particulière assignée | 1,9.10-9 | 2,5.10-9 | |
| A. S | Pas de forme chimique particulière assignée | 1,8.10-9 | 2,8.10-9 | |
| Se-73 | A. F | Dioxyde, acide sélénieux, sélénium élémentaire, | 1,0.10-10 | 6,5.10-11 | 
| A. M | Composés non spécifiés, pas de forme chimique particulière assignée | 1,5.10-10 | 1,1.10-10 | |
| A. S | Pas de forme chimique particulière assignée | 1,5.10-10 | 1,2.10-10 | |
| Se-73m | A. F | Dioxyde, acide sélénieux, sélénium élémentaire, | 1,3.10-11 | 8,1.10-12 | 
| A. M | Composés non spécifiés, pas de forme chimique particulière assignée | 1,7.10-11 | 1,3.10-11 | |
| A. S | Pas de forme chimique particulière assignée | 1,8.10-11 | 1,3.10-11 | |
| Se-75 | A. F | Dioxyde, acide sélénieux, sélénium élémentaire, | 1,8.10-9 | 1,2.10-9 | 
| A. M | Composés non spécifiés, pas de forme chimique particulière assignée | 8,9.10-10 | 1,2.10-9 | |
| A. S | Pas de forme chimique particulière assignée | 9,1.10-10 | 1,6.10-9 | |
| Se-79 | A. F | Dioxyde, acide sélénieux, sélénium élémentaire, | 1,4.10-9 | 9,6.10-10 | 
| A. M | Composés non spécifiés, pas de forme chimique particulière assignée | 9,7.10-10 | 1,3.10-9 | |
| A. S | Pas de forme chimique particulière assignée | 7,4.10-9 | 1,3.10-8 | |
| Se-81 | A. F | Dioxyde, acide sélénieux, sélénium élémentaire, | 1,3.10-11 | 8,6.10-12 | 
| A. M | Composés non spécifiés, pas de forme chimique particulière assignée | 1,6.10-11 | 1,1.10-11 | |
| A. S | Pas de forme chimique particulière assignée | 1,6.10-11 | 1,1.10-11 | |
| Se-81m | A. F | Dioxyde, acide sélénieux, sélénium élémentaire, | 3,1.10-11 | 2,0.10-11 | 
| A. M | Composés non spécifiés, pas de forme chimique particulière assignée | 4,8.10-11 | 3,5.10-11 | |
| A. S | Pas de forme chimique particulière assignée | 4,9.10-11 | 3,6.10-11 | |
| Se-83 | A. F | Dioxyde, acide sélénieux, sélénium élémentaire, | 2,2.10-11 | 1,5.10-11 | 
| A. M | Composés non spécifiés, pas de forme chimique particulière assignée | 2,9.10-11 | 2,0.10-11 | |
| A. S | Pas de forme chimique particulière assignée | 3,0.10-11 | 2,1.10-11 | |
| Brome | ||||
| Br-74 | A. F | Composés non spécifiés, pas de forme chimique particulière assignée | 3,2.10-11 | 2,1.10-11 | 
| A. M | Pas de forme chimique particulière assignée | 4,0.10-11 | 2,7.10-11 | |
| A. S | Pas de forme chimique particulière assignée | 4,0.10-11 | 2,7.10-11 | |
| G-V. F | Composés non spécifiés | 6,9.10-11 | ||
| Br-74m | A. F | Composés non spécifiés, pas de forme chimique particulière assignée | 5,5.10-11 | 3,5.10-11 | 
| A. M | Pas de forme chimique particulière assignée | 7,3.10-11 | 5,0.10-11 | |
| A. S | Pas de forme chimique particulière assignée | 7,3.10-11 | 5,1.10-11 | |
| G-V. F | Composés non spécifiés | 1,1.10-10 | ||
| Br-75 | A. F | Composés non spécifiés, pas de forme chimique particulière assignée | 4,1.10-11 | 2,6.10-11 | 
| A. M | Pas de forme chimique particulière assignée | 5,9.10-11 | 4,2.10-11 | |
| A. S | Pas de forme chimique particulière assignée | 6,0.10-11 | 4,3.10-11 | |
| G-V. F | Composés non spécifiés | 8,1.10-11 | ||
| Br-76 | A. F | Composés non spécifiés, pas de forme chimique particulière assignée | 2,7.10-10 | 1,7.10-10 | 
| A. M | Pas de forme chimique particulière assignée | 4,6.10-10 | 3,6.10-10 | |
| A. S | Pas de forme chimique particulière assignée | 4,9.10-10 | 3,9.10-10 | |
| G-V. F | Composés non spécifiés | 3,9.10-10 | ||
| Br-77 | A. F | Composés non spécifiés, pas de forme chimique particulière assignée | 5,9.10-11 | 3,8.10-11 | 
| A. M | Pas de forme chimique particulière assignée | 7,7.10-11 | 6,3.10-11 | |
| A. S | Pas de forme chimique particulière assignée | 8,1.10-11 | 6,8.10-11 | |
| G-V. F | Composés non spécifiés | 8,5.10-11 | ||
| Br-80 | A. F | Composés non spécifiés, pas de forme chimique particulière assignée | 1,4.10-11 | 8,8.10-12 | 
| A. M | Pas de forme chimique particulière assignée | 1,7.10-11 | 1,1.10-11 | |
| A. S | Pas de forme chimique particulière assignée | 1,7.10-11 | 1,1.10-11 | |
| G-V. F | Composés non spécifiés | 3,5.10-11 | ||
| Br-80m | A. F | Composés non spécifiés, pas de forme chimique particulière assignée | 6,6.10-11 | 4,1.10-11 | 
| A. M | Pas de forme chimique particulière assignée | 1,1.10-10 | 9,2.10-11 | |
| A. S | Pas de forme chimique particulière assignée | 1,1.10-10 | 9,7.10-11 | |
| G-V. F | Composés non spécifiés | 1,1.10-10 | ||
| Br-82 | A. F | Composés non spécifiés, pas de forme chimique particulière assignée | 3,4.10-10 | 2,2.10-10 | 
| A. M | Pas de forme chimique particulière assignée | 5,3.10-10 | 4,3.10-10 | |
| A. S | Pas de forme chimique particulière assignée | 5,7.10-10 | 4,7.10-10 | |
| G-V. F | Composés non spécifiés | 5,1.10-10 | ||
| Br-83 | A. F | Composés non spécifiés, pas de forme chimique particulière assignée | 2,9.10-11 | 1,9.10-11 | 
| A. M | Pas de forme chimique particulière assignée | 4,8.10-11 | 3,6.10-11 | |
| A. S | Pas de forme chimique particulière assignée | 4,9.10-11 | 3,7.10-11 | |
| G-V. F | Composés non spécifiés | 7,2.10-11 | ||
| Br-84 | A. F | Composés non spécifiés, pas de forme chimique particulière assignée | 3,5.10-11 | 2,2.10-11 | 
| A. M | Pas de forme chimique particulière assignée | 4,4.10-11 | 3,0.10-11 | |
| A. S | Pas de forme chimique particulière assignée | 4,5.10-11 | 3,1.10-11 | |
| G-V. F | Composés non spécifiés | 7,5.10-11 | ||
| Rubidium | ||||
| Rb-78 | A. F | Pas de forme chimique particulière assignée | 2,5.10-11 | 1,7.10-11 | 
| A. M | Composés non spécifiés, pas de forme chimique particulière assignée | 3,0.10-11 | 2,0.10-11 | |
| A. S | Pas de forme chimique particulière assignée | 3,0.10-11 | 2,1.10-11 | |
| Rb-79 | A. F | Pas de forme chimique particulière assignée | 2,3.10-11 | 1,5.10-11 | 
| A. M | Composés non spécifiés, pas de forme chimique particulière assignée | 2,9.10-11 | 1,9.10-11 | |
| A. S | Pas de forme chimique particulière assignée | 2,9.10-11 | 2,0.10-11 | |
| Rb-81 | A. F | Pas de forme chimique particulière assignée | 3,5.10-11 | 2,2.10-11 | 
| A. M | Composés non spécifiés, pas de forme chimique particulière assignée | 6,2.10-11 | 4,6.10-11 | |
| A. S | Pas de forme chimique particulière assignée | 6,4.10-11 | 4,8.10-11 | |
| Rb-81m | A. F | Pas de forme chimique particulière assignée | 7,2.10-12 | 5,3.10-12 | 
| A. M | Composés non spécifiés, pas de forme chimique particulière assignée | 1,2.10-11 | 1,0.10-11 | |
| A. S | Pas de forme chimique particulière assignée | 1,3.10-11 | 1,0.10-11 | |
| Rb-82m | A. F | Pas de forme chimique particulière assignée | 8,5.10-11 | 5,4.10-11 | 
| A. M | Composés non spécifiés, pas de forme chimique particulière assignée | 1,5.10-10 | 1,0.10-10 | |
| A. S | Pas de forme chimique particulière assignée | 1,6.10-10 | 1,1.10-10 | |
| Rb-83 | A. F | Pas de forme chimique particulière assignée | 1,1.10-9 | 7,3.10-10 | 
| A. M | Composés non spécifiés, pas de forme chimique particulière assignée | 7,3.10-10 | 9,7.10-10 | |
| A. S | Pas de forme chimique particulière assignée | 8,1.10-10 | 1,4.10-9 | |
| Rb-84 | A. F | Pas de forme chimique particulière assignée | 1,6.10-9 | 1,0.10-9 | 
| A. M | Composés non spécifiés, pas de forme chimique particulière assignée | 1,3.10-9 | 1,7.10-9 | |
| A. S | Pas de forme chimique particulière assignée | 1,3.10-9 | 2,1.10-9 | |
| Rb-84m | A. F | Pas de forme chimique particulière assignée | 5,5.10-12 | 3,5.10-12 | 
| A. M | Composés non spécifiés, pas de forme chimique particulière assignée | 6,7.10-12 | 4,8.10-12 | |
| A. S | Pas de forme chimique particulière assignée | 6,7.10-12 | 5,0.10-12 | |
| Rb-86 | A. F | Pas de forme chimique particulière assignée | 1,2.10-9 | 7,6.10-10 | 
| A. M | Composés non spécifiés, pas de forme chimique particulière assignée | 1,6.10-9 | 2,3.10-9 | |
| A. S | Pas de forme chimique particulière assignée | 1,8.10-9 | 2,9.10-9 | |
| Rb-87 | A. F | Pas de forme chimique particulière assignée | 6,2.10-10 | 4,0.10-10 | 
| A. M | Composés non spécifiés, pas de forme chimique particulière assignée | 1,3.10-9 | 2,1.10-9 | |
| A. S | Pas de forme chimique particulière assignée | 1,8.10-8 | 3,4.10-8 | |
| Rb-88 | A. F | Pas de forme chimique particulière assignée | 2,9.10-11 | 1,9.10-11 | 
| A. M | Composés non spécifiés, pas de forme chimique particulière assignée | 3,5.10-11 | 2,4.10-11 | |
| A. S | Pas de forme chimique particulière assignée | 3,5.10-11 | 2,4.10-11 | |
| Rb-89 | A. F | Pas de forme chimique particulière assignée | 1,8.10-11 | 1,2.10-11 | 
| A. M | Composés non spécifiés, pas de forme chimique particulière assignée | 2,1.10-11 | 1,5.10-11 | |
| A. S | Pas de forme chimique particulière assignée | 2,2.10-11 | 1,5.10-11 | |
| Strontium | ||||
| Sr-80 | A. F | Chlorure, sulfate et carbonate de strontium | 1,3.10-10 | 7,9.10-11 | 
| A. M | Fragments de combustible, autres composés et composés non spécifiés | 1,7.10-10 | 1,2.10-10 | |
| A. S | Particules d'aluminosilicate fondues, polystyrène | 1,7.10-10 | 1,3.10-10 | |
| Sr-81 | A. F | Chlorure, sulfate et carbonate de strontium | 2,6.10-11 | 1,7.10-11 | 
| A. M | Fragments de combustible, autres composés et composés non spécifiés | 3,3.10-11 | 2,2.10-11 | |
| A. S | Particules d'aluminosilicate fondues, polystyrène | 3,3.10-11 | 2,3.10-11 | |
| Sr-82 | A. F | Chlorure, sulfate et carbonate de strontium | 2,1.10-9 | 1,5.10-9 | 
| A. M | Fragments de combustible, autres composés et composés non spécifiés | 4,3.10-9 | 6,8.10-9 | |
| A. S | Particules d'aluminosilicate fondues, polystyrène | 5,4.10-9 | 9,2.10-9 | |
| Sr-83 | A. F | Chlorure, sulfate et carbonate de strontium | 1,6.10-10 | 9,8.10-11 | 
| A. M | Fragments de combustible, autres composés et composés non spécifiés | 2,2.10-10 | 1,9.10-10 | |
| A. S | Particules d'aluminosilicate fondues, polystyrène | 2,4.10-10 | 2,1.10-10 | |
| Sr-85 | A. F | Chlorure, sulfate et carbonate de strontium | 3,8.10-10 | 2,8.10-10 | 
| A. M | Fragments de combustible, autres composés et composés non spécifiés | 5,0.10-10 | 7,5.10-10 | |
| A. S | Particules d'aluminosilicate fondues, polystyrène | 6,7.10-10 | 1,1.10-9 | |
| Sr-85m | A. F | Chlorure, sulfate et carbonate de strontium | 2,4.10-12 | 1,6.10-12 | 
| A. M | Fragments de combustible, autres composés et composés non spécifiés | 3,1.10-12 | 2,4.10-12 | |
| A. S | Particules d'aluminosilicate fondues, polystyrène | 3,3.10-12 | 2,7.10-12 | |
| Sr-87m | A. F | Chlorure, sulfate et carbonate de strontium | 1,2.10-11 | 7,5.10-12 | 
| A. M | Fragments de combustible, autres composés et composés non spécifiés | 1,7.10-11 | 1,2.10-11 | |
| A. S | Particules d'aluminosilicate fondues, polystyrène | 1,8.10-11 | 1,3.10-11 | |
| Sr-89 | A. F | Chlorure, sulfate et carbonate de strontium | 9,6.10-10 | 7,1.10-10 | 
| A. M | Fragments de combustible, autres composés et composés non spécifiés | 2,2.10-9 | 3,8.10-9 | |
| A. S | Particules d'aluminosilicate fondues, polystyrène | 3,2.10-9 | 5,7.10-9 | |
| Sr-90 | A. F | Chlorure, sulfate et carbonate de strontium | 3,2.10-8 | 2,5.10-8 | 
| A. M | Fragments de combustible, autres composés et composés non spécifiés | 1,8.10-8 | 3,0.10-8 | |
| A. S | Particules d'aluminosilicate fondues, polystyrène | 2,0.10-7 | 3,8.10-7 | |
| Sr-91 | A. F | Chlorure, sulfate et carbonate de strontium | 1,7.10-10 | 1,1.10-10 | 
| A. M | Fragments de combustible, autres composés et composés non spécifiés | 2,5.10-10 | 2,2.10-10 | |
| A. S | Particules d'aluminosilicate fondues, polystyrène | 2,7.10-10 | 2,4.10-10 | |
| Sr-92 | A. F | Chlorure, sulfate et carbonate de strontium | 1,0.10-10 | 6,3.10-11 | 
| A. M | Fragments de combustible, autres composés et composés non spécifiés | 1,5.10-10 | 1,2.10-10 | |
| A. S | Particules d'aluminosilicate fondues, polystyrène | 1,6.10-10 | 1,3.10-10 | |
| Yttrium | ||||
| Y-84m | A. F | Pas de forme chimique particulière assignée | 6,3.10-11 | 4,3.10-11 | 
| A. M | Oxyde, phosphate, autres composés et composés non spécifiés | 6,4.10-11 | 4,4.10-11 | |
| A. S | Particules d'aluminosilicate fondues | 6,4.10-11 | 4,4.10-11 | |
| Y-85 | A. F | Pas de forme chimique particulière assignée | 8,2.10-11 | 5,8.10-11 | 
| A. M | Oxyde, phosphate, autres composés et composés non spécifiés | 8,4.10-11 | 6,2.10-11 | |
| A. S | Particules d'aluminosilicate fondues | 8,5.10-11 | 6,3.10-11 | |
| Y-85m | A. F | Pas de forme chimique particulière assignée | 1,3.10-10 | 9,5.10-11 | 
| A. M | Oxyde, phosphate, autres composés et composés non spécifiés | 1,4.10-10 | 1,0.10-10 | |
| A. S | Particules d'aluminosilicate fondues | 1,4.10-10 | 1,1.10-10 | |
| Y-86 | A. F | Pas de forme chimique particulière assignée | 3,8.10-10 | 2,6.10-10 | 
| A. M | Oxyde, phosphate, autres composés et composés non spécifiés | 4,0.10-10 | 2,9.10-10 | |
| A. S | Particules d'aluminosilicate fondues | 4,0.10-10 | 2,9.10-10 | |
| Y-86m | A. F | Pas de forme chimique particulière assignée | 2,3.10-11 | 1,5.10-11 | 
| A. M | Oxyde, phosphate, autres composés et composés non spécifiés | 2,4.10-11 | 1,7.10-11 | |
| A. S | Particules d'aluminosilicate fondues | 2,4.10-11 | 1,7.10-11 | |
| Y-87 | A. F | Pas de forme chimique particulière assignée | 2,1.10-10 | 1,5.10-10 | 
| A. M | Oxyde, phosphate, autres composés et composés non spécifiés | 2,5.10-10 | 2,3.10-10 | |
| A. S | Particules d'aluminosilicate fondues | 2,6.10-10 | 2,5.10-10 | |
| Y-87m | A. F | Pas de forme chimique particulière assignée | 7,7.10-11 | 5,7.10-11 | 
| A. M | Oxyde, phosphate, autres composés et composés non spécifiés | 8,8.10-11 | 7,6.10-11 | |
| A. S | Particules d'aluminosilicate fondues | 9,1.10-11 | 8,1.10-11 | |
| Y-88 | A. F | Pas de forme chimique particulière assignée | 2,3.10-9 | 3,4.10-9 | 
| A. M | Oxyde, phosphate, autres composés et composés non spécifiés | 3,0.10-9 | 5,0.10-9 | |
| A. S | Particules d'aluminosilicate fondues | 3,9.10-9 | 6,8.10-9 | |
| Y-90 | A. F | Pas de forme chimique particulière assignée | 4,9.10-10 | 4,1.10-10 | 
| A. M | Oxyde, phosphate, autres composés et composés non spécifiés | 6,8.10-10 | 7,5.10-10 | |
| A. S | Particules d'aluminosilicate fondues | 7,3.10-10 | 8,5.10-10 | |
| Y-90m | A. F | Pas de forme chimique particulière assignée | 4,3.10-11 | 3,3.10-11 | 
| A. M | Oxyde, phosphate, autres composés et composés non spécifiés | 5,3.10-11 | 5,1.10-11 | |
| A. S | Particules d'aluminosilicate fondues | 5,5.10-11 | 5,6.10-11 | |
| Y-91 | A. F | Pas de forme chimique particulière assignée | 8,9.10-10 | 1,2.10-9 | 
| A. M | Oxyde, phosphate, autres composés et composés non spécifiés | 2,6.10-9 | 4,5.10-9 | |
| A. S | Particules d'aluminosilicate fondues | 3,7.10-9 | 6,7.10-9 | |
| Y-91m | A. F | Pas de forme chimique particulière assignée | 5,5.10-12 | 4,1.10-12 | 
| A. M | Oxyde, phosphate, autres composés et composés non spécifiés | 6,5.10-12 | 6,0.10-12 | |
| A. S | Particules d'aluminosilicate fondues | 7,2.10-12 | 7,3.10-12 | |
| Y-92 | A. F | Pas de forme chimique particulière assignée | 1,7.10-10 | 1,3.10-10 | 
| A. M | Oxyde, phosphate, autres composés et composés non spécifiés | 1,8.10-10 | 1,4.10-10 | |
| A. S | Particules d'aluminosilicate fondues | 1,8.10-10 | 1,4.10-10 | |
| Y-93 | A. F | Pas de forme chimique particulière assignée | 2,8.10-10 | 2,1.10-10 | 
| A. M | Oxyde, phosphate, autres composés et composés non spécifiés | 3,0.10-10 | 2,5.10-10 | |
| A. S | Particules d'aluminosilicate fondues | 3,0.10-10 | 2,6.10-10 | |
| Y-94 | A. F | Pas de forme chimique particulière assignée | 3,4.10-11 | 2,3.10-11 | 
| A. M | Oxyde, phosphate, autres composés et composés non spécifiés | 3,4.10-11 | 2,3.10-11 | |
| A. S | Particules d'aluminosilicate fondues | 3,4.10-11 | 2,3.10-11 | |
| Y-95 | A. F | Pas de forme chimique particulière assignée | 1,6.10-11 | 1,1.10-11 | 
| A. M | Oxyde, phosphate, autres composés et composés non spécifiés | 1,6.10-11 | 1,1.10-11 | |
| A. S | Particules d'aluminosilicate fondues | 1,7.10-11 | 1,2.10-11 | |
| Zirconium | ||||
| Zr-86 | A. F | Pas de forme chimique particulière assignée | 3,1.10-10 | 2,0.10-10 | 
| A. M | Oxalate, autres composés et composés non spécifiés | 3,7.10-10 | 2,8.10-10 | |
| A. S | Carbonate, oxyde, hydrure | 3,8.10-10 | 3,0.10-10 | |
| Zr-87 | A. F | Pas de forme chimique particulière assignée | 6,4.10-11 | 4,1.10-11 | 
| A. M | Oxalate, autres composés et composés non spécifiés | 8,5.10-11 | 6,3.10-11 | |
| A. S | Carbonate, oxyde, hydrure | 8,6.10-11 | 6,4.10-11 | |
| Zr-88 | A. F | Pas de forme chimique particulière assignée | 5,3.10-9 | 5,0.10-9 | 
| A. M | Oxalate, autres composés et composés non spécifiés | 2,1.10-9 | 3,8.10-9 | |
| A. S | Carbonate, oxyde, hydrure | 2,9.10-9 | 5,5.10-9 | |
| Zr-89 | A. F | Pas de forme chimique particulière assignée | 3,4.10-10 | 2,4.10-10 | 
| A. M | Oxalate, autres composés et composés non spécifiés | 3,7.10-10 | 3,3.10-10 | |
| A. S | Carbonate, oxyde, hydrure | 3,8.10-10 | 3,6.10-10 | |
| Zr-93 | A. F | Pas de forme chimique particulière assignée | 5,5.10-9 | 5,1.10-9 | 
| A. M | Oxalate, autres composés et composés non spécifiés | 1,4.10-9 | 2,5.10-9 | |
| A. S | Carbonate, oxyde, hydrure | 3,8.10-9 | 7,3.10-9 | |
| Zr-95 | A. F | Pas de forme chimique particulière assignée | 2,9.10-9 | 2,6.10-9 | 
| A. M | Oxalate, autres composés et composés non spécifiés | 1,9.10-9 | 3,2.10-9 | |
| A. S | Carbonate, oxyde, hydrure | 2,6.10-9 | 4,5.10-9 | |
| Zr-97 | A. F | Pas de forme chimique particulière assignée | 4,1.10-10 | 2,7.10-10 | 
| A. M | Oxalate, autres composés et composés non spécifiés | 5,7.10-10 | 4,8.10-10 | |
| A. S | Carbonate, oxyde, hydrure | 5,9.10-10 | 5,1.10-10 | |
| Niobium | ||||
| Nb-88 | A. F | Pas de forme chimique particulière assignée | 2,6.10-11 | 1,8.10-11 | 
| A. M | Oxalate, autres composés et composés non spécifiés | 2,9.10-11 | 2,1.10-11 | |
| A. S | Carbonate, oxyde | 3,0.10-11 | 2,1.10-11 | |
| Nb-89 | A. F | Pas de forme chimique particulière assignée | 8,9.10-11 | 5,8.10-11 | 
| A. M | Oxalate, autres composés et composés non spécifiés | 1,2.10-10 | 8,6.10-11 | |
| A. S | Carbonate, oxyde | 1,2.10-10 | 8,8.10-11 | |
| Nb-89m | A. F | Pas de forme chimique particulière assignée | 5,4.10-11 | 3,5.10-11 | 
| A. M | Oxalate, autres composés et composés non spécifiés | 6,9.10-11 | 4,9.10-11 | |
| A. S | Carbonate, oxyde | 7,0.10-11 | 5,0.10-11 | |
| Nb-90 | A. F | Pas de forme chimique particulière assignée | 3,9.10-10 | 2,5.10-10 | 
| A. M | Oxalate, autres composés et composés non spécifiés | 5,0.10-10 | 3,7.10-10 | |
| A. S | Carbonate, oxyde | 5,1.10-10 | 3,8.10-10 | |
| Nb-91 | A. F | Pas de forme chimique particulière assignée | 3,9.10-10 | 3,6.10-10 | 
| A. M | Oxalate, autres composés et composés non spécifiés | 1,9.10-10 | 3,5.10-10 | |
| A. S | Carbonate, oxyde | 3,0.10-9 | 5,8.10-9 | |
| Nb-91m | A. F | Pas de forme chimique particulière assignée | 2,1.10-10 | 1,8.10-10 | 
| A. M | Oxalate, autres composés et composés non spécifiés | 6,1.10-10 | 9,4.10-10 | |
| A. S | Carbonate, oxyde | 8,9.10-10 | 1,4.10-9 | |
| Nb-92 | A. F | Pas de forme chimique particulière assignée | 3,2.10-8 | 3,0.10-8 | 
| A. M | Oxalate, autres composés et composés non spécifiés | 9,9.10-9 | 1,8.10-8 | |
| A. S | Carbonate, oxyde | 6,5.10-8 | 1,3.10-7 | |
| Nb-92m | A. F | Pas de forme chimique particulière assignée | 3,4.10-10 | 2,5.10-10 | 
| A. M | Oxalate, autres composés et composés non spécifiés | 3,6.10-10 | 3,9.10-10 | |
| A. S | Carbonate, oxyde | 3,9.10-10 | 4,5.10-10 | |
| Nb-93m | A. F | Pas de forme chimique particulière assignée | 5,4.10-10 | 5,0.10-10 | 
| A. M | Oxalate, autres composés et composés non spécifiés | 2,8.10-10 | 5,1.10-10 | |
| A. S | Carbonate, oxyde | 1,9.10-9 | 3,7.10-9 | |
| Nb-94 | A. F | Pas de forme chimique particulière assignée | 3,8.10-8 | 3,5.10-8 | 
| A. M | Oxalate, autres composés et composés non spécifiés | 1,3.10-8 | 2,3.10-8 | |
| A. S | Carbonate, oxyde | 9,3.10-8 | 1,8.10-7 | |
| Nb-95 | A. F | Pas de forme chimique particulière assignée | 5,6.10-10 | 4,6.10-10 | 
| A. M | Oxalate, autres composés et composés non spécifiés | 6,9.10-10 | 9,9.10-10 | |
| A. S | Carbonate, oxyde | 8,5.10-10 | 1,3.10-9 | |
| Nb-95m | A. F | Pas de forme chimique particulière assignée | 1,4.10-10 | 1,1.10-10 | 
| A. M | Oxalate, autres composés et composés non spécifiés | 2,4.10-10 | 3,1.10-10 | |
| A. S | Carbonate, oxyde | 2,8.10-10 | 3,7.10-10 | |
| Nb-96 | A. F | Pas de forme chimique particulière assignée | 3,5.10-10 | 2,2.10-10 | 
| A. M | Oxalate, autres composés et composés non spécifiés | 4,6.10-10 | 3,5.10-10 | |
| A. S | Carbonate, oxyde | 4,7.10-10 | 3,8.10-10 | |
| Nb-97 | A. F | Pas de forme chimique particulière assignée | 3,2.10-11 | 2,0.10-11 | 
| A. M | Oxalate, autres composés et composés non spécifiés | 4,5.10-11 | 3,1.10-11 | |
| A. S | Carbonate, oxyde | 4,5.10-11 | 3,2.10-11 | |
| Nb-98m | A. F | Pas de forme chimique particulière assignée | 4,5.10-11 | 2,9.10-11 | 
| A. M | Oxalate, autres composés et composés non spécifiés | 5,8.10-11 | 4,0.10-11 | |
| A. S | Carbonate, oxyde | 5,8.10-11 | 4,0.10-11 | |
| Molybdène | ||||
| Mo-90 | A. F | Chlorure, molybdate d'ammonium | 1,8.10-10 | 1,1.10-10 | 
| A. M | Oxyde, autres composés et composés non spécifiés | 2,5.10-10 | 1,9.10-10 | |
| A. S | Pas de forme chimique particulière assignée | 2,6.10-10 | 2,0.10-10 | |
| Mo-91 | A. F | Chlorure, molybdate d'ammonium | 2,1.10-11 | 1,4.10-11 | 
| A. M | Oxyde, autres composés et composés non spécifiés | 2,4.10-11 | 1,6.10-11 | |
| A. S | Pas de forme chimique particulière assignée | 2,4.10-11 | 1,7.10-11 | |
| Mo-93 | A. F | Chlorure, molybdate d'ammonium | 1,4.10-10 | 9,3.10-11 | 
| A. M | Oxyde, autres composés et composés non spécifiés | 1,4.10-10 | 2,2.10-10 | |
| A. S | Pas de forme chimique particulière assignée | 4,3.10-9 | 8,3.10-9 | |
| Mo-93m | A. F | Chlorure, molybdate d'ammonium | 1,0.10-10 | 6,4.10-11 | 
| A. M | Oxyde, autres composés et composés non spécifiés | 1,4.10-10 | 9,6.10-11 | |
| A. S | Pas de forme chimique particulière assignée | 1,4.10-10 | 1,0.10-10 | |
| Mo-99 | A. F | Chlorure, molybdate d'ammonium | 3,1.10-10 | 2,0.10-10 | 
| A. M | Oxyde, autres composés et composés non spécifiés | 4,0.10-10 | 4,2.10-10 | |
| A. S | Pas de forme chimique particulière assignée | 4,1.10-10 | 4,7.10-10 | |
| Mo-101 | A. F | Chlorure, molybdate d'ammonium | 2,1.10-11 | 1,4.10-11 | 
| A. M | Oxyde, autres composés et composés non spécifiés | 2,6.10-11 | 1,8.10-11 | |
| A. S | Pas de forme chimique particulière assignée | 2,6.10-11 | 1,8.10-11 | |
| Mo-102 | A. F | Chlorure, molybdate d'ammonium | 2,5.10-11 | 1,7.10-11 | 
| A. M | Oxyde, autres composés et composés non spécifiés | 2,9.10-11 | 2,0.10-11 | |
| A. S | Pas de forme chimique particulière assignée | 2,9.10-11 | 2,0.10-11 | |
| Technétium | ||||
| Tc-93 | A. F | Pertechnétate, Tc-DTPA | 2,7.10-11 | 1,8.10-11 | 
| A. M | Autres composés et composés non spécifiés | 3,5.10-11 | 2,4.10-11 | |
| A. S | Pas de forme chimique particulière assignée | 3,5.10-11 | 2,4.10-11 | |
| Tc-93m | A. F | Pertechnétate, Tc-DTPA | 1,3.10-11 | 8,4.10-12 | 
| A. M | Autres composés et composés non spécifiés | 1,7.10-11 | 1,2.10-11 | |
| A. S | Pas de forme chimique particulière assignée | 1,7.10-11 | 1,2.10-11 | |
| Tc-94 | A. F | Pertechnétate, Tc-DTPA | 8,0.10-11 | 5,3.10-11 | 
| A. M | Autres composés et composés non spécifiés | 1,0.10-10 | 7,0.10-11 | |
| A. S | Pas de forme chimique particulière assignée | 1,0.10-10 | 7,1.10-11 | |
| Tc-94m | A. F | Pertechnétate, Tc-DTPA | 3,6.10-11 | 2,4.10-11 | 
| A. M | Autres composés et composés non spécifiés | 4,9.10-11 | 3,4.10-11 | |
| A. S | Pas de forme chimique particulière assignée | 4,9.10-11 | 3,4.10-11 | |
| Tc-95 | A. F | Pertechnétate, Tc-DTPA | 8,2.10-11 | 5,3.10-11 | 
| A. M | Autres composés et composés non spécifiés | 1,0.10-10 | 7,0.10-11 | |
| A. S | Pas de forme chimique particulière assignée | 1,0.10-10 | 7,3.10-11 | |
| Tc-95m | A. F | Pertechnétate, Tc-DTPA | 3,2.10-10 | 2,1.10-10 | 
| A. M | Autres composés et composés non spécifiés | 6,6.10-10 | 9,9.10-10 | |
| A. S | Pas de forme chimique particulière assignée | 9,3.10-10 | 1,5.10-9 | |
| Tc-96 | A. F | Pertechnétate, Tc-DTPA | 6,0.10-10 | 3,9.10-10 | 
| A. M | Autres composés et composés non spécifiés | 6,9.10-10 | 5,9.10-10 | |
| A. S | Pas de forme chimique particulière assignée | 7,1.10-10 | 6,5.10-10 | |
| Tc-96m | A. F | Pertechnétate, Tc-DTPA | 5,6.10-12 | 3,7.10-12 | 
| A. M | Autres composés et composés non spécifiés | 6,3.10-12 | 5,5.10-12 | |
| A. S | Pas de forme chimique particulière assignée | 6,4.10-12 | 6,0.10-12 | |
| Tc-97 | A. F | Pertechnétate, Tc-DTPA | 3,1.10-11 | 2,0.10-11 | 
| A. M | Autres composés et composés non spécifiés | 1,1.10-10 | 1,9.10-10 | |
| A. S | Pas de forme chimique particulière assignée | 3,0.10-9 | 5,9.10-9 | |
| Tc-97m | A. F | Pertechnétate, Tc-DTPA | 1,7.10-10 | 1,1.10-10 | 
| A. M | Autres composés et composés non spécifiés | 6,6.10-10 | 9,9.10-10 | |
| A. S | Pas de forme chimique particulière assignée | 1,0.10-9 | 1,6.10-9 | |
| Tc-98 | A. F | Pertechnétate, Tc-DTPA | 1,3.10-9 | 8,1.10-10 | 
| A. M | Autres composés et composés non spécifiés | 4,0.10-9 | 6,7.10-9 | |
| A. S | Pas de forme chimique particulière assignée | 8,1.10-8 | 1,6.10-7 | |
| Tc-99 | A. F | Pertechnétate, Tc-DTPA | 2,0.10-10 | 1,3.10-10 | 
| A. M | Autres composés et composés non spécifiés | 1,1.10-9 | 1,8.10-9 | |
| A. S | Pas de forme chimique particulière assignée | 1,6.10-8 | 2,9.10-8 | |
| Tc-99m | A. F | Pertechnétate, Tc-DTPA | 8,6.10-12 | 5,7.10-12 | 
| A. M | Autres composés et composés non spécifiés | 1,3.10-11 | 9,7.10-12 | |
| A. S | Pas de forme chimique particulière assignée | 1,3.10-11 | 1,0.10-11 | |
| Tc-101 | A. F | Pertechnétate, Tc-DTPA | 8,3.10-12 | 5,5.10-12 | 
| A. M | Autres composés et composés non spécifiés | 1,2.10-11 | 8,2.10-12 | |
| A. S | Pas de forme chimique particulière assignée | 1,2.10-11 | 8,2.10-12 | |
| Tc-104 | A. F | Pertechnétate, Tc-DTPA | 2,4.10-11 | 1,6.10-11 | 
| A. M | Autres composés et composés non spécifiés | 3,3.10-11 | 2,3.10-11 | |
| A. S | Pas de forme chimique particulière assignée | 3,3.10-11 | 2,3.10-11 | |
| Ruthénium | ||||
| Ru-94 | A. F | Chlorure, oxalate | 3,7.10-11 | 2,4.10-11 | 
| A. M | Citrate, autres composés et composés non spécifiés | 4,2.10-11 | 3,0.10-11 | |
| A. S | Dioxyde | 4,2.10-11 | 3,1.10-11 | |
| G-V. F | Tétroxyde de ruthénium | 9,6.10-11 | ||
| Ru-95 | A. F | Chlorure, oxalate | 2,5.10-11 | 1,6.10-11 | 
| A. M | Citrate, autres composés et composés non spécifiés | 3,0.10-11 | 2,1.10-11 | |
| A. S | Dioxyde | 3,1.10-11 | 2,1.10-11 | |
| G-V. F | Tétroxyde de ruthénium | 5,8.10-11 | ||
| Ru-97 | A. F | Chlorure, oxalate | 8,2.10-11 | 5,4.10-11 | 
| A. M | Citrate, autres composés et composés non spécifiés | 7,7.10-11 | 6,6.10-11 | |
| A. S | Dioxyde | 7,9.10-11 | 7,0.10-11 | |
| G-V. F | Tétroxyde de ruthénium | 1,2.10-10 | ||
| Ru-103 | A. F | Chlorure, oxalate | 8,7.10-10 | 6,4.10-10 | 
| A. M | Citrate, autres composés et composés non spécifiés | 8,0.10-10 | 1,2.10-9 | |
| A. S | Dioxyde | 1,0.10-9 | 1,6.10-9 | |
| G-V. F | Tétroxyde de ruthénium | 1,4.10-9 | ||
| Ru-105 | A. F | Chlorure, oxalate | 9,2.10-11 | 5,9.10-11 | 
| A. M | Citrate, autres composés et composés non spécifiés | 1,2.10-10 | 1,0.10-10 | |
| A. S | Dioxyde | 1,3.10-10 | 1,0.10-10 | |
| G-V. F | Tétroxyde de ruthénium | 3,7.10-10 | ||
| Ru-106 | A. F | Chlorure, oxalate | 7,7.10-9 | 6,7.10-9 | 
| A. M | Citrate, autres composés et composés non spécifiés | 1,3.10-8 | 2,4.10-8 | |
| A. S | Dioxyde | 3,6.10-8 | 6,9.10-8 | |
| G-V. F | Tétroxyde de ruthénium | 7,0.10-9 | ||
| Rhodium | ||||
| Rh-97 | A. F | Pas de forme chimique particulière assignée | 1,9.10-11 | 1,3.10-11 | 
| A. M | Composés non spécifiés, pas de forme chimique particulière assignée | 2,4.10-11 | 1,6.10-11 | |
| A. S | Pas de forme chimique particulière assignée | 2,4.10-11 | 1,6.10-11 | |
| Rh-97m | A. F | Pas de forme chimique particulière assignée | 1,9.10-11 | 1,2.10-11 | 
| A. M | Composés non spécifiés, pas de forme chimique particulière assignée | 2,3.10-11 | 1,6.10-11 | |
| A. S | Pas de forme chimique particulière assignée | 2,3.10-11 | 1,6.10-11 | |
| Rh-99 | A. F | Pas de forme chimique particulière assignée | 3,2.10-10 | 2,4.10-10 | 
| A. M | Composés non spécifiés, pas de forme chimique particulière assignée | 4,7.10-10 | 6,0.10-10 | |
| A. S | Pas de forme chimique particulière assignée | 5,4.10-10 | 7,4.10-10 | |
| Rh-99m | A. F | Pas de forme chimique particulière assignée | 2,4.10-11 | 1,5.10-11 | 
| A. M | Composés non spécifiés, pas de forme chimique particulière assignée | 3,0.10-11 | 2,1.10-11 | |
| A. S | Pas de forme chimique particulière assignée | 3,1.10-11 | 2,2.10-11 | |
| Rh-100 | A. F | Pas de forme chimique particulière assignée | 2,8.10-10 | 1,7.10-10 | 
| A. M | Composés non spécifiés, pas de forme chimique particulière assignée | 3,3.10-10 | 2,3.10-10 | |
| A. S | Pas de forme chimique particulière assignée | 3,3.10-10 | 2,4.10-10 | |
| Rh-101 | A. F | Pas de forme chimique particulière assignée | 1,3.10-9 | 1,1.10-9 | 
| A. M | Composés non spécifiés, pas de forme chimique particulière assignée | 1,0.10-9 | 1,8.10-9 | |
| A. S | Pas de forme chimique particulière assignée | 4,0.10-9 | 7,5.10-9 | |
| Rh-101m | A. F | Pas de forme chimique particulière assignée | 9,4.10-11 | 6,4.10-11 | 
| A. M | Composés non spécifiés, pas de forme chimique particulière assignée | 1,1.10-10 | 1,1.10-10 | |
| A. S | Pas de forme chimique particulière assignée | 1,2.10-10 | 1,2.10-10 | |
| Rh-102 | A. F | Pas de forme chimique particulière assignée | 1,3.10-9 | 1,1.10-9 | 
| A. M | Composés non spécifiés, pas de forme chimique particulière assignée | 2,0.10-9 | 3,4.10-9 | |
| A. S | Pas de forme chimique particulière assignée | 4,0.10-9 | 7,3.10-9 | |
| Rh-102m | A. F | Pas de forme chimique particulière assignée | 7,6.10-9 | 6,7.10-9 | 
| A. M | Composés non spécifiés, pas de forme chimique particulière assignée | 5,0.10-9 | 8,7.10-9 | |
| A. S | Pas de forme chimique particulière assignée | 2,0.10-8 | 3,9.10-8 | |
| Rh-103m | A. F | Pas de forme chimique particulière assignée | 5,5.10-13 | 7,0.10-13 | 
| A. M | Composés non spécifiés, pas de forme chimique particulière assignée | 1,2.10-12 | 1,6.10-12 | |
| A. S | Pas de forme chimique particulière assignée | 1,2.10-12 | 1,6.10-12 | |
| Rh-105 | A. F | Pas de forme chimique particulière assignée | 5,9.10-11 | 4,0.10-11 | 
| A. M | Composés non spécifiés, pas de forme chimique particulière assignée | 1,2.10-10 | 1,3.10-10 | |
| A. S | Pas de forme chimique particulière assignée | 1,4.10-10 | 1,5.10-10 | |
| Rh-106m | A. F | Pas de forme chimique particulière assignée | 6,6.10-11 | 4,2.10-11 | 
| A. M | Composés non spécifiés, pas de forme chimique particulière assignée | 9,1.10-11 | 6,4.10-11 | |
| A. S | Pas de forme chimique particulière assignée | 9,2.10-11 | 6,5.10-11 | |
| Rh-107 | A. F | Pas de forme chimique particulière assignée | 1,3.10-11 | 8,7.10-12 | 
| A. M | Composés non spécifiés, pas de forme chimique particulière assignée | 1,7.10-11 | 1,1.10-11 | |
| A. S | Pas de forme chimique particulière assignée | 1,7.10-11 | 1,1.10-11 | |
| Palladium | ||||
| Pd-98 | A. F | Pas de forme chimique particulière assignée | 2,5.10-11 | 1,6.10-11 | 
| A. M | Composés non spécifiés, pas de forme chimique particulière assignée | 3,1.10-11 | 2,1.10-11 | |
| A. S | Pas de forme chimique particulière assignée | 3,1.10-11 | 2,1.10-11 | |
| Pd-99 | A. F | Pas de forme chimique particulière assignée | 1,5.10-11 | 9,5.10-12 | 
| A. M | Composés non spécifiés, pas de forme chimique particulière assignée | 1,8.10-11 | 1,2.10-11 | |
| A. S | Pas de forme chimique particulière assignée | 1,8.10-11 | 1,2.10-11 | |
| Pd-100 | A. F | Pas de forme chimique particulière assignée | 4,7.10-10 | 3,3.10-10 | 
| A. M | Composés non spécifiés, pas de forme chimique particulière assignée | 5,7.10-10 | 5,8.10-10 | |
| A. S | Pas de forme chimique particulière assignée | 6,0.10-10 | 6,5.10-10 | |
| Pd-101 | A. F | Pas de forme chimique particulière assignée | 3,1.10-11 | 2,0.10-11 | 
| A. M | Composés non spécifiés, pas de forme chimique particulière assignée | 3,9.10-11 | 3,0.10-11 | |
| A. S | Pas de forme chimique particulière assignée | 4,0.10-11 | 3,2.10-11 | |
| Pd-103 | A. F | Pas de forme chimique particulière assignée | 4,5.10-11 | 3,7.10-11 | 
| A. M | Composés non spécifiés, pas de forme chimique particulière assignée | 1,2.10-10 | 1,8.10-10 | |
| A. S | Pas de forme chimique particulière assignée | 1,5.10-10 | 2,3.10-10 | |
| Pd-107 | A. F | Pas de forme chimique particulière assignée | 3,3.10-11 | 3,0.10-11 | 
| A. M | Composés non spécifiés, pas de forme chimique particulière assignée | 4,4.10-11 | 8,6.10-11 | |
| A. S | Pas de forme chimique particulière assignée | 9,2.10-10 | 1,8.10-9 | |
| Pd-109 | A. F | Pas de forme chimique particulière assignée | 8,6.10-11 | 5,6.10-11 | 
| A. M | Composés non spécifiés, pas de forme chimique particulière assignée | 1,8.10-10 | 1,7.10-10 | |
| A. S | Pas de forme chimique particulière assignée | 1,9.10-10 | 1,9.10-10 | |
| Pd-111 | A. F | Pas de forme chimique particulière assignée | 2,1.10-11 | 1,4.10-11 | 
| A. M | Composés non spécifiés, pas de forme chimique particulière assignée | 2,7.10-11 | 1,9.10-11 | |
| A. S | Pas de forme chimique particulière assignée | 2,7.10-11 | 2,0.10-11 | |
| Pd-112 | A. F | Pas de forme chimique particulière assignée | 3,8.10-10 | 2,4.10-10 | 
| A. M | Composés non spécifiés, pas de forme chimique particulière assignée | 5,8.10-10 | 5,5.10-10 | |
| A. S | Pas de forme chimique particulière assignée | 6,2.10-10 | 6,0.10-10 | |
| Argent | ||||
| Ag-101 | A. F | Nitrate | 9,1.10-12 | 1,3.10-11 | 
| A. M | Composés non spécifiés, iodure | 1,4.10-11 | 9,2.10-12 | |
| A. S | Pas de forme chimique particulière assignée | 1,4.10-11 | 9,2.10-12 | |
| Ag-102 | A. F | Nitrate | 1,7.10-11 | 1,2.10-11 | 
| A. M | Composés non spécifiés, iodure | 1,7.10-11 | 1,2.10-11 | |
| A. S | Pas de forme chimique particulière assignée | 1,7.10-11 | 1,2.10-11 | |
| Ag-103 | A. F | Nitrate | 2,2.10-11 | 1,5.10-11 | 
| A. M | Composés non spécifiés, iodure | 2,2.10-11 | 1,6.10-11 | |
| A. S | Pas de forme chimique particulière assignée | 2,2.10-11 | 1,6.10-11 | |
| Ag-104 | A. F | Nitrate | 2,9.10-11 | 2,0.10-11 | 
| A. M | Composés non spécifiés, iodure | 2,9.10-11 | 2,0.10-11 | |
| A. S | Pas de forme chimique particulière assignée | 2,9.10-11 | 2,0.10-11 | |
| Ag-104m | A. F | Nitrate | 3,1.10-11 | 2,1.10-11 | 
| A. M | Composés non spécifiés, iodure | 3,2.10-11 | 2,2.10-11 | |
| A. S | Pas de forme chimique particulière assignée | 3,2.10-11 | 2,2.10-11 | |
| Ag-105 | A. F | Nitrate | 4,3.10-10 | 4,8.10-10 | 
| A. M | Composés non spécifiés, iodure | 5,1.10-10 | 7,6.10-10 | |
| A. S | Pas de forme chimique particulière assignée | 5,9.10-10 | 9,3.10-10 | |
| Ag-106 | A. F | Nitrate | 1,6.10-11 | 1,1.10-11 | 
| A. M | Composés non spécifiés, iodure | 1,6.10-11 | 1,1.10-11 | |
| A. S | Pas de forme chimique particulière assignée | 1,6.10-11 | 1,1.10-11 | |
| Ag-106m | A. F | Nitrate | 1,0.10-9 | 9,2.10-10 | 
| A. M | Composés non spécifiés, iodure | 1,0.10-9 | 1,1.10-9 | |
| A. S | Pas de forme chimique particulière assignée | 1,0.10-9 | 1,1.10-9 | |
| Ag-108m | A. F | Nitrate | 2,4.10-9 | 3,0.10-9 | 
| A. M | Composés non spécifiés, iodure | 4,4.10-9 | 7,8.10-9 | |
| A. S | Pas de forme chimique particulière assignée | 8,2.10-8 | 1,6.10-7 | |
| Ag-110m | A. F | Nitrate | 3,3.10-9 | 4,0.10-9 | 
| A. M | Composés non spécifiés, iodure | 5,0.10-9 | 8,4.10-9 | |
| A. S | Pas de forme chimique particulière assignée | 9,3.10-9 | 1,7.10-8 | |
| Ag-111 | A. F | Nitrate | 2,8.10-10 | 2,7.10-10 | 
| A. M | Composés non spécifiés, iodure | 4,7.10-10 | 6,3.10-10 | |
| A. S | Pas de forme chimique particulière assignée | 5,3.10-10 | 7,4.10-10 | |
| Ag-112 | A. F | Nitrate | 1,6.10-10 | 1,2.10-10 | 
| A. M | Composés non spécifiés, iodure | 1,6.10-10 | 1,2.10-10 | |
| A. S | Pas de forme chimique particulière assignée | 1,7.10-10 | 1,3.10-10 | |
| Ag-113 | A. F | Nitrate | 1,3.10-10 | 9,9.10-11 | 
| A. M | Composés non spécifiés, iodure | 1,4.10-10 | 1,1.10-10 | |
| A. S | Pas de forme chimique particulière assignée | 1,4.10-10 | 1,1.10-10 | |
| Ag-115 | A. F | Nitrate | 2,7.10-11 | 1,9.10-11 | 
| A. M | Composés non spécifiés, iodure | 2,8.10-11 | 2,0.10-11 | |
| A. S | Pas de forme chimique particulière assignée | 2,8.10-11 | 2,0.10-11 | |
| Cadmium | ||||
| Cd-104 | A. F | Pas de forme chimique particulière assignée | 3,4.10-11 | 2,2.10-11 | 
| A. M | Composés non spécifiés, oxyde, chlorure, sulfite, carbonate, tellurure | 4,6.10-11 | 3,4.10-11 | |
| A. S | Pas de forme chimique particulière assignée | 4,7.10-11 | 3,4.10-11 | |
| Cd-105 | A. F | Pas de forme chimique particulière assignée | 1,7.10-11 | 1,1.10-11 | 
| A. M | Composés non spécifiés, oxyde, chlorure, sulfite, carbonate, tellurure | 2,1.10-11 | 1,5.10-11 | |
| A. S | Pas de forme chimique particulière assignée | 2,1.10-11 | 1,5.10-11 | |
| Cd-107 | A. F | Pas de forme chimique particulière assignée | 1,6.10-11 | 1,2.10-11 | 
| A. M | Composés non spécifiés, oxyde, chlorure, sulfite, carbonate, tellurure | 4,0.10-11 | 4,0.10-11 | |
| A. S | Pas de forme chimique particulière assignée | 4,3.10-11 | 4,3.10-11 | |
| Cd-109 | A. F | Pas de forme chimique particulière assignée | 4,7.10-9 | 4,2.10-9 | 
| A. M | Composés non spécifiés, oxyde, chlorure, sulfite, carbonate, tellurure | 1,9.10-9 | 3,1.10-9 | |
| A. S | Pas de forme chimique particulière assignée | 2,8.10-9 | 4,5.10-9 | |
| Cd-111m | A. F | Pas de forme chimique particulière assignée | 1,2.10-11 | 7,8.10-12 | 
| A. M | Composés non spécifiés, oxyde, chlorure, sulfite, carbonate, tellurure | 1,8.10-11 | 1,3.10-11 | |
| A. S | Pas de forme chimique particulière assignée | 1,8.10-11 | 1,3.10-11 | |
| Cd-113 | A. F | Pas de forme chimique particulière assignée | 5,7.10-8 | 5,1.10-8 | 
| A. M | Composés non spécifiés, oxyde, chlorure, sulfite, carbonate, tellurure | 1,4.10-8 | 2,4.10-8 | |
| A. S | Pas de forme chimique particulière assignée | 1,7.10-8 | 3,2.10-8 | |
| Cd-113m | A. F | Pas de forme chimique particulière assignée | 5,3.10-8 | 4,7.10-8 | 
| A. M | Composés non spécifiés, oxyde, chlorure, sulfite, carbonate, tellurure | 1,4.10-8 | 2,4.10-8 | |
| A. S | Pas de forme chimique particulière assignée | 2,0.10-8 | 3,7.10-8 | |
| Cd-115 | A. F | Pas de forme chimique particulière assignée | 3,0.10-10 | 2,2.10-10 | 
| A. M | Composés non spécifiés, oxyde, chlorure, sulfite, carbonate, tellurure | 4,0.10-10 | 4,3.10-10 | |
| A. S | Pas de forme chimique particulière assignée | 4,3.10-10 | 4,8.10-10 | |
| Cd-115m | A. F | Pas de forme chimique particulière assignée | 3,1.10-9 | 2,7.10-9 | 
| A. M | Composés non spécifiés, oxyde, chlorure, sulfite, carbonate, tellurure | 2,4.10-9 | 4,1.10-9 | |
| A. S | Pas de forme chimique particulière assignée | 3,0.10-9 | 5,4.10-9 | |
| Cd-117 | A. F | Pas de forme chimique particulière assignée | 8,2.10-11 | 5,3.10-11 | 
| A. M | Composés non spécifiés, oxyde, chlorure, sulfite, carbonate, tellurure | 1,3.10-10 | 9,7.10-11 | |
| A. S | Pas de forme chimique particulière assignée | 1,3.10-10 | 1,0.10-10 | |
| Cd-117m | A. F | Pas de forme chimique particulière assignée | 9,9.10-11 | 6,4.10-11 | 
| A. M | Composés non spécifiés, oxyde, chlorure, sulfite, carbonate, tellurure | 1,5.10-10 | 1,1.10-10 | |
| A. S | Pas de forme chimique particulière assignée | 1,5.10-10 | 1,1.10-10 | |
| Cd-118 | A. F | Pas de forme chimique particulière assignée | 7,1.10-11 | 4,6.10-11 | 
| A. M | Composés non spécifiés, oxyde, chlorure, sulfite, carbonate, tellurure | 9,6.10-11 | 6,7.10-11 | |
| A. S | Pas de forme chimique particulière assignée | 9,7.10-11 | 6,8.10-11 | |
| Indium | ||||
| In-107 | A. F | Pas de forme chimique particulière assignée | 1,5.10-11 | 1,0.10-11 | 
| A. M | Composés non spécifiés, pas de forme chimique particulière assignée | 2,1.10-11 | 1,5.10-11 | |
| A. S | Pas de forme chimique particulière assignée | 2,1.10-11 | 1,5.10-11 | |
| In-108 | A. F | Pas de forme chimique particulière assignée | 3,1.10-11 | 2,0.10-11 | 
| A. M | Composés non spécifiés, pas de forme chimique particulière assignée | 3,7.10-11 | 2,5.10-11 | |
| A. S | Pas de forme chimique particulière assignée | 3,7.10-11 | 2,5.10-11 | |
| In-108m | A. F | Pas de forme chimique particulière assignée | 3,1.10-11 | 2,0.10-11 | 
| A. M | Composés non spécifiés, pas de forme chimique particulière assignée | 3,8.10-11 | 2,6.10-11 | |
| A. S | Pas de forme chimique particulière assignée | 3,8.10-11 | 2,6.10-11 | |
| In-109 | A. F | Pas de forme chimique particulière assignée | 2,3.10-11 | 1,6.10-11 | 
| A. M | Composés non spécifiés, pas de forme chimique particulière assignée | 2,8.10-11 | 2,0.10-11 | |
| A. S | Pas de forme chimique particulière assignée | 2,8.10-11 | 2,1.10-11 | |
| In-110 | A. F | Pas de forme chimique particulière assignée | 9,7.10-11 | 6,2.10-11 | 
| A. M | Composés non spécifiés, pas de forme chimique particulière assignée | 1,1.10-10 | 7,4.10-11 | |
| A. S | Pas de forme chimique particulière assignée | 1,1.10-10 | 7,5.10-11 | |
| In-110m | A. F | Pas de forme chimique particulière assignée | 3,9.10-11 | 2,6.10-11 | 
| A. M | Composés non spécifiés, pas de forme chimique particulière assignée | 5,1.10-11 | 3,5.10-11 | |
| A. S | Pas de forme chimique particulière assignée | 5,1.10-11 | 3,6.10-11 | |
| In-111 | A. F | Pas de forme chimique particulière assignée | 1,3.10-10 | 8,7.10-11 | 
| A. M | Composés non spécifiés, pas de forme chimique particulière assignée | 1,4.10-10 | 1,3.10-10 | |
| A. S | Pas de forme chimique particulière assignée | 1,5.10-10 | 1,4.10-10 | |
| In-112 | A. F | Pas de forme chimique particulière assignée | 6,3.10-12 | 4,1.10-12 | 
| A. M | Composés non spécifiés, pas de forme chimique particulière assignée | 7,6.10-12 | 5,0.10-12 | |
| A. S | Pas de forme chimique particulière assignée | 7,6.10-12 | 5,1.10-12 | |
| In-112m | A. F | Pas de forme chimique particulière assignée | 1,4.10-11 | 9,2.10-12 | 
| A. M | Composés non spécifiés, pas de forme chimique particulière assignée | 1,9.10-11 | 1,3.10-11 | |
| A. S | Pas de forme chimique particulière assignée | 1,9.10-11 | 1,3.10-11 | |
| In-113m | A. F | Pas de forme chimique particulière assignée | 1,3.10-11 | 8,7.10-12 | 
| A. M | Composés non spécifiés, pas de forme chimique particulière assignée | 1,9.10-11 | 1,4.10-11 | |
| A. S | Pas de forme chimique particulière assignée | 2,0.10-11 | 1,4.10-11 | |
| In-114m | A. F | Pas de forme chimique particulière assignée | 3,7.10-9 | 3,4.10-9 | 
| A. M | Composés non spécifiés, pas de forme chimique particulière assignée | 3,8.10-9 | 6,4.10-9 | |
| A. S | Pas de forme chimique particulière assignée | 5,0.10-9 | 8,9.10-9 | |
| In-115 | A. F | Pas de forme chimique particulière assignée | 2,4.10-8 | 2,2.10-8 | 
| A. M | Composés non spécifiés, pas de forme chimique particulière assignée | 7,0.10-9 | 1,3.10-8 | |
| A. S | Pas de forme chimique particulière assignée | 2,7.10-8 | 5,2.10-8 | |
| In-115m | A. F | Pas de forme chimique particulière assignée | 2,8.10-11 | 1,8.10-11 | 
| A. M | Composés non spécifiés, pas de forme chimique particulière assignée | 4,4.10-11 | 3,4.10-11 | |
| A. S | Pas de forme chimique particulière assignée | 4,5.10-11 | 3,5.10-11 | |
| In-116m | A. F | Pas de forme chimique particulière assignée | 3,1.10-11 | 2,0.10-11 | 
| A. M | Composés non spécifiés, pas de forme chimique particulière assignée | 4,1.10-11 | 2,8.10-11 | |
| A. S | Pas de forme chimique particulière assignée | 4,1.10-11 | 2,9.10-11 | |
| In-117 | A. F | Pas de forme chimique particulière assignée | 1,9.10-11 | 1,3.10-11 | 
| A. M | Composés non spécifiés, pas de forme chimique particulière assignée | 2,7.10-11 | 1,9.10-11 | |
| A. S | Pas de forme chimique particulière assignée | 2,7.10-11 | 1,9.10-11 | |
| In-117m | A. F | Pas de forme chimique particulière assignée | 4,4.10-11 | 2,8.10-11 | 
| A. M | Composés non spécifiés, pas de forme chimique particulière assignée | 6,7.10-11 | 5,0.10-11 | |
| A. S | Pas de forme chimique particulière assignée | 6,8.10-11 | 5,1.10-11 | |
| In-119m | A. F | Pas de forme chimique particulière assignée | 1,8.10-11 | 1,2.10-11 | 
| A. M | Composés non spécifiés, pas de forme chimique particulière assignée | 2,2.10-11 | 1,5.10-11 | |
| A. S | Pas de forme chimique particulière assignée | 2,2.10-11 | 1,5.10-11 | |
| Étain | ||||
| Sn-108 | A. F | Pas de forme chimique particulière assignée | 9,0.10-12 | 5,9.10-12 | 
| A. M | Composés non spécifiés, pas de forme chimique particulière assignée | 1,1.10-11 | 7,7.10-12 | |
| A. S | Pas de forme chimique particulière assignée | 1,1.10-11 | 7,7.10-12 | |
| Sn-109 | A. F | Pas de forme chimique particulière assignée | 7,4.10-12 | 4,9.10-12 | 
| A. M | Composés non spécifiés, pas de forme chimique particulière assignée | 8,4.10-12 | 5,7.10-12 | |
| A. S | Pas de forme chimique particulière assignée | 8,4.10-12 | 5,8.10-12 | |
| Sn-110 | A. F | Pas de forme chimique particulière assignée | 9,3.10-11 | 5,8.10-11 | 
| A. M | Composés non spécifiés, pas de forme chimique particulière assignée | 1,3.10-10 | 9,5.10-11 | |
| A. S | Pas de forme chimique particulière assignée | 1,3.10-10 | 9,9.10-11 | |
| Sn-111 | A. F | Pas de forme chimique particulière assignée | 9,4.10-12 | 6,2.10-12 | 
| A. M | Composés non spécifiés, pas de forme chimique particulière assignée | 1,2.10-11 | 8,3.10-12 | |
| A. S | Pas de forme chimique particulière assignée | 1,2.10-11 | 8,4.10-12 | |
| Sn-113 | A. F | Pas de forme chimique particulière assignée | 8,7.10-10 | 7,6.10-10 | 
| A. M | Composés non spécifiés, pas de forme chimique particulière assignée | 1,1.10-9 | 1,9.10-9 | |
| A. S | Pas de forme chimique particulière assignée | 1,9.10-9 | 3,4.10-9 | |
| Sn-113m | A. F | Pas de forme chimique particulière assignée | 1,9.10-12 | 1,7.10-12 | 
| A. M | Composés non spécifiés, pas de forme chimique particulière assignée | 2,8.10-12 | 2,7.10-12 | |
| A. S | Pas de forme chimique particulière assignée | 2,9.10-12 | 2,9.10-12 | |
| Sn-117m | A. F | Pas de forme chimique particulière assignée | 1,9.10-10 | 1,4.10-10 | 
| A. M | Composés non spécifiés, pas de forme chimique particulière assignée | 4,9.10-10 | 6,6.10-10 | |
| A. S | Pas de forme chimique particulière assignée | 5,9.10-10 | 8,2.10-10 | |
| Sn-119m | A. F | Pas de forme chimique particulière assignée | 3,8.10-10 | 3,4.10-10 | 
| A. M | Composés non spécifiés, pas de forme chimique particulière assignée | 7,4.10-10 | 1,2.10-9 | |
| A. S | Pas de forme chimique particulière assignée | 1,6.10-9 | 2,7.10-9 | |
| Sn-121 | A. F | Pas de forme chimique particulière assignée | 2,9.10-11 | 2,0.10-11 | 
| A. M | Composés non spécifiés, pas de forme chimique particulière assignée | 8,3.10-11 | 9,0.10-11 | |
| A. S | Pas de forme chimique particulière assignée | 9,1.10-11 | 1,0.10-10 | |
| Sn-121m | A. F | Pas de forme chimique particulière assignée | 1,3.10-9 | 1,2.10-9 | 
| A. M | Composés non spécifiés, pas de forme chimique particulière assignée | 1,5.10-9 | 2,5.10-9 | |
| A. S | Pas de forme chimique particulière assignée | 1,6.10-8 | 3,0.10-8 | |
| Sn-123 | A. F | Pas de forme chimique particulière assignée | 1,7.10-9 | 1,5.10-9 | 
| A. M | Composés non spécifiés, pas de forme chimique particulière assignée | 3,2.10-9 | 5,7.10-9 | |
| A. S | Pas de forme chimique particulière assignée | 5,8.10-9 | 1,1.10-8 | |
| Sn-123m | A. F | Pas de forme chimique particulière assignée | 2,1.10-11 | 1,4.10-11 | 
| A. M | Composés non spécifiés, pas de forme chimique particulière assignée | 2,9.10-11 | 2,0.10-11 | |
| A. S | Pas de forme chimique particulière assignée | 3,0.10-11 | 2,0.10-11 | |
| Sn-125 | A. F | Pas de forme chimique particulière assignée | 6,7.10-10 | 4,8.10-10 | 
| A. M | Composés non spécifiés, pas de forme chimique particulière assignée | 1,3.10-9 | 1,8.10-9 | |
| A. S | Pas de forme chimique particulière assignée | 1,5.10-9 | 2,3.10-9 | |
| Sn-126 | A. F | Pas de forme chimique particulière assignée | 1,8.10-8 | 1,7.10-8 | 
| A. M | Composés non spécifiés, pas de forme chimique particulière assignée | 1,5.10-8 | 2,8.10-8 | |
| A. S | Pas de forme chimique particulière assignée | 2,8.10-7 | 5,4.10-7 | |
| Sn-127 | A. F | Pas de forme chimique particulière assignée | 7,0.10-11 | 4,6.10-11 | 
| A. M | Composés non spécifiés, pas de forme chimique particulière assignée | 9,7.10-11 | 7,7.10-11 | |
| A. S | Pas de forme chimique particulière assignée | 1,0.10-10 | 8,1.10-11 | |
| Sn-128 | A. F | Pas de forme chimique particulière assignée | 6,6.10-11 | 4,3.10-11 | 
| A. M | Composés non spécifiés, pas de forme chimique particulière assignée | 9,3.10-11 | 6,6.10-11 | |
| A. S | Pas de forme chimique particulière assignée | 9,4.10-11 | 6,7.10-11 | |
| Antimoine | ||||
| Sb-115 | A. F | Chlorure, tartrate | 1,0.10-11 | 6,7.10-12 | 
| A. M | Trioxyde, autres composés et composés non spécifiés | 1,3.10-11 | 8,8.10-12 | |
| A. S | Pas de forme chimique particulière assignée | 1,3.10-11 | 8,9.10-12 | |
| Sb-116 | A. F | Chlorure, tartrate | 1,2.10-11 | 7,6.10-12 | 
| A. M | Trioxyde, autres composés et composés non spécifiés | 1,4.10-11 | 9,2.10-12 | |
| A. S | Pas de forme chimique particulière assignée | 1,4.10-11 | 9,2.10-12 | |
| Sb-116m | A. F | Chlorure, tartrate | 2,7.10-11 | 1,8.10-11 | 
| A. M | Trioxyde, autres composés et composés non spécifiés | 3,5.10-11 | 2,5.10-11 | |
| A. S | Pas de forme chimique particulière assignée | 3,6.10-11 | 2,5.10-11 | |
| Sb-117 | A. F | Chlorure, tartrate | 7,3.10-12 | 4,7.10-12 | 
| A. M | Trioxyde, autres composés et composés non spécifiés | 1,2.10-11 | 8,6.10-12 | |
| A. S | Pas de forme chimique particulière assignée | 1,2.10-11 | 8,9.10-12 | |
| Sb-118m | A. F | Chlorure, tartrate | 7,7.10-11 | 4,7.10-11 | 
| A. M | Trioxyde, autres composés et composés non spécifiés | 9,7.10-11 | 6,6.10-11 | |
| A. S | Pas de forme chimique particulière assignée | 9,8.10-11 | 6,7.10-11 | |
| Sb-119 | A. F | Chlorure, tartrate | 1,6.10-11 | 1,1.10-11 | 
| A. M | Trioxyde, autres composés et composés non spécifiés | 1,7.10-11 | 1,5.10-11 | |
| A. S | Pas de forme chimique particulière assignée | 1,7.10-11 | 1,6.10-11 | |
| Sb-120 | A. F | Chlorure, tartrate | 6,2.10-12 | 4,1.10-12 | 
| A. M | Trioxyde, autres composés et composés non spécifiés | 7,5.10-12 | 5,0.10-12 | |
| A. S | Pas de forme chimique particulière assignée | 7,5.10-12 | 5,0.10-12 | |
| Sb-120m | A. F | Chlorure, tartrate | 6,5.10-10 | 4,4.10-10 | 
| A. M | Trioxyde, autres composés et composés non spécifiés | 7,9.10-10 | 7,6.10-10 | |
| A. S | Pas de forme chimique particulière assignée | 8,4.10-10 | 8,5.10-10 | |
| Sb-122 | A. F | Chlorure, tartrate | 3,9.10-10 | 2,7.10-10 | 
| A. M | Trioxyde, autres composés et composés non spécifiés | 5,2.10-10 | 5,5.10-10 | |
| A. S | Pas de forme chimique particulière assignée | 5,6.10-10 | 6,2.10-10 | |
| Sb-124 | A. F | Chlorure, tartrate | 1,8.10-9 | 1,4.10-9 | 
| A. M | Trioxyde, autres composés et composés non spécifiés | 3,0.10-9 | 4,9.10-9 | |
| A. S | Pas de forme chimique particulière assignée | 4,3.10-9 | 7,4.10-9 | |
| Sb-124n | A. F | Chlorure, tartrate | 4,2.10-12 | 2,8.10-12 | 
| A. M | Trioxyde, autres composés et composés non spécifiés | 5,4.10-12 | 4,1.10-12 | |
| A. S | Pas de forme chimique particulière assignée | 5,6.10-12 | 4,6.10-12 | |
| Sb-125 | A. F | Chlorure, tartrate | 9,7.10-10 | 8,3.10-10 | 
| A. M | Trioxyde, autres composés et composés non spécifiés | 1,9.10-9 | 3,3.10-9 | |
| A. S | Pas de forme chimique particulière assignée | 8,4.10-9 | 1,5.10-8 | |
| Sb-126 | A. F | Chlorure, tartrate | 1,3.10-9 | 9,9.10-10 | 
| A. M | Trioxyde, autres composés et composés non spécifiés | 1,7.10-9 | 2,2.10-9 | |
| A. S | Pas de forme chimique particulière assignée | 2,0.10-9 | 2,6.10-9 | |
| Sb-126m | A. F | Chlorure, tartrate | 1,6.10-11 | 1,1.10-11 | 
| A. M | Trioxyde, autres composés et composés non spécifiés | 2,0.10-11 | 1,3.10-11 | |
| A. S | Pas de forme chimique particulière assignée | 2,0.10-11 | 1,4.10-11 | |
| Sb-127 | A. F | Chlorure, tartrate | 4,5.10-10 | 3,3.10-10 | 
| A. M | Trioxyde, autres composés et composés non spécifiés | 6,3.10-10 | 7,3.10-10 | |
| A. S | Pas de forme chimique particulière assignée | 7,0.10-10 | 8,5.10-10 | |
| Sb-128 | A. F | Chlorure, tartrate | 2,4.10-10 | 1,5.10-10 | 
| A. M | Trioxyde, autres composés et composés non spécifiés | 3,3.10-10 | 2,4.10-10 | |
| A. S | Pas de forme chimique particulière assignée | 3,4.10-10 | 2,5.10-10 | |
| Sb-128m | A. F | Chlorure, tartrate | 1,3.10-11 | 8,5.10-12 | 
| A. M | Trioxyde, autres composés et composés non spécifiés | 1,5.10-11 | 9,9.10-12 | |
| A. S | Pas de forme chimique particulière assignée | 1,5.10-11 | 9,9.10-12 | |
| Sb-129 | A. F | Chlorure, tartrate | 1,1.10-10 | 7,1.10-11 | 
| A. M | Trioxyde, autres composés et composés non spécifiés | 1,7.10-10 | 1,4.10-10 | |
| A. S | Pas de forme chimique particulière assignée | 1,8.10-10 | 1,4.10-10 | |
| Sb-130 | A. F | Chlorure, tartrate | 4,0.10-11 | 2,6.10-11 | 
| A. M | Trioxyde, autres composés et composés non spécifiés | 5,1.10-11 | 3,5.10-11 | |
| A. S | Pas de forme chimique particulière assignée | 5,2.10-11 | 3,5.10-11 | |
| Sb-131 | A. F | Chlorure, tartrate | 5,3.10-11 | 3,4.10-11 | 
| A. M | Trioxyde, autres composés et composés non spécifiés | 4,8.10-11 | 3,3.10-11 | |
| A. S | Pas de forme chimique particulière assignée | 4,4.10-11 | 3,1.10-11 | |
| Tellure | ||||
| Te-114 | A. F | Chlorure et dioxyde de tellure | 2,2.10-11 | 1,5.10-11 | 
| A. M | Tellure élémentaire, tellurure de cadmium, autres composés et composés non spécifiés | 2,9.10-11 | 2,0.10-11 | |
| A. S | Pas de forme chimique particulière assignée | 2,9.10-11 | 2,0.10-11 | |
| G-V. F | Autres composés et composés non spécifiés | 4,9.10-11 | ||
| Te-116 | A. F | Chlorure et dioxyde de tellure | 6,4.10-11 | 4,1.10-11 | 
| A. M | Tellure élémentaire, tellurure de cadmium, autres composés et composés non spécifiés | 1,0.10-10 | 7,6.10-11 | |
| A. S | Pas de forme chimique particulière assignée | 1,0.10-10 | 7,8.10-11 | |
| G-V. F | Autres composés et composés non spécifiés | 1,1.10-10 | ||
| Te-117 | A. F | Chlorure et dioxyde de tellure | 2,0.10-11 | 1,3.10-11 | 
| A. M | Tellure élémentaire, tellurure de cadmium, autres composés et composés non spécifiés | 2,7.10-11 | 1,9.10-11 | |
| A. S | Pas de forme chimique particulière assignée | 2,8.10-11 | 1,9.10-11 | |
| G-V. F | Autres composés et composés non spécifiés | 3,7.10-11 | ||
| Te-118 | A. F | Chlorure et dioxyde de tellure | 9,2.10-10 | 6,2.10-10 | 
| A. M | Tellure élémentaire, tellurure de cadmium, autres composés et composés non spécifiés | 1,3.10-9 | 1,5.10-9 | |
| A. S | Pas de forme chimique particulière assignée | 1,4.10-9 | 1,8.10-9 | |
| G-V. F | Autres composés et composés non spécifiés | 1,5.10-9 | ||
| Te-119 | A. F | Chlorure et dioxyde de tellure | 7,3.10-11 | 4,6.10-11 | 
| A. M | Tellure élémentaire, tellurure de cadmium, autres composés et composés non spécifiés | 9,2.10-11 | 6,5.10-11 | |
| A. S | Pas de forme chimique particulière assignée | 9,5.10-11 | 6,8.10-11 | |
| G-V. F | Autres composés et composés non spécifiés | 9,9.10-11 | ||
| Te-119m | A. F | Chlorure et dioxyde de tellure | 3,8.10-10 | 2,5.10-10 | 
| A. M | Tellure élémentaire, tellurure de cadmium, autres composés et composés non spécifiés | 4,5.10-10 | 4,1.10-10 | |
| A. S | Pas de forme chimique particulière assignée | 4,7.10-10 | 4,5.10-10 | |
| G-V. F | Autres composés et composés non spécifiés | 5,8.10-10 | ||
| Te-121 | A. F | Chlorure et dioxyde de tellure | 2,8.10-10 | 1,9.10-10 | 
| A. M | Tellure élémentaire, tellurure de cadmium, autres composés et composés non spécifiés | 3,3.10-10 | 4,0.10-10 | |
| A. S | Pas de forme chimique particulière assignée | 3,7.10-10 | 5,0.10-10 | |
| G-V. F | Autres composés et composés non spécifiés | 4,9.10-10 | ||
| Te-121m | A. F | Chlorure et dioxyde de tellure | 5,1.10-10 | 3,7.10-10 | 
| A. M | Tellure élémentaire, tellurure de cadmium, autres composés et composés non spécifiés | 1,4.10-9 | 2,4.10-9 | |
| A. S | Pas de forme chimique particulière assignée | 2,8.10-9 | 5,0.10-9 | |
| G-V. F | Autres composés et composés non spécifiés | 1,1.10-9 | ||
| Te-123 | A. F | Chlorure et dioxyde de tellure | 7,0.10-12 | 5,2.10-12 | 
| A. M | Tellure élémentaire, tellurure de cadmium, autres composés et composés non spécifiés | 1,3.10-11 | 2,4.10-11 | |
| A. S | Pas de forme chimique particulière assignée | 3,0.10-10 | 5,8.10-10 | |
| G-V. F | Autres composés et composés non spécifiés | 1,6.10-11 | ||
| Te-123m | A. F | Chlorure et dioxyde de tellure | 3,1.10-10 | 2,3.10-10 | 
| A. M | Tellure élémentaire, tellurure de cadmium, autres composés et composés non spécifiés | 9,6.10-10 | 1,5.10-9 | |
| A. S | Pas de forme chimique particulière assignée | 1,6.10-9 | 2,6.10-9 | |
| G-V. F | Autres composés et composés non spécifiés | 6,7.10-10 | ||
| Te-125m | A. F | Chlorure et dioxyde de tellure | 2,4.10-10 | 1,7.10-10 | 
| A. M | Tellure élémentaire, tellurure de cadmium, autres composés et composés non spécifiés | 6,7.10-10 | 1,0.10-9 | |
| A. S | Pas de forme chimique particulière assignée | 9,4.10-10 | 1,5.10-9 | |
| G-V. F | Autres composés et composés non spécifiés | 5,2.10-10 | ||
| Te-127 | A. F | Chlorure et dioxyde de tellure | 4,2.10-11 | 2,7.10-11 | 
| A. M | Tellure élémentaire, tellurure de cadmium, autres composés et composés non spécifiés | 7,8.10-11 | 6,8.10-11 | |
| A. S | Pas de forme chimique particulière assignée | 8,0.10-11 | 7,2.10-11 | |
| G-V. F | Autres composés et composés non spécifiés | 8,5.10-11 | ||
| Te-127m | A. F | Chlorure et dioxyde de tellure | 5,9.10-10 | 4,3.10-10 | 
| A. M | Tellure élémentaire, tellurure de cadmium, autres composés et composés non spécifiés | 1,8.10-9 | 3,0.10-9 | |
| A. S | Pas de forme chimique particulière assignée | 3,1.10-9 | 5,3.10-9 | |
| G-V. F | Autres composés et composés non spécifiés | 1,3.10-9 | ||
| Te-129 | A. F | Chlorure et dioxyde de tellure | 2,5.10-11 | 1,6.10-11 | 
| A. M | Tellure élémentaire, tellurure de cadmium, autres composés et composés non spécifiés | 4,1.10-11 | 2,9.10-11 | |
| A. S | Pas de forme chimique particulière assignée | 4,1.10-11 | 2,9.10-11 | |
| G-V. F | Autres composés et composés non spécifiés | 5,8.10-11 | ||
| Te-129m | A. F | Chlorure et dioxyde de tellure | 9,9.10-10 | 7,0.10-10 | 
| A. M | Tellure élémentaire, tellurure de cadmium, autres composés et composés non spécifiés | 2,0.10-9 | 3,2.10-9 | |
| A. S | Pas de forme chimique particulière assignée | 2,6.10-9 | 4,4.10-9 | |
| G-V. F | Autres composés et composés non spécifiés | 2,0.10-9 | ||
| Te-131 | A. F | Chlorure et dioxyde de tellure | 4,2.10-11 | 2,7.10-11 | 
| A. M | Tellure élémentaire, tellurure de cadmium, autres composés et composés non spécifiés | 3,1.10-11 | 2,2.10-11 | |
| A. S | Pas de forme chimique particulière assignée | 2,7.10-11 | 1,9.10-11 | |
| G-V. F | Autres composés et composés non spécifiés | 8,1.10-11 | ||
| Te-131m | A. F | Chlorure et dioxyde de tellure | 1,1.10-9 | 7,1.10-10 | 
| A. M | Tellure élémentaire, tellurure de cadmium, autres composés et composés non spécifiés | 6,3.10-10 | 5,6.10-10 | |
| A. S | Pas de forme chimique particulière assignée | 5,3.10-10 | 5,1.10-10 | |
| G-V. F | Autres composés et composés non spécifiés | 1,8.10-9 | ||
| Te-132 | A. F | Chlorure et dioxyde de tellure | 1,8.10-9 | 1,3.10-9 | 
| A. M | Tellure élémentaire, tellurure de cadmium, autres composés et composés non spécifiés | 1,2.10-9 | 1,2.10-9 | |
| A. S | Pas de forme chimique particulière assignée | 1,2.10-9 | 1,2.10-9 | |
| G-V. F | Autres composés et composés non spécifiés | 3,4.10-9 | ||
| Te-133 | A. F | Chlorure et dioxyde de tellure | 3,0.10-11 | 2,0.10-11 | 
| A. M | Tellure élémentaire, tellurure de cadmium, autres composés et composés non spécifiés | 1,9.10-11 | 1,3.10-11 | |
| A. S | Pas de forme chimique particulière assignée | 1,7.10-11 | 1,2.10-11 | |
| G-V. F | Autres composés et composés non spécifiés | 6,0.10-11 | ||
| Te-133m | A. F | Chlorure et dioxyde de tellure | 1,1.10-10 | 7,6.10-11 | 
| A. M | Tellure élémentaire, tellurure de cadmium, autres composés et composés non spécifiés | 7,3.10-11 | 5,3.10-11 | |
| A. S | Pas de forme chimique particulière assignée | 6,1.10-11 | 4,5.10-11 | |
| G-V. F | Autres composés et composés non spécifiés | 2,1.10-10 | ||
| Te-134 | A. F | Chlorure et dioxyde de tellure | 4,7.10-11 | 3,2.10-11 | 
| A. M | Tellure élémentaire, tellurure de cadmium, autres composés et composés non spécifiés | 5,9.10-11 | 4,2.10-11 | |
| A. S | Pas de forme chimique particulière assignée | 5,9.10-11 | 4,2.10-11 | |
| G-V. F | Autres composés et composés non spécifiés | 1,1.10-10 | ||
| Iode | ||||
| I-118 | A. F | Iodure de sodium, iode vectorisé par du chlorure de césium, iodure d'argent, autres composés et composés non spécifiés | 2,3.10-11 | 1,6.10-11 | 
| A. M | Pas de forme chimique particulière assignée | 3,0.10-11 | 2,1.10-11 | |
| A. S | Pas de forme chimique particulière assignée | 3,0.10-11 | 2,2.10-11 | |
| G-V. V | Iodure de méthyle, iodure d'éthyle | 2,3.10-11 | ||
| G-V. F | Iode élémentaire, autres composés et composés non spécifiés | 8,5.10-11 | ||
| I-119 | A. F | Iodure de sodium, iode vectorisé par du chlorure de césium, iodure d'argent, autres composés et composés non spécifiés | 1,2.10-11 | 7,8.10-12 | 
| A. M | Pas de forme chimique particulière assignée | 1,6.10-11 | 1,1.10-11 | |
| A. S | Pas de forme chimique particulière assignée | 1,6.10-11 | 1,1.10-11 | |
| G-V. V | Iodure de méthyle, iodure d'éthyle | 1,1.10-11 | ||
| G-V. F | Iode élémentaire, autres composés et composés non spécifiés | 5,0.10-11 | ||
| I-120 | A. F | Iodure de sodium, iode vectorisé par du chlorure de césium, iodure d'argent, autres composés et composés non spécifiés | 1,0.10-10 | 7,2.10-11 | 
| A. M | Pas de forme chimique particulière assignée | 9,6.10-11 | 6,8.10-11 | |
| A. S | Pas de forme chimique particulière assignée | 9,5.10-11 | 6,7.10-11 | |
| G-V. V | Iodure de méthyle, iodure d'éthyle | 1,5.10-10 | ||
| G-V. F | Iode élémentaire, autres composés et composés non spécifiés | 2,7.10-10 | ||
| I-120m | A. F | Iodure de sodium, iode vectorisé par du chlorure de césium, iodure d'argent, autres composés et composés non spécifiés | 5,8.10-11 | 4,0.10-11 | 
| A. M | Pas de forme chimique particulière assignée | 6,5.10-11 | 4,5.10-11 | |
| A. S | Pas de forme chimique particulière assignée | 6,5.10-11 | 4,5.10-11 | |
| G-V. V | Iodure de méthyle, iodure d'éthyle | 7,6.10-11 | ||
| G-V. F | Iode élémentaire, autres composés et composés non spécifiés | 1,7.10-10 | ||
| I-121 | A. F | Iodure de sodium, iode vectorisé par du chlorure de césium, iodure d'argent, autres composés et composés non spécifiés | 2,1.10-11 | 1,5.10-11 | 
| A. M | Pas de forme chimique particulière assignée | 1,8.10-11 | 1,4.10-11 | |
| A. S | Pas de forme chimique particulière assignée | 1,8.10-11 | 1,4.10-11 | |
| G-V. V | Iodure de méthyle, iodure d'éthyle | 3,0.10-11 | ||
| G-V. F | Iode élémentaire, autres composés et composés non spécifiés | 5,8.10-11 | ||
| I-123 | A. F | Iodure de sodium, iode vectorisé par du chlorure de césium, iodure d'argent, autres composés et composés non spécifiés | 1,1.10-10 | 7,2.10-11 | 
| A. M | Pas de forme chimique particulière assignée | 4,9.10-11 | 3,7.10-11 | |
| A. S | Pas de forme chimique particulière assignée | 3,7.10-11 | 3,0.10-11 | |
| G-V. V | Iodure de méthyle, iodure d'éthyle | 1,3.10-10 | ||
| G-V. F | Iode élémentaire, autres composés et composés non spécifiés | 2,0.10-10 | ||
| I-124 | A. F | Iodure de sodium, iode vectorisé par du chlorure de césium, iodure d'argent, autres composés et composés non spécifiés | 5,7.10-9 | 3,7.10-9 | 
| A. M | Pas de forme chimique particulière assignée | 1,6.10-9 | 1,2.10-9 | |
| A. S | Pas de forme chimique particulière assignée | 5,5.10-10 | 5,6.10-10 | |
| G-V. V | Iodure de méthyle, iodure d'éthyle | 6,1.10-9 | ||
| G-V. F | Iode élémentaire, autres composés et composés non spécifiés | 8,6.10-9 | ||
| I-125 | A. F | Iodure de sodium, iode vectorisé par du chlorure de césium, iodure d'argent, autres composés et composés non spécifiés | 8,6.10-9 | 5,6.10-9 | 
| A. M | Pas de forme chimique particulière assignée | 2,1.10-9 | 1,7.10-9 | |
| A. S | Pas de forme chimique particulière assignée | 3,0.10-10 | 4,1.10-10 | |
| G-V. V | Iodure de méthyle, iodure d'éthyle | 8,9.10-9 | ||
| G-V. F | Iode élémentaire, autres composés et composés non spécifiés | 1,3.10-8 | ||
| I-126 | A. F | Iodure de sodium, iode vectorisé par du chlorure de césium, iodure d'argent, autres composés et composés non spécifiés | 1,4.10-8 | 9,4.10-9 | 
| A. M | Pas de forme chimique particulière assignée | 3,5.10-9 | 2,7.10-9 | |
| A. S | Pas de forme chimique particulière assignée | 6,9.10-10 | 8,6.10-10 | |
| G-V. V | Iodure de méthyle, iodure d'éthyle | 1,5.10-8 | ||
| G-V. F | Iode élémentaire, autres composés et composés non spécifiés | 2,1.10-8 | ||
| I-128 | A. F | Iodure de sodium, iode vectorisé par du chlorure de césium, iodure d'argent, autres composés et composés non spécifiés | 1,6.10-11 | 1,1.10-11 | 
| A. M | Pas de forme chimique particulière assignée | 2,3.10-11 | 1,5.10-11 | |
| A. S | Pas de forme chimique particulière assignée | 2,3.10-11 | 1,5.10-11 | |
| G-V. V | Iodure de méthyle, iodure d'éthyle | 1,6.10-11 | ||
| G-V. F | Iode élémentaire, autres composés et composés non spécifiés | 7,9.10-11 | ||
| I-129 | A. F | Iodure de sodium, iode vectorisé par du chlorure de césium, iodure d'argent, autres composés et composés non spécifiés | 6,4.10-8 | 4,2.10-8 | 
| A. M | Pas de forme chimique particulière assignée | 1,7.10-8 | 1,7.10-8 | |
| A. S | Pas de forme chimique particulière assignée | 1,4.10-8 | 2,5.10-8 | |
| G-V. V | Iodure de méthyle, iodure d'éthyle | 6,6.10-8 | ||
| G-V. F | Iode élémentaire, autres composés et composés non spécifiés | 9,4.10-8 | ||
| I-130 | A. F | Iodure de sodium, iode vectorisé par du chlorure de césium, iodure d'argent, autres composés et composés non spécifiés | 8,5.10-10 | 5,8.10-10 | 
| A. M | Pas de forme chimique particulière assignée | 3,9.10-10 | 2,9.10-10 | |
| A. S | Pas de forme chimique particulière assignée | 3,0.10-10 | 2,3.10-10 | |
| G-V. V | Iodure de méthyle, iodure d'éthyle | 1,1.10-9 | ||
| G-V. F | Iode élémentaire, autres composés et composés non spécifiés | 1,6.10-9 | ||
| I-131 | A. F | Iodure de sodium, iode vectorisé par du chlorure de césium, iodure d'argent, autres composés et composés non spécifiés | 1,1.10-8 | 7,2.10-9 | 
| A. M | Pas de forme chimique particulière assignée | 2,7.10-9 | 2,1.10-9 | |
| A. S | Pas de forme chimique particulière assignée | 6,0.10-10 | 7,1.10-10 | |
| G-V. V | Iodure de méthyle, iodure d'éthyle | 1,2.10-8 | ||
| G-V. F | Iode élémentaire, autres composés et composés non spécifiés | 1,7.10-8 | ||
| I-132 | A. F | Iodure de sodium, iode vectorisé par du chlorure de césium, iodure d'argent, autres composés et composés non spécifiés | 1,2.10-10 | 8,6.10-11 | 
| A. M | Pas de forme chimique particulière assignée | 1,0.10-10 | 7,2.10-11 | |
| A. S | Pas de forme chimique particulière assignée | 9,7.10-11 | 7,0.10-11 | |
| G-V. V | Iodure de méthyle, iodure d'éthyle | 1,8.10-10 | ||
| G-V. F | Iode élémentaire, autres composés et composés non spécifiés | 3,3.10-10 | ||
| I-132m | A. F | Iodure de sodium, iode vectorisé par du chlorure de césium, iodure d'argent, autres composés et composés non spécifiés | 9,6.10-11 | 6,8.10-11 | 
| A. M | Pas de forme chimique particulière assignée | 7,0.10-11 | 5,3.10-11 | |
| A. S | Pas de forme chimique particulière assignée | 6,6.10-11 | 5,0.10-11 | |
| G-V. V | Iodure de méthyle, iodure d'éthyle | 1,4.10-10 | ||
| G-V. F | Iode élémentaire, autres composés et composés non spécifiés | 2,6.10-10 | ||
| I-133 | A. F | Iodure de sodium, iode vectorisé par du chlorure de césium, iodure d'argent, autres composés et composés non spécifiés | 1,9.10-9 | 1,3.10-9 | 
| A. M | Pas de forme chimique particulière assignée | 5,7.10-10 | 4,3.10-10 | |
| A. S | Pas de forme chimique particulière assignée | 2,8.10-10 | 2,5.10-10 | |
| G-V. V | Iodure de méthyle, iodure d'éthyle | 2,3.10-9 | ||
| G-V. F | Iode élémentaire, autres composés et composés non spécifiés | 3,3.10-9 | ||
| I-134 | A. F | Iodure de sodium, iode vectorisé par du chlorure de césium, iodure d'argent, autres composés et composés non spécifiés | 4,3.10-11 | 3,0.10-11 | 
| A. M | Pas de forme chimique particulière assignée | 5,2.10-11 | 3,6.10-11 | |
| A. S | Pas de forme chimique particulière assignée | 5,2.10-11 | 3,6.10-11 | |
| G-V. V | Iodure de méthyle, iodure d'éthyle | 5,3.10-11 | ||
| G-V. F | Iode élémentaire, autres composés et composés non spécifiés | 1,5.10-10 | ||
| I-135 | A. F | Iodure de sodium, iode vectorisé par du chlorure de césium, iodure d'argent, autres composés et composés non spécifiés | 4,0.10-10 | 2,7.10-10 | 
| A. M | Pas de forme chimique particulière assignée | 2,0.10-10 | 1,5.10-10 | |
| A. S | Pas de forme chimique particulière assignée | 1,6.10-10 | 1,2.10-10 | |
| G-V. V | Iodure de méthyle, iodure d'éthyle | 5,4.10-10 | ||
| G-V. F | Iode élémentaire, autres composés et composés non spécifiés | 8,3.10-10 | ||
| Césium | ||||
| Cs-125 | A. F | Chlorure, nitrate et sulfate de césium | 1,3.10-11 | 8,6.10-12 | 
| A. M | Fragments de combustible irradié, autres composés et composés non spécifiés | 2,1.10-11 | 1,5.10-11 | |
| A. S | Pas de forme chimique particulière assignée | 2,1.10-11 | 1,5.10-11 | |
| Cs-127 | A. F | Chlorure, nitrate et sulfate de césium | 1,9.10-11 | 1,2.10-11 | 
| A. M | Fragments de combustible irradié, autres composés et composés non spécifiés | 2,8.10-11 | 2,1.10-11 | |
| A. S | Pas de forme chimique particulière assignée | 2,9.10-11 | 2,1.10-11 | |
| Cs-129 | A. F | Chlorure, nitrate et sulfate de césium | 4,7.10-11 | 3,1.10-11 | 
| A. M | Fragments de combustible irradié, autres composés et composés non spécifiés | 6,2.10-11 | 4,8.10-11 | |
| A. S | Pas de forme chimique particulière assignée | 6,5.10-11 | 5,1.10-11 | |
| Cs-130 | A. F | Chlorure, nitrate et sulfate de césium | 9,3.10-12 | 6,0.10-12 | 
| A. M | Fragments de combustible irradié, autres composés et composés non spécifiés | 1,5.10-11 | 1,0.10-11 | |
| A. S | Pas de forme chimique particulière assignée | 1,5.10-11 | 1,0.10-11 | |
| Cs-131 | A. F | Chlorure, nitrate et sulfate de césium | 3,5.10-11 | 2,3.10-11 | 
| A. M | Fragments de combustible irradié, autres composés et composés non spécifiés | 3,1.10-11 | 3,3.10-11 | |
| A. S | Pas de forme chimique particulière assignée | 3,1.10-11 | 3,7.10-11 | |
| Cs-132 | A. F | Chlorure, nitrate et sulfate de césium | 3,4.10-10 | 2,2.10-10 | 
| A. M | Fragments de combustible irradié, autres composés et composés non spécifiés | 2,8.10-10 | 2,6.10-10 | |
| A. S | Pas de forme chimique particulière assignée | 2,7.10-10 | 2,8.10-10 | |
| Cs-134 | A. F | Chlorure, nitrate et sulfate de césium | 9,5.10-9 | 6,2.10-9 | 
| A. M | Fragments de combustible irradié, autres composés et composés non spécifiés | 6,0.10-9 | 8,4.10-9 | |
| A. S | Pas de forme chimique particulière assignée | 1,5.10-8 | 2,8.10-8 | |
| Cs-134m | A. F | Chlorure, nitrate et sulfate de césium | 1,5.10-11 | 9,9.10-12 | 
| A. M | Fragments de combustible irradié, autres composés et composés non spécifiés | 3,5.10-11 | 2,9.10-11 | |
| A. S | Pas de forme chimique particulière assignée | 3,7.10-11 | 3,3.10-11 | |
| Cs-135 | A. F | Chlorure, nitrate et sulfate de césium | 8,8.10-10 | 5,7.10-10 | 
| A. M | Fragments de combustible irradié, autres composés et composés non spécifiés | 1,2.10-9 | 1,7.10-9 | |
| A. S | Pas de forme chimique particulière assignée | 1,4.10-8 | 2,5.10-8 | |
| Cs-135m | A. F | Chlorure, nitrate et sulfate de césium | 9,1.10-12 | 6,1.10-12 | 
| A. M | Fragments de combustible irradié, autres composés et composés non spécifiés | 1,2.10-11 | 8,2.10-12 | |
| A. S | Pas de forme chimique particulière assignée | 1,2.10-11 | 8,3.10-12 | |
| Cs-136 | A. F | Chlorure, nitrate et sulfate de césium | 1,9.10-9 | 1,2.10-9 | 
| A. M | Fragments de combustible irradié, autres composés et composés non spécifiés | 1,4.10-9 | 1,6.10-9 | |
| A. S | Pas de forme chimique particulière assignée | 1,3.10-9 | 1,7.10-9 | |
| Cs-137 | A. F | Chlorure, nitrate et sulfate de césium | 9,3.10-9 | 6,0.10-9 | 
| A. M | Fragments de combustible irradié, autres composés et composés non spécifiés | 5,6.10-9 | 7,9.10-9 | |
| A. S | Pas de forme chimique particulière assignée | 5,1.10-8 | 9,7.10-8 | |
| Cs-138 | A. F | Chlorure, nitrate et sulfate de césium | 3,2.10-11 | 2,1.10-11 | 
| A. M | Fragments de combustible irradié, autres composés et composés non spécifiés | 5,0.10-11 | 3,4.10-11 | |
| A. S | Pas de forme chimique particulière assignée | 5,0.10-11 | 3,4.10-11 | |
| Baryum | ||||
| Ba-124 | A. F | Chlorure et carbonate de baryum | 2,3.10-11 | 1,6.10-11 | 
| A. M | Sulfate de baryum, autres composés et composés non spécifiés | 2,5.10-11 | 1,7.10-11 | |
| A. S | Pas de forme chimique particulière assignée | 2,6.10-11 | 1,7.10-11 | |
| Ba-126 | A. F | Chlorure et carbonate de baryum | 9,4.10-11 | 6,1.10-11 | 
| A. M | Sulfate de baryum, autres composés et composés non spécifiés | 1,2.10-10 | 8,3.10-11 | |
| A. S | Pas de forme chimique particulière assignée | 1,2.10-10 | 8,4.10-11 | |
| Ba-127 | A. F | Chlorure et carbonate de baryum | 9,9.10-12 | 6,6.10-12 | 
| A. M | Sulfate de baryum, autres composés et composés non spécifiés | 1,1.10-11 | 7,6.10-12 | |
| A. S | Pas de forme chimique particulière assignée | 1,1.10-11 | 7,7.10-12 | |
| Ba-128 | A. F | Chlorure et carbonate de baryum | 6,0.10-10 | 3,8.10-10 | 
| A. M | Sulfate de baryum, autres composés et composés non spécifiés | 8,3.10-10 | 8,2.10-10 | |
| A. S | Pas de forme chimique particulière assignée | 8,8.10-10 | 9,2.10-10 | |
| Ba-129 | A. F | Chlorure et carbonate de baryum | 1,9.10-11 | 1,2.10-11 | 
| A. M | Sulfate de baryum, autres composés et composés non spécifiés | 2,4.10-11 | 1,8.10-11 | |
| A. S | Pas de forme chimique particulière assignée | 2,5.10-11 | 1,8.10-11 | |
| Ba-129m | A. F | Chlorure et carbonate de baryum | 2,9.10-11 | 1,9.10-11 | 
| A. M | Sulfate de baryum, autres composés et composés non spécifiés | 3,5.10-11 | 2,4.10-11 | |
| A. S | Pas de forme chimique particulière assignée | 3,5.10-11 | 2,5.10-11 | |
| Ba-131 | A. F | Chlorure et carbonate de baryum | 1,7.10-10 | 1,2.10-10 | 
| A. M | Sulfate de baryum, autres composés et composés non spécifiés | 3,3.10-10 | 4,0.10-10 | |
| A. S | Pas de forme chimique particulière assignée | 3,7.10-10 | 4,8.10-10 | |
| Ba-131m | A. F | Chlorure et carbonate de baryum | 4,1.10-12 | 3,4.10-12 | 
| A. M | Sulfate de baryum, autres composés et composés non spécifiés | 5,1.10-12 | 4,4.10-12 | |
| A. S | Pas de forme chimique particulière assignée | 5,1.10-12 | 4,5.10-12 | |
| Ba-133 | A. F | Chlorure et carbonate de baryum | 1,3.10-9 | 1,0.10-9 | 
| A. M | Sulfate de baryum, autres composés et composés non spécifiés | 1,6.10-9 | 2,7.10-9 | |
| A. S | Pas de forme chimique particulière assignée | 1,3.10-8 | 2,4.10-8 | |
| Ba-133m | A. F | Chlorure et carbonate de baryum | 7,7.10-11 | 4,9.10-11 | 
| A. M | Sulfate de baryum, autres composés et composés non spécifiés | 1,5.10-10 | 1,6.10-10 | |
| A. S | Pas de forme chimique particulière assignée | 1,7.10-10 | 1,9.10-10 | |
| Ba-135m | A. F | Chlorure et carbonate de baryum | 6,7.10-11 | 4,2.10-11 | 
| A. M | Sulfate de baryum, autres composés et composés non spécifiés | 1,3.10-10 | 1,3.10-10 | |
| A. S | Pas de forme chimique particulière assignée | 1,4.10-10 | 1,4.10-10 | |
| Ba-139 | A. F | Chlorure et carbonate de baryum | 5,0.10-11 | 3,2.10-11 | 
| A. M | Sulfate de baryum, autres composés et composés non spécifiés | 6,5.10-11 | 4,7.10-11 | |
| A. S | Pas de forme chimique particulière assignée | 6,6.10-11 | 4,7.10-11 | |
| Ba-140 | A. F | Chlorure et carbonate de baryum | 6,9.10-10 | 4,9.10-10 | 
| A. M | Sulfate de baryum, autres composés et composés non spécifiés | 1,8.10-9 | 2,7.10-9 | |
| A. S | Pas de forme chimique particulière assignée | 2,2.10-9 | 3,5.10-9 | |
| Ba-141 | A. F | Chlorure et carbonate de baryum | 2,7.10-11 | 1,8.10-11 | 
| A. M | Sulfate de baryum, autres composés et composés non spécifiés | 3,3.10-11 | 2,4.10-11 | |
| A. S | Pas de forme chimique particulière assignée | 3,4.10-11 | 2,4.10-11 | |
| Ba-142 | A. F | Chlorure et carbonate de baryum | 1,7.10-11 | 1,1.10-11 | 
| A. M | Sulfate de baryum, autres composés et composés non spécifiés | 2,0.10-11 | 1,4.10-11 | |
| A. S | Pas de forme chimique particulière assignée | 2,0.10-11 | 1,4.10-11 | |
| Lanthane | ||||
| La-129 | A. F | La-DTPA | 1,2.10-11 | 8,2.10-12 | 
| A. M | Chlorure, autres composés et composés non spécifiés | 1,2.10-11 | 8,3.10-12 | |
| A. S | Pas de forme chimique particulière assignée | 1,2.10-11 | 8,3.10-12 | |
| A. Spé. N°1 | Dioxyde | 1,2.10-11 | 8,3.10-12 | |
| A. Spé. N°2 | Composés solubles dans l'eau, y compris les chlorures et citrates | 1,2.10-11 | 8,2.10-12 | |
| La-131 | A. F | La-DTPA | 1,9.10-11 | 1,4.10-11 | 
| A. M | Chlorure, autres composés et composés non spécifiés | 2,0.10-11 | 1,5.10-11 | |
| A. S | Pas de forme chimique particulière assignée | 2,0.10-11 | 1,5.10-11 | |
| A. Spé. N°1 | Dioxyde | 2,0.10-11 | 1,5.10-11 | |
| A. Spé. N°2 | Composés solubles dans l'eau, y compris les chlorures et citrates | 1,9.10-11 | 1,4.10-11 | |
| La-132 | A. F | La-DTPA | 1,5.10-10 | 1,1.10-10 | 
| A. M | Chlorure, autres composés et composés non spécifiés | 1,5.10-10 | 1,1.10-10 | |
| A. S | Pas de forme chimique particulière assignée | 1,5.10-10 | 1,1.10-10 | |
| A. Spé. N°1 | Dioxyde | 1,5.10-10 | 1,1.10-10 | |
| A. Spé. N°2 | Composés solubles dans l'eau, y compris les chlorures et citrates | 1,5.10-10 | 1,1.10-10 | |
| La-132m | A. F | La-DTPA | 1,6.10-11 | 1,2.10-11 | 
| A. M | Chlorure, autres composés et composés non spécifiés | 1,7.10-11 | 1,2.10-11 | |
| A. S | Pas de forme chimique particulière assignée | 1,7.10-11 | 1,3.10-11 | |
| A. Spé. N°1 | Dioxyde | 1,7.10-11 | 1,3.10-11 | |
| A. Spé. N°2 | Composés solubles dans l'eau, y compris les chlorures et citrates | 1,6.10-11 | 1,2.10-11 | |
| La-133 | A. F | La-DTPA | 1,1.10-11 | 8,3.10-12 | 
| A. M | Chlorure, autres composés et composés non spécifiés | 1,2.10-11 | 8,8.10-12 | |
| A. S | Pas de forme chimique particulière assignée | 1,2.10-11 | 9,7.10-12 | |
| A. Spé. N°1 | Dioxyde | 1,2.10-11 | 9,1.10-12 | |
| A. Spé. N°2 | Composés solubles dans l'eau, y compris les chlorures et citrates | 1,2.10-11 | 8,7.10-12 | |
| La-135 | A. F | La-DTPA | 1,0.10-11 | 6,9.10-12 | 
| A. M | Chlorure, autres composés et composés non spécifiés | 1,0.10-11 | 7,7.10-12 | |
| A. S | Pas de forme chimique particulière assignée | 1,0.10-11 | 7,9.10-12 | |
| A. Spé. N°1 | Dioxyde | 1,0.10-11 | 7,9.10-12 | |
| A. Spé. N°2 | Composés solubles dans l'eau, y compris les chlorures et citrates | 1,0.10-11 | 7,4.10-12 | |
| La-137 | A. F | La-DTPA | 3,3.10-9 | 5,7.10-9 | 
| A. M | Chlorure, autres composés et composés non spécifiés | 2,3.10-9 | 4,4.10-9 | |
| A. S | Pas de forme chimique particulière assignée | 4,2.10-9 | 8,1.10-9 | |
| A. Spé. N°1 | Dioxyde | 1,7.10-9 | 3,4.10-9 | |
| A. Spé. N°2 | Composés solubles dans l'eau, y compris les chlorures et citrates | 2,5.10-9 | 4,6.10-9 | |
| La-138 | A. F | La-DTPA | 7,7.10-8 | 1,4.10-7 | 
| A. M | Chlorure, autres composés et composés non spécifiés | 5,3.10-8 | 1,0.10-7 | |
| A. S | Pas de forme chimique particulière assignée | 6,6.10-8 | 1,3.10-7 | |
| A. Spé. N°1 | Dioxyde | 3,7.10-8 | 7,2.10-8 | |
| A. Spé. N°2 | Composés solubles dans l'eau, y compris les chlorures et citrates | 5,8.10-8 | 1,1.10-7 | |
| La-140 | A. F | La-DTPA | 6,3.10-10 | 4,8.10-10 | 
| A. M | Chlorure, autres composés et composés non spécifiés | 7,1.10-10 | 6,2.10-10 | |
| A. S | Pas de forme chimique particulière assignée | 7,3.10-10 | 6,5.10-10 | |
| A. Spé. N°1 | Dioxyde | 7,3.10-10 | 6,6.10-10 | |
| A. Spé. N°2 | Composés solubles dans l'eau, y compris les chlorures et citrates | 6,8.10-10 | 5,7.10-10 | |
| La-141 | A. F | La-DTPA | 1,3.10-10 | 1,0.10-10 | 
| A. M | Chlorure, autres composés et composés non spécifiés | 1,4.10-10 | 1,1.10-10 | |
| A. S | Pas de forme chimique particulière assignée | 1,4.10-10 | 1,1.10-10 | |
| A. Spé. N°1 | Dioxyde | 1,4.10-10 | 1,1.10-10 | |
| A. Spé. N°2 | Composés solubles dans l'eau, y compris les chlorures et citrates | 1,3.10-10 | 1,1.10-10 | |
| La-142 | A. F | La-DTPA | 8,6.10-11 | 6,1.10-11 | 
| A. M | Chlorure, autres composés et composés non spécifiés | 8,8.10-11 | 6,2.10-11 | |
| A. S | Pas de forme chimique particulière assignée | 8,8.10-11 | 6,3.10-11 | |
| A. Spé. N°1 | Dioxyde | 8,8.10-11 | 6,3.10-11 | |
| A. Spé. N°2 | Composés solubles dans l'eau, y compris les chlorures et citrates | 8,7.10-11 | 6,2.10-11 | |
| La-143 | A. F | La-DTPA | 2,2.10-11 | 1,5.10-11 | 
| A. M | Chlorure, autres composés et composés non spécifiés | 2,2.10-11 | 1,6.10-11 | |
| A. S | Pas de forme chimique particulière assignée | 2,2.10-11 | 1,6.10-11 | |
| A. Spé. N°1 | Dioxyde | 2,2.10-11 | 1,6.10-11 | |
| A. Spé. N°2 | Composés solubles dans l'eau, y compris les chlorures et citrates | 2,2.10-11 | 1,6.10-11 | |
| Cérium | ||||
| Ce-130 | A. F | Pas de forme chimique particulière assignée | 3,7.10-11 | 2,5.10-11 | 
| A. M | Chlorure, citrate, fluorure, hydroxyde, autres composés et composés non spécifiés | 3,8.10-11 | 2,6.10-11 | |
| A. S | Fragments de combustible irradié | 3,8.10-11 | 2,6.10-11 | |
| A. Spé. N°1 | Dioxyde | 3,8.10-11 | 2,6.10-11 | |
| A. Spé. N°2 | Composés solubles dans l'eau, y compris les chlorures et citrates | 3,7.10-11 | 2,6.10-11 | |
| Ce-131 | A. F | Pas de forme chimique particulière assignée | 1,2.10-11 | 8,6.10-12 | 
| A. M | Chlorure, citrate, fluorure, hydroxyde, autres composés et composés non spécifiés | 1,3.10-11 | 8,8.10-12 | |
| A. S | Fragments de combustible irradié | 1,3.10-11 | 8,9.10-12 | |
| A. Spé. N°1 | Dioxyde | 1,3.10-11 | 8,9.10-12 | |
| A. Spé. N°2 | Composés solubles dans l'eau, y compris les chlorures et citrates | 1,3.10-11 | 8,8.10-12 | |
| Ce-132 | A. F | Pas de forme chimique particulière assignée | 9,9.10-11 | 7,2.10-11 | 
| A. M | Chlorure, citrate, fluorure, hydroxyde, autres composés et composés non spécifiés | 1,0.10-10 | 7,9.10-11 | |
| A. S | Fragments de combustible irradié | 1,0.10-10 | 8,1.10-11 | |
| A. Spé. N°1 | Dioxyde | 1,0.10-10 | 8,1.10-11 | |
| A. Spé. N°2 | Composés solubles dans l'eau, y compris les chlorures et citrates | 1,0.10-10 | 7,7.10-11 | |
| Ce-133 | A. F | Pas de forme chimique particulière assignée | 4,3.10-11 | 3,3.10-11 | 
| A. M | Chlorure, citrate, fluorure, hydroxyde, autres composés et composés non spécifiés | 4,4.10-11 | 3,4.10-11 | |
| A. S | Fragments de combustible irradié | 4,5.10-11 | 3,5.10-11 | |
| A. Spé. N°1 | Dioxyde | 4,5.10-11 | 3,5.10-11 | |
| A. Spé. N°2 | Composés solubles dans l'eau, y compris les chlorures et citrates | 4,4.10-11 | 3,4.10-11 | |
| Ce-133m | A. F | Pas de forme chimique particulière assignée | 8,5.10-11 | 6,0.10-11 | 
| A. M | Chlorure, citrate, fluorure, hydroxyde, autres composés et composés non spécifiés | 8,7.10-11 | 6,3.10-11 | |
| A. S | Fragments de combustible irradié | 8,8.10-11 | 6,5.10-11 | |
| A. Spé. N°1 | Dioxyde | 8,8.10-11 | 6,4.10-11 | |
| A. Spé. N°2 | Composés solubles dans l'eau, y compris les chlorures et citrates | 8,6.10-11 | 6,2.10-11 | |
| Ce-134 | A. F | Pas de forme chimique particulière assignée | 6,5.10-10 | 5,5.10-10 | 
| A. M | Chlorure, citrate, fluorure, hydroxyde, autres composés et composés non spécifiés | 8,1.10-10 | 8,7.10-10 | |
| A. S | Fragments de combustible irradié | 8,6.10-10 | 9,6.10-10 | |
| A. Spé. N°1 | Dioxyde | 8,6.10-10 | 9,6.10-10 | |
| A. Spé. N°2 | Composés solubles dans l'eau, y compris les chlorures et citrates | 7,5.10-10 | 7,5.10-10 | |
| Ce-135 | A. F | Pas de forme chimique particulière assignée | 1,1.10-10 | 7,8.10-11 | 
| A. M | Chlorure, citrate, fluorure, hydroxyde, autres composés et composés non spécifiés | 1,2.10-10 | 8,6.10-11 | |
| A. S | Fragments de combustible irradié | 1,2.10-10 | 8,8.10-11 | |
| A. Spé. N°1 | Dioxyde | 1,2.10-10 | 8,8.10-11 | |
| A. Spé. N°2 | Composés solubles dans l'eau, y compris les chlorures et citrates | 1,2.10-10 | 8,3.10-11 | |
| Ce-137 | A. F | Pas de forme chimique particulière assignée | 5,7.10-12 | 4,1.10-12 | 
| A. M | Chlorure, citrate, fluorure, hydroxyde, autres composés et composés non spécifiés | 5,7.10-12 | 4,4.10-12 | |
| A. S | Fragments de combustible irradié | 5,7.10-12 | 4,4.10-12 | |
| A. Spé. N°1 | Dioxyde | 5,7.10-12 | 4,4.10-12 | |
| A. Spé. N°2 | Composés solubles dans l'eau, y compris les chlorures et citrates | 5,7.10-12 | 4,3.10-12 | |
| Ce-137m | A. F | Pas de forme chimique particulière assignée | 1,3.10-10 | 1,1.10-10 | 
| A. M | Chlorure, citrate, fluorure, hydroxyde, autres composés et composés non spécifiés | 1,6.10-10 | 1,6.10-10 | |
| A. S | Fragments de combustible irradié | 1,7.10-10 | 1,8.10-10 | |
| A. Spé. N°1 | Dioxyde | 1,7.10-10 | 1,8.10-10 | |
| A. Spé. N°2 | Composés solubles dans l'eau, y compris les chlorures et citrates | 1,5.10-10 | 1,5.10-10 | |
| Ce-139 | A. F | Pas de forme chimique particulière assignée | 5,2.10-10 | 8,0.10-10 | 
| A. M | Chlorure, citrate, fluorure, hydroxyde, autres composés et composés non spécifiés | 6,3.10-10 | 1,1.10-9 | |
| A. S | Fragments de combustible irradié | 8,2.10-10 | 1,4.10-9 | |
| A. Spé. N°1 | Dioxyde | 7,7.10-10 | 1,3.10-9 | |
| A. Spé. N°2 | Composés solubles dans l'eau, y compris les chlorures et citrates | 6,4.10-10 | 1,0.10-9 | |
| Ce-141 | A. F | Pas de forme chimique particulière assignée | 3,4.10-10 | 4,3.10-10 | 
| A. M | Chlorure, citrate, fluorure, hydroxyde, autres composés et composés non spécifiés | 6,8.10-10 | 1,0.10-9 | |
| A. S | Fragments de combustible irradié | 8,4.10-10 | 1,3.10-9 | |
| A. Spé. N°1 | Dioxyde | 8,3.10-10 | 1,3.10-9 | |
| A. Spé. N°2 | Composés solubles dans l'eau, y compris les chlorures et citrates | 5,8.10-10 | 8,6.10-10 | |
| Ce-143 | A. F | Pas de forme chimique particulière assignée | 2,6.10-10 | 2,3.10-10 | 
| A. M | Chlorure, citrate, fluorure, hydroxyde, autres composés et composés non spécifiés | 3,4.10-10 | 3,6.10-10 | |
| A. S | Fragments de combustible irradié | 3,6.10-10 | 4,0.10-10 | |
| A. Spé. N°1 | Dioxyde | 3,6.10-10 | 4,0.10-10 | |
| A. Spé. N°2 | Composés solubles dans l'eau, y compris les chlorures et citrates | 3,1.10-10 | 3,2.10-10 | |
| Ce-144 | A. F | Pas de forme chimique particulière assignée | 9,4.10-9 | 1,6.10-8 | 
| A. M | Chlorure, citrate, fluorure, hydroxyde, autres composés et composés non spécifiés | 1,4.10-8 | 2,7.10-8 | |
| A. S | Fragments de combustible irradié | 2,7.10-8 | 5,1.10-8 | |
| A. Spé. N°1 | Dioxyde | 2,3.10-8 | 4,3.10-8 | |
| A. Spé. N°2 | Composés solubles dans l'eau, y compris les chlorures et citrates | 1,5.10-8 | 2,8.10-8 | |
| Praséodyme | ||||
| Pr-134 | A. F | Pas de forme chimique particulière assignée | 1,8.10-11 | 1,3.10-11 | 
| A. M | Chlorure, autres composés et composés non spécifiés | 1,9.10-11 | 1,3.10-11 | |
| A. S | Pas de forme chimique particulière assignée | 1,9.10-11 | 1,4.10-11 | |
| A. Spé. N°1 | Dioxyde | 1,9.10-11 | 1,4.10-11 | |
| A. Spé. N°2 | Composés solubles dans l'eau, y compris les chlorures et citrates | 1,9.10-11 | 1,3.10-11 | |
| Pr-134m | A. F | Pas de forme chimique particulière assignée | 3,2.10-11 | 2,2.10-11 | 
| A. M | Chlorure, autres composés et composés non spécifiés | 3,2.10-11 | 2,3.10-11 | |
| A. S | Pas de forme chimique particulière assignée | 3,2.10-11 | 2,4.10-11 | |
| A. Spé. N°1 | Dioxyde | 3,2.10-11 | 2,4.10-11 | |
| A. Spé. N°2 | Composés solubles dans l'eau, y compris les chlorures et citrates | 3,2.10-11 | 2,3.10-11 | |
| Pr-135 | A. F | Pas de forme chimique particulière assignée | 2,1.10-11 | 1,4.10-11 | 
| A. M | Chlorure, autres composés et composés non spécifiés | 2,1.10-11 | 1,4.10-11 | |
| A. S | Pas de forme chimique particulière assignée | 2,1.10-11 | 1,5.10-11 | |
| A. Spé. N°1 | Dioxyde | 2,1.10-11 | 1,5.10-11 | |
| A. Spé. N°2 | Composés solubles dans l'eau, y compris les chlorures et citrates | 2,1.10-11 | 1,4.10-11 | |
| Pr-136 | A. F | Pas de forme chimique particulière assignée | 1,4.10-11 | 9,3.10-12 | 
| A. M | Chlorure, autres composés et composés non spécifiés | 1,4.10-11 | 9,3.10-12 | |
| A. S | Pas de forme chimique particulière assignée | 1,4.10-11 | 9,3.10-12 | |
| A. Spé. N°1 | Dioxyde | 1,4.10-11 | 9,3.10-12 | |
| A. Spé. N°2 | Composés solubles dans l'eau, y compris les chlorures et citrates | 1,4.10-11 | 9,3.10-12 | |
| Pr-137 | A. F | Pas de forme chimique particulière assignée | 1,8.10-11 | 1,3.10-11 | 
| A. M | Chlorure, autres composés et composés non spécifiés | 1,8.10-11 | 1,3.10-11 | |
| A. S | Pas de forme chimique particulière assignée | 1,8.10-11 | 1,3.10-11 | |
| A. Spé. N°1 | Dioxyde | 1,8.10-11 | 1,3.10-11 | |
| A. Spé. N°2 | Composés solubles dans l'eau, y compris les chlorures et citrates | 1,8.10-11 | 1,3.10-11 | |
| Pr-138m | A. F | Pas de forme chimique particulière assignée | 6,1.10-11 | 4,2.10-11 | 
| A. M | Chlorure, autres composés et composés non spécifiés | 6,2.10-11 | 4,3.10-11 | |
| A. S | Pas de forme chimique particulière assignée | 6,2.10-11 | 4,4.10-11 | |
| A. Spé. N°1 | Dioxyde | 6,2.10-11 | 4,4.10-11 | |
| A. Spé. N°2 | Composés solubles dans l'eau, y compris les chlorures et citrates | 6,2.10-11 | 4,3.10-11 | |
| Pr-139 | A. F | Pas de forme chimique particulière assignée | 1,3.10-11 | 1,0.10-11 | 
| A. M | Chlorure, autres composés et composés non spécifiés | 1,4.10-11 | 1,1.10-11 | |
| A. S | Pas de forme chimique particulière assignée | 1,4.10-11 | 1,2.10-11 | |
| A. Spé. N°1 | Dioxyde | 1,4.10-11 | 1,1.10-11 | |
| A. Spé. N°2 | Composés solubles dans l'eau, y compris les chlorures et citrates | 1,4.10-11 | 1,1.10-11 | |
| Pr-142 | A. F | Pas de forme chimique particulière assignée | 2,8.10-10 | 2,3.10-10 | 
| A. M | Chlorure, autres composés et composés non spécifiés | 3,2.10-10 | 2,9.10-10 | |
| A. S | Pas de forme chimique particulière assignée | 3,3.10-10 | 3,0.10-10 | |
| A. Spé. N°1 | Dioxyde | 3,3.10-10 | 3,0.10-10 | |
| A. Spé. N°2 | Composés solubles dans l'eau, y compris les chlorures et citrates | 3,0.10-10 | 2,7.10-10 | |
| Pr-142m | A. F | Pas de forme chimique particulière assignée | 3,4.10-12 | 2,8.10-12 | 
| A. M | Chlorure, autres composés et composés non spécifiés | 3,9.10-12 | 3,6.10-12 | |
| A. S | Pas de forme chimique particulière assignée | 4,0.10-12 | 3,8.10-12 | |
| A. Spé. N°1 | Dioxyde | 4,0.10-12 | 3,8.10-12 | |
| A. Spé. N°2 | Composés solubles dans l'eau, y compris les chlorures et citrates | 3,7.10-12 | 3,3.10-12 | |
| Pr-143 | A. F | Pas de forme chimique particulière assignée | 3,1.10-10 | 3,5.10-10 | 
| A. M | Chlorure, autres composés et composés non spécifiés | 5,8.10-10 | 8,6.10-10 | |
| A. S | Pas de forme chimique particulière assignée | 6,7.10-10 | 1,0.10-9 | |
| A. Spé. N°1 | Dioxyde | 6,7.10-10 | 1,0.10-9 | |
| A. Spé. N°2 | Composés solubles dans l'eau, y compris les chlorures et citrates | 4,9.10-10 | 6,9.10-10 | |
| Pr-144 | A. F | Pas de forme chimique particulière assignée | 2,2.10-11 | 1,5.10-11 | 
| A. M | Chlorure, autres composés et composés non spécifiés | 2,3.10-11 | 1,5.10-11 | |
| A. S | Pas de forme chimique particulière assignée | 2,3.10-11 | 1,5.10-11 | |
| A. Spé. N°1 | Dioxyde | 2,3.10-11 | 1,5.10-11 | |
| A. Spé. N°2 | Composés solubles dans l'eau, y compris les chlorures et citrates | 2,2.10-11 | 1,5.10-11 | |
| Pr-145 | A. F | Pas de forme chimique particulière assignée | 1,2.10-10 | 9,6.10-11 | 
| A. M | Chlorure, autres composés et composés non spécifiés | 1,3.10-10 | 1,1.10-10 | |
| A. S | Pas de forme chimique particulière assignée | 1,3.10-10 | 1,1.10-10 | |
| A. Spé. N°1 | Dioxyde | 1,3.10-10 | 1,1.10-10 | |
| A. Spé. N°2 | Composés solubles dans l'eau, y compris les chlorures et citrates | 1,3.10-10 | 1,0.10-10 | |
| Pr-146 | A. F | Pas de forme chimique particulière assignée | 3,5.10-11 | 2,4.10-11 | 
| A. M | Chlorure, autres composés et composés non spécifiés | 3,5.10-11 | 2,4.10-11 | |
| A. S | Pas de forme chimique particulière assignée | 3,5.10-11 | 2,4.10-11 | |
| A. Spé. N°1 | Dioxyde | 3,5.10-11 | 2,4.10-11 | |
| A. Spé. N°2 | Composés solubles dans l'eau, y compris les chlorures et citrates | 3,5.10-11 | 2,4.10-11 | |
| Pr-147 | A. F | Pas de forme chimique particulière assignée | 1,7.10-11 | 1,1.10-11 | 
| A. M | Chlorure, autres composés et composés non spécifiés | 1,7.10-11 | 1,2.10-11 | |
| A. S | Pas de forme chimique particulière assignée | 1,7.10-11 | 1,2.10-11 | |
| A. Spé. N°1 | Dioxyde | 1,7.10-11 | 1,2.10-11 | |
| A. Spé. N°2 | Composés solubles dans l'eau, y compris les chlorures et citrates | 1,7.10-11 | 1,2.10-11 | |
| Néodyme | ||||
| Nd-135 | A. F | Pas de forme chimique particulière assignée | 2,7.10-11 | 1,9.10-11 | 
| A. M | Pas de forme chimique particulière assignée, autres composés et composés non spécifiés | 2,7.10-11 | 1,9.10-11 | |
| A. S | Fragments de combustible irradié | 2,7.10-11 | 1,9.10-11 | |
| A. Spé. N°1 | Dioxyde | 2,7.10-11 | 1,9.10-11 | |
| A. Spé. N°2 | Composés solubles dans l'eau, y compris les chlorures et citrates | 2,7.10-11 | 1,9.10-11 | |
| Nd-136 | A. F | Pas de forme chimique particulière assignée | 5,2.10-11 | 3,7.10-11 | 
| A. M | Pas de forme chimique particulière assignée, autres composés et composés non spécifiés | 5,2.10-11 | 3,8.10-11 | |
| A. S | Fragments de combustible irradié | 5,3.10-11 | 3,8.10-11 | |
| A. Spé. N°1 | Dioxyde | 5,3.10-11 | 3,8.10-11 | |
| A. Spé. N°2 | Composés solubles dans l'eau, y compris les chlorures et citrates | 5,2.10-11 | 3,7.10-11 | |
| Nd-137 | A. F | Pas de forme chimique particulière assignée | 2,6.10-11 | 1,8.10-11 | 
| A. M | Pas de forme chimique particulière assignée, autres composés et composés non spécifiés | 2,6.10-11 | 1,9.10-11 | |
| A. S | Fragments de combustible irradié | 2,6.10-11 | 1,9.10-11 | |
| A. Spé. N°1 | Dioxyde | 2,6.10-11 | 1,9.10-11 | |
| A. Spé. N°2 | Composés solubles dans l'eau, y compris les chlorures et citrates | 2,6.10-11 | 1,8.10-11 | |
| Nd-138 | A. F | Pas de forme chimique particulière assignée | 2,0.10-10 | 1,5.10-10 | 
| A. M | Pas de forme chimique particulière assignée, autres composés et composés non spécifiés | 2,1.10-10 | 1,6.10-10 | |
| A. S | Fragments de combustible irradié | 2,1.10-10 | 1,6.10-10 | |
| A. Spé. N°1 | Dioxyde | 2,1.10-10 | 1,6.10-10 | |
| A. Spé. N°2 | Composés solubles dans l'eau, y compris les chlorures et citrates | 2,0.10-10 | 1,6.10-10 | |
| Nd-139 | A. F | Pas de forme chimique particulière assignée | 1,0.10-11 | 7,1.10-12 | 
| A. M | Pas de forme chimique particulière assignée, autres composés et composés non spécifiés | 1,0.10-11 | 7,3.10-12 | |
| A. S | Fragments de combustible irradié | 1,0.10-11 | 7,3.10-12 | |
| A. Spé. N°1 | Dioxyde | 1,0.10-11 | 7,3.10-12 | |
| A. Spé. N°2 | Composés solubles dans l'eau, y compris les chlorures et citrates | 1,0.10-11 | 7,2.10-12 | |
| Nd-139m | A. F | Pas de forme chimique particulière assignée | 1,0.10-10 | 7,5.10-11 | 
| A. M | Pas de forme chimique particulière assignée, autres composés et composés non spécifiés | 1,1.10-10 | 8,1.10-11 | |
| A. S | Fragments de combustible irradié | 1,1.10-10 | 8,3.10-11 | |
| A. Spé. N°1 | Dioxyde | 1,1.10-10 | 8,3.10-11 | |
| A. Spé. N°2 | Composés solubles dans l'eau, y compris les chlorures et citrates | 1,0.10-10 | 7,9.10-11 | |
| Nd-140 | A. F | Pas de forme chimique particulière assignée | 4,9.10-10 | 4,2.10-10 | 
| A. M | Pas de forme chimique particulière assignée, autres composés et composés non spécifiés | 6,2.10-10 | 6,7.10-10 | |
| A. S | Fragments de combustible irradié | 6,6.10-10 | 7,4.10-10 | |
| A. Spé. N°1 | Dioxyde | 6,6.10-10 | 7,4.10-10 | |
| A. Spé. N°2 | Composés solubles dans l'eau, y compris les chlorures et citrates | 5,7.10-10 | 5,8.10-10 | |
| Nd-141 | A. F | Pas de forme chimique particulière assignée | 3,5.10-12 | 2,6.10-12 | 
| A. M | Pas de forme chimique particulière assignée, autres composés et composés non spécifiés | 3,6.10-12 | 2,6.10-12 | |
| A. S | Fragments de combustible irradié | 3,6.10-12 | 2,7.10-12 | |
| A. Spé. N°1 | Dioxyde | 3,6.10-12 | 2,7.10-12 | |
| A. Spé. N°2 | Composés solubles dans l'eau, y compris les chlorures et citrates | 3,6.10-12 | 2,6.10-12 | |
| Nd-144 | A. F | Pas de forme chimique particulière assignée | 3,5.10-6 | 6,0.10-06 | 
| A. M | Pas de forme chimique particulière assignée, autres composés et composés non spécifiés | 2,4.10-6 | 4,7.10-6 | |
| A. S | Fragments de combustible irradié | 4,4.10-6 | 8,6.10-6 | |
| A. Spé. N°1 | Dioxyde | 2,0.10-6 | 3,8.10-6 | |
| A. Spé. N°2 | Composés solubles dans l'eau, y compris les chlorures et citrates | 2,7.10-6 | 4,9.10-6 | |
| Nd-147 | A. F | Pas de forme chimique particulière assignée | 3,3.10-10 | 3,7.10-10 | 
| A. M | Pas de forme chimique particulière assignée, autres composés et composés non spécifiés | 5,9.10-10 | 8,3.10-10 | |
| A. S | Fragments de combustible irradié | 6,9.10-10 | 1,0.10-9 | |
| A. Spé. N°1 | Dioxyde | 6,8.10-10 | 9,9.10-10 | |
| A. Spé. N°2 | Composés solubles dans l'eau, y compris les chlorures et citrates | 5,0.10-10 | 6,8.10-10 | |
| Nd-149 | A. F | Pas de forme chimique particulière assignée | 6,5.10-11 | 4,8.10-11 | 
| A. M | Pas de forme chimique particulière assignée, autres composés et composés non spécifiés | 6,8.10-11 | 5,4.10-11 | |
| A. S | Fragments de combustible irradié | 6,9.10-11 | 5,5.10-11 | |
| A. Spé. N°1 | Dioxyde | 6,9.10-11 | 5,5.10-11 | |
| A. Spé. N°2 | Composés solubles dans l'eau, y compris les chlorures et citrates | 6,7.10-11 | 5,2.10-11 | |
| Nd-151 | A. F | Pas de forme chimique particulière assignée | 1,5.10-11 | 1,0.10-11 | 
| A. M | Pas de forme chimique particulière assignée, autres composés et composés non spécifiés | 1,5.10-11 | 1,1.10-11 | |
| A. S | Fragments de combustible irradié | 1,5.10-11 | 1,1.10-11 | |
| A. Spé. N°1 | Dioxyde | 1,5.10-11 | 1,1.10-11 | |
| A. Spé. N°2 | Composés solubles dans l'eau, y compris les chlorures et citrates | 1,5.10-11 | 1,0.10-11 | |
| Nd-152 | A. F | Pas de forme chimique particulière assignée | 2,6.10-11 | 1,7.10-11 | 
| A. M | Pas de forme chimique particulière assignée, autres composés et composés non spécifiés | 2,6.10-11 | 1,7.10-11 | |
| A. S | Fragments de combustible irradié | 2,6.10-11 | 1,7.10-11 | |
| A. Spé. N°1 | Dioxyde | 2,6.10-11 | 1,7.10-11 | |
| A. Spé. N°2 | Composés solubles dans l'eau, y compris les chlorures et citrates | 2,6.10-11 | 1,7.10-11 | |
| Prométhium | ||||
| Pm-141 | A. F | Pas de forme chimique particulière assignée | 1,6.10-11 | 1,1.10-11 | 
| A. M | Chlorure, oxyde, autres composés et composés non spécifiés | 1,6.10-11 | 1,1.10-11 | |
| A. S | Pas de forme chimique particulière assignée | 1,6.10-11 | 1,1.10-11 | |
| A. Spé. N°1 | Dioxyde | 1,6.10-11 | 1,1.10-11 | |
| A. Spé. N°2 | Composés solubles dans l'eau, y compris les chlorures et citrates | 1,6.10-11 | 1,1.10-11 | |
| Pm-143 | A. F | Pas de forme chimique particulière assignée | 1,1.10-9 | 1,8.10-9 | 
| A. M | Chlorure, oxyde, autres composés et composés non spécifiés | 1,0.10-9 | 1,8.10-9 | |
| A. S | Pas de forme chimique particulière assignée | 1,2.10-9 | 2,2.10-9 | |
| A. Spé. N°1 | Dioxyde | 1,1.10-9 | 2,0.10-9 | |
| A. Spé. N°2 | Composés solubles dans l'eau, y compris les chlorures et citrates | 1,1.10-9 | 1,9.10-9 | |
| Pm-144 | A. F | Pas de forme chimique particulière assignée | 6,7.10-9 | 1,1.10-8 | 
| A. M | Chlorure, oxyde, autres composés et composés non spécifiés | 5,7.10-9 | 1,0.10-8 | |
| A. S | Pas de forme chimique particulière assignée | 6,5.10-9 | 1,2.10-8 | |
| A. Spé. N°1 | Dioxyde | 6,0.10-9 | 1,1.10-8 | |
| A. Spé. N°2 | Composés solubles dans l'eau, y compris les chlorures et citrates | 6,3.10-9 | 1,1.10-8 | |
| Pm-145 | A. F | Pas de forme chimique particulière assignée | 2,4.10-9 | 4,2.10-9 | 
| A. M | Chlorure, oxyde, autres composés et composés non spécifiés | 1,8.10-9 | 3,3.10-9 | |
| A. S | Pas de forme chimique particulière assignée | 2,8.10-9 | 5,4.10-9 | |
| A. Spé. N°1 | Dioxyde | 1,5.10-9 | 2,9.10-9 | |
| A. Spé. N°2 | Composés solubles dans l'eau, y compris les chlorures et citrates | 2,0.10-9 | 3,5.10-9 | |
| Pm-146 | A. F | Pas de forme chimique particulière assignée | 1,6.10-8 | 2,7.10-8 | 
| A. M | Chlorure, oxyde, autres composés et composés non spécifiés | 1,2.10-8 | 2,2.10-8 | |
| A. S | Pas de forme chimique particulière assignée | 1,6.10-8 | 3,1.10-8 | |
| A. Spé. N°1 | Dioxyde | 1,1.10-8 | 2,1.10-8 | |
| A. Spé. N°2 | Composés solubles dans l'eau, y compris les chlorures et citrates | 1,3.10-8 | 2,4.10-8 | |
| Pm-147 | A. F | Pas de forme chimique particulière assignée | 1,1.10-9 | 1,8.10-9 | 
| A. M | Chlorure, oxyde, autres composés et composés non spécifiés | 1,2.10-9 | 2,2.10-9 | |
| A. S | Pas de forme chimique particulière assignée | 2,5.10-9 | 4,1.10-9 | |
| A. Spé. N°1 | Dioxyde | 1,9.10-9 | 3,1.10-9 | |
| A. Spé. N°2 | Composés solubles dans l'eau, y compris les chlorures et citrates | 1,4.10-9 | 2,3.10-9 | |
| Pm-148 | A. F | Pas de forme chimique particulière assignée | 6,6.10-10 | 6,2.10-10 | 
| A. M | Chlorure, oxyde, autres composés et composés non spécifiés | 9,4.10-10 | 1,1.10-9 | |
| A. S | Pas de forme chimique particulière assignée | 1,0.10-9 | 1,3.10-9 | |
| A. Spé. N°1 | Dioxyde | 1,0.10-9 | 1,3.10-9 | |
| A. Spé. N°2 | Composés solubles dans l'eau, y compris les chlorures et citrates | 8,4.10-10 | 9,6.10-10 | |
| Pm-148m | A. F | Pas de forme chimique particulière assignée | 1,8.10-9 | 2,5.10-9 | 
| A. M | Chlorure, oxyde, autres composés et composés non spécifiés | 2,4.10-9 | 3,7.10-9 | |
| A. S | Pas de forme chimique particulière assignée | 2,8.10-9 | 4,4.10-9 | |
| A. Spé. N°1 | Dioxyde | 2,7.10-9 | 4,3.10-9 | |
| A. Spé. N°2 | Composés solubles dans l'eau, y compris les chlorures et citrates | 2,3.10-9 | 3,4.10-9 | |
| Pm-149 | A. F | Pas de forme chimique particulière assignée | 2,0.10-10 | 1,7.10-10 | 
| A. M | Chlorure, oxyde, autres composés et composés non spécifiés | 2,6.10-10 | 2,9.10-10 | |
| A. S | Pas de forme chimique particulière assignée | 2,8.10-10 | 3,2.10-10 | |
| A. Spé. N°1 | Dioxyde | 2,8.10-10 | 3,2.10-10 | |
| A. Spé. N°2 | Composés solubles dans l'eau, y compris les chlorures et citrates | 2,4.10-10 | 2,5.10-10 | |
| Pm-150 | A. F | Pas de forme chimique particulière assignée | 1,1.10-10 | 8,3.10-11 | 
| A. M | Chlorure, oxyde, autres composés et composés non spécifiés | 1,2.10-10 | 8,7.10-11 | |
| A. S | Pas de forme chimique particulière assignée | 1,2.10-10 | 8,8.10-11 | |
| A. Spé. N°1 | Dioxyde | 1,2.10-10 | 8,8.10-11 | |
| A. Spé. N°2 | Composés solubles dans l'eau, y compris les chlorures et citrates | 1,2.10-10 | 8,5.10-11 | |
| Pm-151 | A. F | Pas de forme chimique particulière assignée | 1,9.10-10 | 1,6.10-10 | 
| A. M | Chlorure, oxyde, autres composés et composés non spécifiés | 2,3.10-10 | 2,2.10-10 | |
| A. S | Pas de forme chimique particulière assignée | 2,4.10-10 | 2,3.10-10 | |
| A. Spé. N°1 | Dioxyde | 2,4.10-10 | 2,3.10-10 | |
| A. Spé. N°2 | Composés solubles dans l'eau, y compris les chlorures et citrates | 2,1.10-10 | 2,0.10-10 | |
| Samarium | ||||
| Sm-140 | A. F | Pas de forme chimique particulière assignée | 3,5.10-11 | 2,4.10-11 | 
| A. M | Chlorure, oxyde, autres composés et composés non spécifiés | 3,6.10-11 | 2,5.10-11 | |
| A. S | Pas de forme chimique particulière assignée | 3,6.10-11 | 2,5.10-11 | |
| A. Spé. N°1 | Dioxyde | 3,6.10-11 | 2,5.10-11 | |
| A. Spé. N°2 | Composés solubles dans l'eau, y compris les chlorures et citrates | 3,6.10-11 | 2,5.10-11 | |
| Sm-141 | A. F | Pas de forme chimique particulière assignée | 1,7.10-11 | 1,1.10-11 | 
| A. M | Chlorure, oxyde, autres composés et composés non spécifiés | 1,7.10-11 | 1,2.10-11 | |
| A. S | Pas de forme chimique particulière assignée | 1,7.10-11 | 1,2.10-11 | |
| A. Spé. N°1 | Dioxyde | 1,7.10-11 | 1,2.10-11 | |
| A. Spé. N°2 | Composés solubles dans l'eau, y compris les chlorures et citrates | 1,7.10-11 | 1,1.10-11 | |
| Sm-141m | A. F | Pas de forme chimique particulière assignée | 3,3.10-11 | 2,2.10-11 | 
| A. M | Chlorure, oxyde, autres composés et composés non spécifiés | 3,3.10-11 | 2,2.10-11 | |
| A. S | Pas de forme chimique particulière assignée | 3,3.10-11 | 2,3.10-11 | |
| A. Spé. N°1 | Dioxyde | 3,3.10-11 | 2,3.10-11 | |
| A. Spé. N°2 | Composés solubles dans l'eau, y compris les chlorures et citrates | 3,3.10-11 | 2,2.10-11 | |
| Sm-142 | A. F | Pas de forme chimique particulière assignée | 8,4.10-11 | 5,9.10-11 | 
| A. M | Chlorure, oxyde, autres composés et composés non spécifiés | 8,5.10-11 | 6,0.10-11 | |
| A. S | Pas de forme chimique particulière assignée | 8,5.10-11 | 6,1.10-11 | |
| A. Spé. N°1 | Dioxyde | 8,5.10-11 | 6,1.10-11 | |
| A. Spé. N°2 | Composés solubles dans l'eau, y compris les chlorures et citrates | 8,4.10-11 | 6,0.10-11 | |
| Sm-145 | A. F | Pas de forme chimique particulière assignée | 7,9.10-10 | 1,3.10-9 | 
| A. M | Chlorure, oxyde, autres composés et composés non spécifiés | 7,5.10-10 | 1,4.10-9 | |
| A. S | Pas de forme chimique particulière assignée | 1,1.10-9 | 1,9.10-9 | |
| A. Spé. N°1 | Dioxyde | 8,8.10-10 | 1,6.10-9 | |
| A. Spé. N°2 | Composés solubles dans l'eau, y compris les chlorures et citrates | 8,2.10-10 | 1,4.10-9 | |
| Sm-146 | A. F | Pas de forme chimique particulière assignée | 4,6.10-6 | 8,0.10-6 | 
| A. M | Chlorure, oxyde, autres composés et composés non spécifiés | 3,3.10-6 | 6,3.10-6 | |
| A. S | Pas de forme chimique particulière assignée | 6,2.10-6 | 1,2.10-5 | |
| A. Spé. N°1 | Dioxyde | 2,8.10-6 | 5,4.10-6 | |
| A. Spé. N°2 | Composés solubles dans l'eau, y compris les chlorures et citrates | 3,7.10-6 | 6,7.10-6 | |
| Sm-147 | A. F | Pas de forme chimique particulière assignée | 4,2.10-6 | 7,3.10-6 | 
| A. M | Chlorure, oxyde, autres composés et composés non spécifiés | 3,0.10-6 | 5,7.10-6 | |
| A. S | Pas de forme chimique particulière assignée | 5,5.10-6 | 1,1.10-5 | |
| A. Spé. N°1 | Dioxyde | 2,5.10-6 | 4,8.10-6 | |
| A. Spé. N°2 | Composés solubles dans l'eau, y compris les chlorures et citrates | 3,3.10-6 | 6,0.10-6 | |
| Sm-148 | A. F | Pas de forme chimique particulière assignée | 3,6.10-6 | 6,3.10-6 | 
| A. M | Chlorure, oxyde, autres composés et composés non spécifiés | 2,6.10-6 | 4,9.10-6 | |
| A. S | Pas de forme chimique particulière assignée | 4,6.10-6 | 9,0.10-6 | |
| A. Spé. N°1 | Dioxyde | 2,1.10-6 | 4,0.10-6 | |
| A. Spé. N°2 | Composés solubles dans l'eau, y compris les chlorures et citrates | 2,8.10-6 | 5,1.10-6 | |
| Sm-151 | A. F | Pas de forme chimique particulière assignée | 1,7.10-9 | 3,0.10-9 | 
| A. M | Chlorure, oxyde, autres composés et composés non spécifiés | 1,3.10-9 | 2,4.10-9 | |
| A. S | Pas de forme chimique particulière assignée | 2,3.10-9 | 4,2.10-9 | |
| A. Spé. N°1 | Dioxyde | 1,1.10-9 | 2,1.10-9 | |
| A. Spé. N°2 | Composés solubles dans l'eau, y compris les chlorures et citrates | 1,4.10-9 | 2,5.10-9 | |
| Sm-153 | A. F | Pas de forme chimique particulière assignée | 1,7.10-10 | 1,6.10-10 | 
| A. M | Chlorure, oxyde, autres composés et composés non spécifiés | 2,4.10-10 | 2,7.10-10 | |
| A. S | Pas de forme chimique particulière assignée | 2,6.10-10 | 3,0.10-10 | |
| A. Spé. N°1 | Dioxyde | 2,6.10-10 | 3,0.10-10 | |
| A. Spé. N°2 | Composés solubles dans l'eau, y compris les chlorures et citrates | 2,1.10-10 | 2,3.10-10 | |
| Sm-155 | A. F | Pas de forme chimique particulière assignée | 1,9.10-11 | 1,3.10-11 | 
| A. M | Chlorure, oxyde, autres composés et composés non spécifiés | 1,9.10-11 | 1,3.10-11 | |
| A. S | Pas de forme chimique particulière assignée | 1,9.10-11 | 1,3.10-11 | |
| A. Spé. N°1 | Dioxyde | 1,9.10-11 | 1,3.10-11 | |
| A. Spé. N°2 | Composés solubles dans l'eau, y compris les chlorures et citrates | 1,9.10-11 | 1,3.10-11 | |
| Sm-156 | A. F | Pas de forme chimique particulière assignée | 9,3.10-11 | 8,4.10-11 | 
| A. M | Chlorure, oxyde, autres composés et composés non spécifiés | 1,1.10-10 | 1,2.10-10 | |
| A. S | Pas de forme chimique particulière assignée | 1,2.10-10 | 1,4.10-10 | |
| A. Spé. N°1 | Dioxyde | 1,2.10-10 | 1,4.10-10 | |
| A. Spé. N°2 | Composés solubles dans l'eau, y compris les chlorures et citrates | 1,1.10-10 | 1,1.10-10 | |
| Europium | ||||
| Eu-145 | A. F | Pas de forme chimique particulière assignée | 3,7.10-10 | 3,1.10-10 | 
| A. M | Nitrate, oxyde, autres composés et composés non spécifiés | 4,2.10-10 | 4,2.10-10 | |
| A. S | Pas de forme chimique particulière assignée | 4,4.10-10 | 4,6.10-10 | |
| A. Spé. N°1 | Dioxyde | 4,4.10-10 | 4,5.10-10 | |
| A. Spé. N°2 | Composés solubles dans l'eau, y compris les chlorures et citrates | 4,0.10-10 | 3,8.10-10 | |
| Eu-146 | A. F | Pas de forme chimique particulière assignée | 6,3.10-10 | 4,9.10-10 | 
| A. M | Nitrate, oxyde, autres composés et composés non spécifiés | 7,0.10-10 | 6,4.10-10 | |
| A. S | Pas de forme chimique particulière assignée | 7,3.10-10 | 6,8.10-10 | |
| A. Spé. N°1 | Dioxyde | 7,3.10-10 | 6,9.10-10 | |
| A. Spé. N°2 | Composés solubles dans l'eau, y compris les chlorures et citrates | 6,8.10-10 | 5,9.10-10 | |
| Eu-147 | A. F | Pas de forme chimique particulière assignée | 3,0.10-10 | 3,4.10-10 | 
| A. M | Nitrate, oxyde, autres composés et composés non spécifiés | 4,4.10-10 | 6,2.10-10 | |
| A. S | Pas de forme chimique particulière assignée | 5,0.10-10 | 7,3.10-10 | |
| A. Spé. N°1 | Dioxyde | 5,0.10-10 | 7,2.10-10 | |
| A. Spé. N°2 | Composés solubles dans l'eau, y compris les chlorures et citrates | 4,0.10-10 | 5,3.10-10 | |
| Eu-148 | A. F | Pas de forme chimique particulière assignée | 1,7.10-9 | 2,3.10-9 | 
| A. M | Nitrate, oxyde, autres composés et composés non spécifiés | 2,1.10-9 | 3,3.10-9 | |
| A. S | Pas de forme chimique particulière assignée | 2,4.10-9 | 4,0.10-9 | |
| A. Spé. N°1 | Dioxyde | 2,4.10-9 | 3,9.10-9 | |
| A. Spé. N°2 | Composés solubles dans l'eau, y compris les chlorures et citrates | 2,0.10-9 | 3,0.10-9 | |
| Eu-149 | A. F | Pas de forme chimique particulière assignée | 1,6.10-10 | 2,3.10-10 | 
| A. M | Nitrate, oxyde, autres composés et composés non spécifiés | 2,0.10-10 | 3,4.10-10 | |
| A. S | Pas de forme chimique particulière assignée | 2,6.10-10 | 4,6.10-10 | |
| A. Spé. N°1 | Dioxyde | 2,5.10-10 | 4,4.10-10 | |
| A. Spé. N°2 | Composés solubles dans l'eau, y compris les chlorures et citrates | 2,0.10-10 | 3,3.10-10 | |
| Eu-150 | A. F | Pas de forme chimique particulière assignée | 4,2.10-8 | 7,4.10-8 | 
| A. M | Nitrate, oxyde, autres composés et composés non spécifiés | 3,0.10-8 | 5,7.10-8 | |
| A. S | Pas de forme chimique particulière assignée | 5,8.10-8 | 1,1.10-7 | |
| A. Spé. N°1 | Dioxyde | 2,6.10-8 | 5,0.10-8 | |
| A. Spé. N°2 | Composés solubles dans l'eau, y compris les chlorures et citrates | 3,4.10-8 | 6,1.10-8 | |
| Eu-150m | A. F | Pas de forme chimique particulière assignée | 1,0.10-10 | 8,3.10-11 | 
| A. M | Nitrate, oxyde, autres composés et composés non spécifiés | 1,1.10-10 | 1,0.10-10 | |
| A. S | Pas de forme chimique particulière assignée | 1,2.10-10 | 1,1.10-10 | |
| A. Spé. N°1 | Dioxyde | 1,2.10-10 | 1,1.10-10 | |
| A. Spé. N°2 | Composés solubles dans l'eau, y compris les chlorures et citrates | 1,1.10-10 | 9,4.10-11 | |
| Eu-152 | A. F | Pas de forme chimique particulière assignée | 2,4.10-8 | 4,1.10-8 | 
| A. M | Nitrate, oxyde, autres composés et composés non spécifiés | 1,8.10-8 | 3,5.10-8 | |
| A. S | Pas de forme chimique particulière assignée | 3,9.10-8 | 7,5.10-8 | |
| A. Spé. N°1 | Dioxyde | 1,9.10-8 | 3,6.10-8 | |
| A. Spé. N°2 | Composés solubles dans l'eau, y compris les chlorures et citrates | 2,1.10-8 | 3,7.10-8 | |
| Eu-152m | A. F | Pas de forme chimique particulière assignée | 1,4.10-10 | 1,1.10-10 | 
| A. M | Nitrate, oxyde, autres composés et composés non spécifiés | 1,5.10-10 | 1,2.10-10 | |
| A. S | Pas de forme chimique particulière assignée | 1,5.10-10 | 1,3.10-10 | |
| A. Spé. N°1 | Dioxyde | 1,5.10-10 | 1,3.10-10 | |
| A. Spé. N°2 | Composés solubles dans l'eau, y compris les chlorures et citrates | 1,4.10-10 | 1,2.10-10 | |
| Eu-152n | A. F | Pas de forme chimique particulière assignée | 4,3.10-12 | 4,8.10-12 | 
| A. M | Nitrate, oxyde, autres composés et composés non spécifiés | 4,3.10-12 | 4,9.10-12 | |
| A. S | Pas de forme chimique particulière assignée | 4,6.10-12 | 5,5.10-12 | |
| A. Spé. N°1 | Dioxyde | 4,3.10-12 | 5,0.10-12 | |
| A. Spé. N°2 | Composés solubles dans l'eau, y compris les chlorures et citrates | 4,3.10-12 | 4,9.10-12 | |
| Eu-154 | A. F | Pas de forme chimique particulière assignée | 2,3.10-8 | 4,0.10-8 | 
| A. M | Nitrate, oxyde, autres composés et composés non spécifiés | 1,9.10-8 | 3,6.10-8 | |
| A. S | Pas de forme chimique particulière assignée | 4,3.10-8 | 8,1.10-8 | |
| A. Spé. N°1 | Dioxyde | 2,2.10-8 | 4,2.10-8 | |
| A. Spé. N°2 | Composés solubles dans l'eau, y compris les chlorures et citrates | 2,2.10-8 | 3,9.10-8 | |
| Eu-154m | A. F | Pas de forme chimique particulière assignée | 1,8.10-12 | 2,0.10-12 | 
| A. M | Nitrate, oxyde, autres composés et composés non spécifiés | 1,8.10-12 | 2,0.10-12 | |
| A. S | Pas de forme chimique particulière assignée | 2,0.10-12 | 2,5.10-12 | |
| A. Spé. N°1 | Dioxyde | 1,8.10-12 | 2,1.10-12 | |
| A. Spé. N°2 | Composés solubles dans l'eau, y compris les chlorures et citrates | 1,8.10-12 | 2,0.10-12 | |
| Eu-155 | A. F | Pas de forme chimique particulière assignée | 1,8.10-9 | 3,1.10-9 | 
| A. M | Nitrate, oxyde, autres composés et composés non spécifiés | 1,9.10-9 | 3,3.10-9 | |
| A. S | Pas de forme chimique particulière assignée | 4,1.10-9 | 7,1.10-9 | |
| A. Spé. N°1 | Dioxyde | 2,7.10-9 | 4,6.10-9 | |
| A. Spé. N°2 | Composés solubles dans l'eau, y compris les chlorures et citrates | 2,1.10-9 | 3,6.10-9 | |
| Eu-156 | A. F | Pas de forme chimique particulière assignée | 8,7.10-10 | 9,3.10-10 | 
| A. M | Nitrate, oxyde, autres composés et composés non spécifiés | 1,4.10-9 | 2,0.10-9 | |
| A. S | Pas de forme chimique particulière assignée | 1,6.10-9 | 2,4.10-9 | |
| A. Spé. N°1 | Dioxyde | 1,6.10-9 | 2,4.10-9 | |
| A. Spé. N°2 | Composés solubles dans l'eau, y compris les chlorures et citrates | 1,3.10-9 | 1,7.10-9 | |
| Eu-157 | A. F | Pas de forme chimique particulière assignée | 1,6.10-10 | 1,3.10-10 | 
| A. M | Nitrate, oxyde, autres composés et composés non spécifiés | 1,8.10-10 | 1,6.10-10 | |
| A. S | Pas de forme chimique particulière assignée | 1,9.10-10 | 1,7.10-10 | |
| A. Spé. N°1 | Dioxyde | 1,9.10-10 | 1,7.10-10 | |
| A. Spé. N°2 | Composés solubles dans l'eau, y compris les chlorures et citrates | 1,7.10-10 | 1,5.10-10 | |
| Eu-158 | A. F | Pas de forme chimique particulière assignée | 5,0.10-11 | 3,5.10-11 | 
| A. M | Nitrate, oxyde, autres composés et composés non spécifiés | 5,1.10-11 | 3,6.10-11 | |
| A. S | Pas de forme chimique particulière assignée | 5,1.10-11 | 3,6.10-11 | |
| A. Spé. N°1 | Dioxyde | 5,1.10-11 | 3,6.10-11 | |
| A. Spé. N°2 | Composés solubles dans l'eau, y compris les chlorures et citrates | 5,1.10-11 | 3,6.10-11 | |
| Eu-159 | A. F | Pas de forme chimique particulière assignée | 2,2.10-11 | 1,6.10-11 | 
| A. M | Nitrate, oxyde, autres composés et composés non spécifiés | 2,3.10-11 | 1,6.10-11 | |
| A. S | Pas de forme chimique particulière assignée | 2,3.10-11 | 1,6.10-11 | |
| A. Spé. N°1 | Dioxyde | 2,3.10-11 | 1,6.10-11 | |
| A. Spé. N°2 | Composés solubles dans l'eau, y compris les chlorures et citrates | 2,3.10-11 | 1,6.10-11 | |
| Gadolinium | ||||
| Gd-145 | A. F | Chlorure, citrate | 1,5.10-11 | 1,1.10-11 | 
| A. M | Oxyde, autres composés et composés non spécifiés | 1,6.10-11 | 1,1.10-11 | |
| A. S | Pas de forme chimique particulière assignée | 1,6.10-11 | 1,1.10-11 | |
| A. Spé. N°1 | Dioxyde | 1,6.10-11 | 1,1.10-11 | |
| A. Spé. N°2 | Composés solubles dans l'eau, y compris les chlorures et citrates | 1,6.10-11 | 1,1.10-11 | |
| Gd-146 | A. F | Chlorure, citrate | 1,5.10-9 | 2,3.10-9 | 
| A. M | Oxyde, autres composés et composés non spécifiés | 2,5.10-9 | 4,3.10-9 | |
| A. S | Pas de forme chimique particulière assignée | 3,2.10-9 | 5,6.10-9 | |
| A. Spé. N°1 | Dioxyde | 3,1.10-9 | 5,5.10-9 | |
| A. Spé. N°2 | Composés solubles dans l'eau, y compris les chlorures et citrates | 2,3.10-9 | 3,8.10-9 | |
| Gd-147 | A. F | Chlorure, citrate | 2,9.10-10 | 2,1.10-10 | 
| A. M | Oxyde, autres composés et composés non spécifiés | 3,2.10-10 | 2,7.10-10 | |
| A. S | Pas de forme chimique particulière assignée | 3,3.10-10 | 2,8.10-10 | |
| A. Spé. N°1 | Dioxyde | 3,3.10-10 | 2,8.10-10 | |
| A. Spé. N°2 | Composés solubles dans l'eau, y compris les chlorures et citrates | 3,1.10-10 | 2,4.10-10 | |
| Gd-148 | A. F | Chlorure, citrate | 2,9.10-6 | 5,0.10-6 | 
| A. M | Oxyde, autres composés et composés non spécifiés | 2,5.10-6 | 4,6.10-6 | |
| A. S | Pas de forme chimique particulière assignée | 7,4.10-6 | 1,3.10-5 | |
| A. Spé. N°1 | Dioxyde | 3,1.10-6 | 5,3.10-6 | |
| A. Spé. N°2 | Composés solubles dans l'eau, y compris les chlorures et citrates | 2,8.10-6 | 5,0.10-6 | |
| Gd-149 | A. F | Chlorure, citrate | 2,6.10-10 | 2,4.10-10 | 
| A. M | Oxyde, autres composés et composés non spécifiés | 3,6.10-10 | 4,4.10-10 | |
| A. S | Pas de forme chimique particulière assignée | 4,0.10-10 | 5,0.10-10 | |
| A. Spé. N°1 | Dioxyde | 4,0.10-10 | 5,0.10-10 | |
| A. Spé. N°2 | Composés solubles dans l'eau, y compris les chlorures et citrates | 3,3.10-10 | 3,7.10-10 | |
| Gd-150 | A. F | Chlorure, citrate | 2,8.10-6 | 4,9.10-6 | 
| A. M | Oxyde, autres composés et composés non spécifiés | 2,3.10-6 | 4,2.10-6 | |
| A. S | Pas de forme chimique particulière assignée | 6,8.10-6 | 1,3.10-5 | |
| A. Spé. N°1 | Dioxyde | 2,5.10-6 | 4,5.10-6 | |
| A. Spé. N°2 | Composés solubles dans l'eau, y compris les chlorures et citrates | 2,6.10-6 | 4,5.10-6 | |
| Gd-151 | A. F | Chlorure, citrate | 2,4.10-10 | 3,4.10-10 | 
| A. M | Oxyde, autres composés et composés non spécifiés | 3,5.10-10 | 5,9.10-10 | |
| A. S | Pas de forme chimique particulière assignée | 5,0.10-10 | 8,7.10-10 | |
| A. Spé. N°1 | Dioxyde | 4,6.10-10 | 8,1.10-10 | |
| A. Spé. N°2 | Composés solubles dans l'eau, y compris les chlorures et citrates | 3,5.10-10 | 5,7.10-10 | |
| Gd-152 | A. F | Chlorure, citrate | 2,2.10-6 | 3,8.10-6 | 
| A. M | Oxyde, autres composés et composés non spécifiés | 1,7.10-6 | 3,1.10-6 | |
| A. S | Pas de forme chimique particulière assignée | 4,9.10-6 | 9,4.10-6 | |
| A. Spé. N°1 | Dioxyde | 1,7.10-6 | 3,2.10-6 | |
| A. Spé. N°2 | Composés solubles dans l'eau, y compris les chlorures et citrates | 1,9.10-6 | 3,4.10-6 | |
| Gd-153 | A. F | Chlorure, citrate | 5,1.10-10 | 7,9.10-10 | 
| A. M | Oxyde, autres composés et composés non spécifiés | 7,7.10-10 | 1,3.10-9 | |
| A. S | Pas de forme chimique particulière assignée | 1,3.10-9 | 2,1.10-9 | |
| A. Spé. N°1 | Dioxyde | 1,1.10-9 | 1,9.10-9 | |
| A. Spé. N°2 | Composés solubles dans l'eau, y compris les chlorures et citrates | 7,9.10-10 | 1,3.10-9 | |
| Gd-159 | A. F | Chlorure, citrate | 1,2.10-10 | 1,0.10-10 | 
| A. M | Oxyde, autres composés et composés non spécifiés | 1,4.10-10 | 1,3.10-10 | |
| A. S | Pas de forme chimique particulière assignée | 1,5.10-10 | 1,4.10-10 | |
| A. Spé. N°1 | Dioxyde | 1,5.10-10 | 1,4.10-10 | |
| A. Spé. N°2 | Composés solubles dans l'eau, y compris les chlorures et citrates | 1,4.10-10 | 1,2.10-10 | |
| Terbium | ||||
| Tb-147 | A. F | Pas de forme chimique particulière assignée | 5,8.10-11 | 4,1.10-11 | 
| A. M | Oxyde, autres composés et composés non spécifiés | 6,1.10-11 | 4,5.10-11 | |
| A. S | Pas de forme chimique particulière assignée | 6,1.10-11 | 4,6.10-11 | |
| A. Spé. N°1 | Dioxyde | 6,1.10-11 | 4,6.10-11 | |
| A. Spé. N°2 | Composés solubles dans l'eau, y compris les chlorures et citrates | 6,0.10-11 | 4,3.10-11 | |
| Tb-148 | A. F | Pas de forme chimique particulière assignée | 6,1.10-11 | 4,7.10-11 | 
| A. M | Oxyde, autres composés et composés non spécifiés | 6,1.10-11 | 4,7.10-11 | |
| A. S | Pas de forme chimique particulière assignée | 6,9.10-11 | 6,1.10-11 | |
| A. Spé. N°1 | Dioxyde | 6,2.10-11 | 4,8.10-11 | |
| A. Spé. N°2 | Composés solubles dans l'eau, y compris les chlorures et citrates | 6,2.10-11 | 4,7.10-11 | |
| Tb-149 | A. F | Pas de forme chimique particulière assignée | 2,5.10-9 | 3,4.10-9 | 
| A. M | Oxyde, autres composés et composés non spécifiés | 2,9.10-9 | 3,9.10-9 | |
| A. S | Pas de forme chimique particulière assignée | 3,0.10-9 | 4,1.10-9 | |
| A. Spé. N°1 | Dioxyde | 3,0.10-9 | 4,1.10-9 | |
| A. Spé. N°2 | Composés solubles dans l'eau, y compris les chlorures et citrates | 2,7.10-9 | 3,7.10-9 | |
| Tb-150 | A. F | Pas de forme chimique particulière assignée | 8,7.10-11 | 6,1.10-11 | 
| A. M | Oxyde, autres composés et composés non spécifiés | 8,9.10-11 | 6,3.10-11 | |
| A. S | Pas de forme chimique particulière assignée | 8,9.10-11 | 6,4.10-11 | |
| A. Spé. N°1 | Dioxyde | 8,9.10-11 | 6,4.10-11 | |
| A. Spé. N°2 | Composés solubles dans l'eau, y compris les chlorures et citrates | 8,8.10-11 | 6,2.10-11 | |
| Tb-151 | A. F | Pas de forme chimique particulière assignée | 1,5.10-10 | 1,1.10-10 | 
| A. M | Oxyde, autres composés et composés non spécifiés | 1,7.10-10 | 1,4.10-10 | |
| A. S | Pas de forme chimique particulière assignée | 1,7.10-10 | 1,5.10-10 | |
| A. Spé. N°1 | Dioxyde | 1,7.10-10 | 1,5.10-10 | |
| A. Spé. N°2 | Composés solubles dans l'eau, y compris les chlorures et citrates | 1,6.10-10 | 1,3.10-10 | |
| Tb-152 | A. F | Pas de forme chimique particulière assignée | 2,3.10-10 | 1,6.10-10 | 
| A. M | Oxyde, autres composés et composés non spécifiés | 2,5.10-10 | 1,9.10-10 | |
| A. S | Pas de forme chimique particulière assignée | 2,5.10-10 | 1,9.10-10 | |
| A. Spé. N°1 | Dioxyde | 2,5.10-10 | 1,9.10-10 | |
| A. Spé. N°2 | Composés solubles dans l'eau, y compris les chlorures et citrates | 2,4.10-10 | 1,8.10-10 | |
| Tb-153 | A. F | Pas de forme chimique particulière assignée | 1,0.10-10 | 8,7.10-11 | 
| A. M | Oxyde, autres composés et composés non spécifiés | 1,3.10-10 | 1,4.10-10 | |
| A. S | Pas de forme chimique particulière assignée | 1,4.10-10 | 1,5.10-10 | |
| A. Spé. N°1 | Dioxyde | 1,4.10-10 | 1,5.10-10 | |
| A. Spé. N°2 | Composés solubles dans l'eau, y compris les chlorures et citrates | 1,2.10-10 | 1,2.10-10 | |
| Tb-154 | A. F | Pas de forme chimique particulière assignée | 2,8.10-10 | 1,9.10-10 | 
| A. M | Oxyde, autres composés et composés non spécifiés | 3,0.10-10 | 2,2.10-10 | |
| A. S | Pas de forme chimique particulière assignée | 3,0.10-10 | 2,3.10-10 | |
| A. Spé. N°1 | Dioxyde | 3,0.10-10 | 2,3.10-10 | |
| A. Spé. N°2 | Composés solubles dans l'eau, y compris les chlorures et citrates | 2,9.10-10 | 2,1.10-10 | |
| Tb-155 | A. F | Pas de forme chimique particulière assignée | 9,1.10-11 | 7,8.10-11 | 
| A. M | Oxyde, autres composés et composés non spécifiés | 1,3.10-10 | 1,5.10-10 | |
| A. S | Pas de forme chimique particulière assignée | 1,4.10-10 | 1,6.10-10 | |
| A. Spé. N°1 | Dioxyde | 1,4.10-10 | 1,6.10-10 | |
| A. Spé. N°2 | Composés solubles dans l'eau, y compris les chlorures et citrates | 1,1.10-10 | 1,2.10-10 | |
| Tb-156 | A. F | Pas de forme chimique particulière assignée | 5,6.10-10 | 4,5.10-10 | 
| A. M | Oxyde, autres composés et composés non spécifiés | 7,1.10-10 | 7,1.10-10 | |
| A. S | Pas de forme chimique particulière assignée | 7,5.10-10 | 7,9.10-10 | |
| A. Spé. N°1 | Dioxyde | 7,5.10-10 | 7,9.10-10 | |
| A. Spé. N°2 | Composés solubles dans l'eau, y compris les chlorures et citrates | 6,6.10-10 | 6,2.10-10 | |
| Tb-156m | A. F | Pas de forme chimique particulière assignée | 7,6.10-11 | 6,9.10-11 | 
| A. M | Oxyde, autres composés et composés non spécifiés | 1,1.10-10 | 1,3.10-10 | |
| A. S | Pas de forme chimique particulière assignée | 1,2.10-10 | 1,4.10-10 | |
| A. Spé. N°1 | Dioxyde | 1,2.10-10 | 1,4.10-10 | |
| A. Spé. N°2 | Composés solubles dans l'eau, y compris les chlorures et citrates | 9,6.10-11 | 1,1.10-10 | |
| Tb-156n | A. F | Pas de forme chimique particulière assignée | 5,2.10-11 | 4,8.10-11 | 
| A. M | Oxyde, autres composés et composés non spécifiés | 6,2.10-11 | 6,3.10-11 | |
| A. S | Pas de forme chimique particulière assignée | 6,4.10-11 | 6,8.10-11 | |
| A. Spé. N°1 | Dioxyde | 6,4.10-11 | 6,8.10-11 | |
| A. Spé. N°2 | Composés solubles dans l'eau, y compris les chlorures et citrates | 5,8.10-11 | 5,8.10-11 | |
| Tb-157 | A. F | Pas de forme chimique particulière assignée | 4,9.10-10 | 8,4.10-10 | 
| A. M | Oxyde, autres composés et composés non spécifiés | 3,6.10-10 | 6,8.10-10 | |
| A. S | Pas de forme chimique particulière assignée | 9,9.10-10 | 1,9.10-9 | |
| A. Spé. N°1 | Dioxyde | 3,4.10-10 | 6,6.10-10 | |
| A. Spé. N°2 | Composés solubles dans l'eau, y compris les chlorures et citrates | 4,0.10-10 | 7,4.10-10 | |
| Tb-158 | A. F | Pas de forme chimique particulière assignée | 3,8.10-8 | 6,6.10-8 | 
| A. M | Oxyde, autres composés et composés non spécifiés | 2,7.10-8 | 5,2.10-8 | |
| A. S | Pas de forme chimique particulière assignée | 5,4.10-8 | 1,0.10-7 | |
| A. Spé. N°1 | Dioxyde | 2,3.10-8 | 4,4.10-8 | |
| A. Spé. N°2 | Composés solubles dans l'eau, y compris les chlorures et citrates | 3,0.10-8 | 5,5.10-8 | |
| Tb-160 | A. F | Pas de forme chimique particulière assignée | 1,4.10-9 | 1,9.10-9 | 
| A. M | Oxyde, autres composés et composés non spécifiés | 2,4.10-9 | 4,0.10-9 | |
| A. S | Pas de forme chimique particulière assignée | 3,3.10-9 | 5,6.10-9 | |
| A. Spé. N°1 | Dioxyde | 3,2.10-9 | 5,3.10-9 | |
| A. Spé. N°2 | Composés solubles dans l'eau, y compris les chlorures et citrates | 2,2.10-9 | 3,5.10-9 | |
| Tb-161 | A. F | Pas de forme chimique particulière assignée | 1,7.10-10 | 1,8.10-10 | 
| A. M | Oxyde, autres composés et composés non spécifiés | 3,3.10-10 | 4,5.10-10 | |
| A. S | Pas de forme chimique particulière assignée | 3,8.10-10 | 5,3.10-10 | |
| A. Spé. N°1 | Dioxyde | 3,8.10-10 | 5,3.10-10 | |
| A. Spé. N°2 | Composés solubles dans l'eau, y compris les chlorures et citrates | 2,7.10-10 | 3,5.10-10 | |
| Tb-163 | A. F | Pas de forme chimique particulière assignée | 1,6.10-11 | 1,1.10-11 | 
| A. M | Oxyde, autres composés et composés non spécifiés | 1,6.10-11 | 1,1.10-11 | |
| A. S | Pas de forme chimique particulière assignée | 1,6.10-11 | 1,1.10-11 | |
| A. Spé. N°1 | Dioxyde | 1,6.10-11 | 1,1.10-11 | |
| A. Spé. N°2 | Composés solubles dans l'eau, y compris les chlorures et citrates | 1,6.10-11 | 1,1.10-11 | |
| Dysprosium | ||||
| Dy-151 | A. F | Pas de forme chimique particulière assignée | 1,0.10-10 | 1,2.10-10 | 
| A. M | Pas de forme chimique particulière assignée, autres composés et composés non spécifiés | 1,0.10-10 | 1,3.10-10 | |
| A. S | Fragments de combustible irradié | 1,0.10-10 | 1,3.10-10 | |
| A. Spé. N°1 | Dioxyde | 1,0.10-10 | 1,3.10-10 | |
| A. Spé. N°2 | Composés solubles dans l'eau, y compris les chlorures et citrates | 1,0.10-10 | 1,2.10-10 | |
| Dy-152 | A. F | Pas de forme chimique particulière assignée | 4,3.10-11 | 3,5.10-11 | 
| A. M | Pas de forme chimique particulière assignée, autres composés et composés non spécifiés | 4,6.10-11 | 4,1.10-11 | |
| A. S | Fragments de combustible irradié | 4,7.10-11 | 4,2.10-11 | |
| A. Spé. N°1 | Dioxyde | 4,7.10-11 | 4,2.10-11 | |
| A. Spé. N°2 | Composés solubles dans l'eau, y compris les chlorures et citrates | 4,5.10-11 | 3,9.10-11 | |
| Dy-153 | A. F | Pas de forme chimique particulière assignée | 7,3.10-11 | 5,8.10-11 | 
| A. M | Pas de forme chimique particulière assignée, autres composés et composés non spécifiés | 8,0.10-11 | 6,9.10-11 | |
| A. S | Fragments de combustible irradié | 8,2.10-11 | 7,3.10-11 | |
| A. Spé. N°1 | Dioxyde | 8,2.10-11 | 7,3.10-11 | |
| A. Spé. N°2 | Composés solubles dans l'eau, y compris les chlorures et citrates | 7,7.10-11 | 6,5.10-11 | |
| Dy-154 | A. F | Pas de forme chimique particulière assignée | 3,1.10-6 | 5,3.10-6 | 
| A. M | Pas de forme chimique particulière assignée, autres composés et composés non spécifiés | 2,5.10-6 | 4,6.10-6 | |
| A. S | Fragments de combustible irradié | 7,3.10-6 | 1,3.10-5 | |
| A. Spé. N°1 | Dioxyde | 2,7.10-6 | 4,9.10-6 | |
| A. Spé. N°2 | Composés solubles dans l'eau, y compris les chlorures et citrates | 2,8.10-6 | 5,0.10-6 | |
| Dy-155 | A. F | Pas de forme chimique particulière assignée | 5,9.10-11 | 4,1.10-11 | 
| A. M | Pas de forme chimique particulière assignée, autres composés et composés non spécifiés | 6,4.10-11 | 5,0.10-11 | |
| A. S | Fragments de combustible irradié | 6,5.10-11 | 5,2.10-11 | |
| A. Spé. N°1 | Dioxyde | 6,5.10-11 | 5,2.10-11 | |
| A. Spé. N°2 | Composés solubles dans l'eau, y compris les chlorures et citrates | 6,2.10-11 | 4,7.10-11 | |
| Dy-157 | A. F | Pas de forme chimique particulière assignée | 2,5.10-11 | 1,7.10-11 | 
| A. M | Pas de forme chimique particulière assignée, autres composés et composés non spécifiés | 2,5.10-11 | 1,8.10-11 | |
| A. S | Fragments de combustible irradié | 2,6.10-11 | 1,8.10-11 | |
| A. Spé. N°1 | Dioxyde | 2,6.10-11 | 1,8.10-11 | |
| A. Spé. N°2 | Composés solubles dans l'eau, y compris les chlorures et citrates | 2,5.10-11 | 1,8.10-11 | |
| Dy-159 | A. F | Pas de forme chimique particulière assignée | 1,3.10-10 | 1,9.10-10 | 
| A. M | Pas de forme chimique particulière assignée, autres composés et composés non spécifiés | 1,9.10-10 | 3,3.10-10 | |
| A. S | Fragments de combustible irradié | 2,8.10-10 | 5,0.10-10 | |
| A. Spé. N°1 | Dioxyde | 2,6.10-10 | 4,6.10-10 | |
| A. Spé. N°2 | Composés solubles dans l'eau, y compris les chlorures et citrates | 1,9.10-10 | 3,2.10-10 | |
| Dy-165 | A. F | Pas de forme chimique particulière assignée | 5,6.10-11 | 4,1.10-11 | 
| A. M | Pas de forme chimique particulière assignée, autres composés et composés non spécifiés | 5,7.10-11 | 4,3.10-11 | |
| A. S | Fragments de combustible irradié | 5,8.10-11 | 4,3.10-11 | |
| A. Spé. N°1 | Dioxyde | 5,8.10-11 | 4,3.10-11 | |
| A. Spé. N°2 | Composés solubles dans l'eau, y compris les chlorures et citrates | 5,7.10-11 | 4,2.10-11 | |
| Dy-166 | A. F | Pas de forme chimique particulière assignée | 3,2.10-10 | 3,2.10-10 | 
| A. M | Pas de forme chimique particulière assignée, autres composés et composés non spécifiés | 6,1.10-10 | 8,5.10-10 | |
| A. S | Fragments de combustible irradié | 6,9.10-10 | 9,9.10-10 | |
| A. Spé. N°1 | Dioxyde | 6,9.10-10 | 9,9.10-10 | |
| A. Spé. N°2 | Composés solubles dans l'eau, y compris les chlorures et citrates | 5,1.10-10 | 6,6.10-10 | |
| Holmium | ||||
| Ho-154 | A. F | Pas de forme chimique particulière assignée | 1,6.10-11 | 1,1.10-11 | 
| A. M | Pas de forme chimique particulière assignée, autres composés et composés non spécifiés | 1,6.10-11 | 1,1.10-11 | |
| A. S | Fragments de combustible irradié | 1,6.10-11 | 1,1.10-11 | |
| A. Spé. N°1 | Dioxyde | 1,6.10-11 | 1,1.10-11 | |
| A. Spé. N°2 | Composés solubles dans l'eau, y compris les chlorures et citrates | 1,6.10-11 | 1,1.10-11 | |
| Ho-155 | A. F | Pas de forme chimique particulière assignée | 2,0.10-11 | 1,4.10-11 | 
| A. M | Pas de forme chimique particulière assignée, autres composés et composés non spécifiés | 2,0.10-11 | 1,5.10-11 | |
| A. S | Fragments de combustible irradié | 2,0.10-11 | 1,5.10-11 | |
| A. Spé. N°1 | Dioxyde | 2,0.10-11 | 1,5.10-11 | |
| A. Spé. N°2 | Composés solubles dans l'eau, y compris les chlorures et citrates | 2,0.10-11 | 1,5.10-11 | |
| Ho-156 | A. F | Pas de forme chimique particulière assignée | 5,2.10-11 | 3,6.10-11 | 
| A. M | Pas de forme chimique particulière assignée, autres composés et composés non spécifiés | 5,2.10-11 | 3,7.10-11 | |
| A. S | Fragments de combustible irradié | 5,2.10-11 | 3,7.10-11 | |
| A. Spé. N°1 | Dioxyde | 5,2.10-11 | 3,7.10-11 | |
| A. Spé. N°2 | Composés solubles dans l'eau, y compris les chlorures et citrates | 5,2.10-11 | 3,7.10-11 | |
| Ho-157 | A. F | Pas de forme chimique particulière assignée | 3,7.10-12 | 2,6.10-12 | 
| A. M | Pas de forme chimique particulière assignée, autres composés et composés non spécifiés | 3,7.10-12 | 2,7.10-12 | |
| A. S | Fragments de combustible irradié | 3,7.10-12 | 2,7.10-12 | |
| A. Spé. N°1 | Dioxyde | 3,7.10-12 | 2,7.10-12 | |
| A. Spé. N°2 | Composés solubles dans l'eau, y compris les chlorures et citrates | 3,7.10-12 | 2,7.10-12 | |
| Ho-159 | A. F | Pas de forme chimique particulière assignée | 4,7.10-12 | 3,6.10-12 | 
| A. M | Pas de forme chimique particulière assignée, autres composés et composés non spécifiés | 4,8.10-12 | 3,7.10-12 | |
| A. S | Fragments de combustible irradié | 4,8.10-12 | 3,8.10-12 | |
| A. Spé. N°1 | Dioxyde | 4,8.10-12 | 3,7.10-12 | |
| A. Spé. N°2 | Composés solubles dans l'eau, y compris les chlorures et citrates | 4,8.10-12 | 3,7.10-12 | |
| Ho-160 | A. F | Pas de forme chimique particulière assignée | 9,3.10-12 | 6,8.10-12 | 
| A. M | Pas de forme chimique particulière assignée, autres composés et composés non spécifiés | 9,4.10-12 | 6,8.10-12 | |
| A. S | Fragments de combustible irradié | 9,4.10-12 | 6,9.10-12 | |
| A. Spé. N°1 | Dioxyde | 9,4.10-12 | 6,9.10-12 | |
| A. Spé. N°2 | Composés solubles dans l'eau, y compris les chlorures et citrates | 9,3.10-12 | 6,8.10-12 | |
| Ho-161 | A. F | Pas de forme chimique particulière assignée | 3,7.10-12 | 3,3.10-12 | 
| A. M | Pas de forme chimique particulière assignée, autres composés et composés non spécifiés | 3,8.10-12 | 3,5.10-12 | |
| A. S | Fragments de combustible irradié | 3,9.10-12 | 3,5.10-12 | |
| A. Spé. N°1 | Dioxyde | 3,9.10-12 | 3,5.10-12 | |
| A. Spé. N°2 | Composés solubles dans l'eau, y compris les chlorures et citrates | 3,8.10-12 | 3,4.10-12 | |
| Ho-162 | A. F | Pas de forme chimique particulière assignée | 2,1.10-12 | 1,6.10-12 | 
| A. M | Pas de forme chimique particulière assignée, autres composés et composés non spécifiés | 2,1.10-12 | 1,7.10-12 | |
| A. S | Fragments de combustible irradié | 2,1.10-12 | 1,7.10-12 | |
| A. Spé. N°1 | Dioxyde | 2,1.10-12 | 1,7.10-12 | |
| A. Spé. N°2 | Composés solubles dans l'eau, y compris les chlorures et citrates | 2,1.10-12 | 1,7.10-12 | |
| Ho-162m | A. F | Pas de forme chimique particulière assignée | 1,4.10-11 | 1,2.10-11 | 
| A. M | Pas de forme chimique particulière assignée, autres composés et composés non spécifiés | 1,5.10-11 | 1,2.10-11 | |
| A. S | Fragments de combustible irradié | 1,5.10-11 | 1,2.10-11 | |
| A. Spé. N°1 | Dioxyde | 1,5.10-11 | 1,2.10-11 | |
| A. Spé. N°2 | Composés solubles dans l'eau, y compris les chlorures et citrates | 1,4.10-11 | 1,2.10-11 | |
| Ho-163 | A. F | Pas de forme chimique particulière assignée | 2,6.10-11 | 4,5.10-11 | 
| A. M | Pas de forme chimique particulière assignée, autres composés et composés non spécifiés | 1,9.10-11 | 3,6.10-11 | |
| A. S | Fragments de combustible irradié | 6,1.10-11 | 1,2.10-10 | |
| A. Spé. N°1 | Dioxyde | 1,8.10-11 | 3,6.10-11 | |
| A. Spé. N°2 | Composés solubles dans l'eau, y compris les chlorures et citrates | 2,2.10-11 | 3,9.10-11 | |
| Ho-164 | A. F | Pas de forme chimique particulière assignée | 8,1.10-12 | 5,7.10-12 | 
| A. M | Pas de forme chimique particulière assignée, autres composés et composés non spécifiés | 8,2.10-12 | 5,8.10-12 | |
| A. S | Fragments de combustible irradié | 8,2.10-12 | 5,8.10-12 | |
| A. Spé. N°1 | Dioxyde | 8,2.10-12 | 5,8.10-12 | |
| A. Spé. N°2 | Composés solubles dans l'eau, y compris les chlorures et citrates | 8,2.10-12 | 5,8.10-12 | |
| Ho-164m | A. F | Pas de forme chimique particulière assignée | 9,6.10-12 | 8,2.10-12 | 
| A. M | Pas de forme chimique particulière assignée, autres composés et composés non spécifiés | 9,8.10-12 | 8,5.10-12 | |
| A. S | Fragments de combustible irradié | 9,9.10-12 | 8,5.10-12 | |
| A. Spé. N°1 | Dioxyde | 9,9.10-12 | 8,5.10-12 | |
| A. Spé. N°2 | Composés solubles dans l'eau, y compris les chlorures et citrates | 9,7.10-12 | 8,4.10-12 | |
| Ho-166 | A. F | Pas de forme chimique particulière assignée | 2,9.10-10 | 2,4.10-10 | 
| A. M | Pas de forme chimique particulière assignée, autres composés et composés non spécifiés | 3,5.10-10 | 3,4.10-10 | |
| A. S | Fragments de combustible irradié | 3,6.10-10 | 3,7.10-10 | |
| A. Spé. N°1 | Dioxyde | 3,6.10-10 | 3,7.10-10 | |
| A. Spé. N°2 | Composés solubles dans l'eau, y compris les chlorures et citrates | 3,2.10-10 | 3,0.10-10 | |
| Ho-166m | A. F | Pas de forme chimique particulière assignée | 7,8.10-8 | 1,4.10-7 | 
| A. M | Pas de forme chimique particulière assignée, autres composés et composés non spécifiés | 5,6.10-8 | 1,1.10-7 | |
| A. S | Fragments de combustible irradié | 1,0.10-7 | 2,0.10-7 | |
| A. Spé. N°1 | Dioxyde | 4,4.10-8 | 8,5.10-8 | |
| A. Spé. N°2 | Composés solubles dans l'eau, y compris les chlorures et citrates | 6,1.10-8 | 1,1.10-7 | |
| Ho-167 | A. F | Pas de forme chimique particulière assignée | 5,5.10-11 | 4,2.10-11 | 
| A. M | Pas de forme chimique particulière assignée, autres composés et composés non spécifiés | 5,7.10-11 | 4,5.10-11 | |
| A. S | Fragments de combustible irradié | 5,7.10-11 | 4,5.10-11 | |
| A. Spé. N°1 | Dioxyde | 5,7.10-11 | 4,5.10-11 | |
| A. Spé. N°2 | Composés solubles dans l'eau, y compris les chlorures et citrates | 5,6.10-11 | 4,4.10-11 | |
| Erbium | ||||
| Er-156 | A. F | Pas de forme chimique particulière assignée | 1,8.10-11 | 1,3.10-11 | 
| A. M | Pas de forme chimique particulière assignée, autres composés et composés non spécifiés | 1,8.10-11 | 1,4.10-11 | |
| A. S | Fragments de combustible irradié | 1,8.10-11 | 1,4.10-11 | |
| A. Spé. N°1 | Dioxyde | 1,8.10-11 | 1,4.10-11 | |
| A. Spé. N°2 | Composés solubles dans l'eau, y compris les chlorures et citrates | 1,8.10-11 | 1,4.10-11 | |
| Er-159 | A. F | Pas de forme chimique particulière assignée | 1,3.10-11 | 9,6.10-12 | 
| A. M | Pas de forme chimique particulière assignée, autres composés et composés non spécifiés | 1,3.10-11 | 9,7.10-12 | |
| A. S | Fragments de combustible irradié | 1,3.10-11 | 9,8.10-12 | |
| A. Spé. N°1 | Dioxyde | 1,3.10-11 | 9,8.10-12 | |
| A. Spé. N°2 | Composés solubles dans l'eau, y compris les chlorures et citrates | 1,3.10-11 | 9,7.10-12 | |
| Er-161 | A. F | Pas de forme chimique particulière assignée | 3,6.10-11 | 2,6.10-11 | 
| A. M | Pas de forme chimique particulière assignée, autres composés et composés non spécifiés | 3,7.10-11 | 2,8.10-11 | |
| A. S | Fragments de combustible irradié | 3,8.10-11 | 2,8.10-11 | |
| A. Spé. N°1 | Dioxyde | 3,8.10-11 | 2,8.10-11 | |
| A. Spé. N°2 | Composés solubles dans l'eau, y compris les chlorures et citrates | 3,7.10-11 | 2,7.10-11 | |
| Er-163 | A. F | Pas de forme chimique particulière assignée | 7,6.10-13 | 6,1.10-13 | 
| A. M | Pas de forme chimique particulière assignée, autres composés et composés non spécifiés | 7,7.10-13 | 6,2.10-13 | |
| A. S | Fragments de combustible irradié | 7,7.10-13 | 6,3.10-13 | |
| A. Spé. N°1 | Dioxyde | 7,7.10-13 | 6,3.10-13 | |
| A. Spé. N°2 | Composés solubles dans l'eau, y compris les chlorures et citrates | 7,7.10-13 | 6,2.10-13 | |
| Er-165 | A. F | Pas de forme chimique particulière assignée | 5,4.10-12 | 4,0.10-12 | 
| A. M | Pas de forme chimique particulière assignée, autres composés et composés non spécifiés | 5,7.10-12 | 4,5.10-12 | |
| A. S | Fragments de combustible irradié | 5,8.10-12 | 4,7.10-12 | |
| A. Spé. N°1 | Dioxyde | 5,8.10-12 | 4,7.10-12 | |
| A. Spé. N°2 | Composés solubles dans l'eau, y compris les chlorures et citrates | 5,6.10-12 | 4,3.10-12 | |
| Er-169 | A. F | Pas de forme chimique particulière assignée | 9,6.10-11 | 1,0.10-10 | 
| A. M | Pas de forme chimique particulière assignée, autres composés et composés non spécifiés | 2,1.10-10 | 2,9.10-10 | |
| A. S | Fragments de combustible irradié | 2,4.10-10 | 3,5.10-10 | |
| A. Spé. N°1 | Dioxyde | 2,4.10-10 | 3,5.10-10 | |
| A. Spé. N°2 | Composés solubles dans l'eau, y compris les chlorures et citrates | 1,7.10-10 | 2,3.10-10 | |
| Er-171 | A. F | Pas de forme chimique particulière assignée | 1,3.10-10 | 1,0.10-10 | 
| A. M | Pas de forme chimique particulière assignée, autres composés et composés non spécifiés | 1,4.10-10 | 1,2.10-10 | |
| A. S | Fragments de combustible irradié | 1,4.10-10 | 1,2.10-10 | |
| A. Spé. N°1 | Dioxyde | 1,4.10-10 | 1,2.10-10 | |
| A. Spé. N°2 | Composés solubles dans l'eau, y compris les chlorures et citrates | 1,4.10-10 | 1,1.10-10 | |
| Er-172 | A. F | Pas de forme chimique particulière assignée | 2,9.10-10 | 2,6.10-10 | 
| A. M | Pas de forme chimique particulière assignée, autres composés et composés non spécifiés | 4,6.10-10 | 5,5.10-10 | |
| A. S | Fragments de combustible irradié | 5,1.10-10 | 6,3.10-10 | |
| A. Spé. N°1 | Dioxyde | 5,1.10-10 | 6,4.10-10 | |
| A. Spé. N°2 | Composés solubles dans l'eau, y compris les chlorures et citrates | 4,0.10-10 | 4,5.10-10 | |
| Thulium | ||||
| Tm-161 | A. F | Pas de forme chimique particulière assignée | 1,9.10-11 | 1,4.10-11 | 
| A. M | Oxyde, autres composés et composés non spécifiés | 2,0.10-11 | 1,5.10-11 | |
| A. S | Pas de forme chimique particulière assignée | 2,0.10-11 | 1,5.10-11 | |
| A. Spé. N°1 | Dioxyde | 2,0.10-11 | 1,5.10-11 | |
| A. Spé. N°2 | Composés solubles dans l'eau, y compris les chlorures et citrates | 2,0.10-11 | 1,4.10-11 | |
| Tm-162 | A. F | Pas de forme chimique particulière assignée | 1,9.10-11 | 1,3.10-11 | 
| A. M | Oxyde, autres composés et composés non spécifiés | 1,9.10-11 | 1,3.10-11 | |
| A. S | Pas de forme chimique particulière assignée | 1,9.10-11 | 1,3.10-11 | |
| A. Spé. N°1 | Dioxyde | 1,9.10-11 | 1,3.10-11 | |
| A. Spé. N°2 | Composés solubles dans l'eau, y compris les chlorures et citrates | 1,9.10-11 | 1,3.10-11 | |
| Tm-163 | A. F | Pas de forme chimique particulière assignée | 2,6.10-11 | 2,0.10-11 | 
| A. M | Oxyde, autres composés et composés non spécifiés | 2,7.10-11 | 2,1.10-11 | |
| A. S | Pas de forme chimique particulière assignée | 2,7.10-11 | 2,1.10-11 | |
| A. Spé. N°1 | Dioxyde | 2,7.10-11 | 2,1.10-11 | |
| A. Spé. N°2 | Composés solubles dans l'eau, y compris les chlorures et citrates | 2,7.10-11 | 2,0.10-11 | |
| Tm-165 | A. F | Pas de forme chimique particulière assignée | 1,3.10-10 | 9,8.10-11 | 
| A. M | Oxyde, autres composés et composés non spécifiés | 1,5.10-10 | 1,3.10-10 | |
| A. S | Pas de forme chimique particulière assignée | 1,6.10-10 | 1,4.10-10 | |
| A. Spé. N°1 | Dioxyde | 1,6.10-10 | 1,4.10-10 | |
| A. Spé. N°2 | Composés solubles dans l'eau, y compris les chlorures et citrates | 1,4.10-10 | 1,2.10-10 | |
| Tm-166 | A. F | Pas de forme chimique particulière assignée | 1,3.10-10 | 9,2.10-11 | 
| A. M | Oxyde, autres composés et composés non spécifiés | 1,3.10-10 | 1,0.10-10 | |
| A. S | Pas de forme chimique particulière assignée | 1,3.10-10 | 1,0.10-10 | |
| A. Spé. N°1 | Dioxyde | 1,3.10-10 | 1,0.10-10 | |
| A. Spé. N°2 | Composés solubles dans l'eau, y compris les chlorures et citrates | 1,3.10-10 | 9,8.10-11 | |
| Tm-167 | A. F | Pas de forme chimique particulière assignée | 1,7.10-10 | 1,7.10-10 | 
| A. M | Oxyde, autres composés et composés non spécifiés | 3,1.10-10 | 4,1.10-10 | |
| A. S | Pas de forme chimique particulière assignée | 3,5.10-10 | 4,8.10-10 | |
| A. Spé. N°1 | Dioxyde | 3,5.10-10 | 4,8.10-10 | |
| A. Spé. N°2 | Composés solubles dans l'eau, y compris les chlorures et citrates | 2,6.10-10 | 3,3.10-10 | |
| Tm-168 | A. F | Pas de forme chimique particulière assignée | 1,4.10-9 | 1,9.10-9 | 
| A. M | Oxyde, autres composés et composés non spécifiés | 2,1.10-9 | 3,4.10-9 | |
| A. S | Pas de forme chimique particulière assignée | 2,8.10-9 | 4,7.10-9 | |
| A. Spé. N°1 | Dioxyde | 2,6.10-9 | 4,5.10-9 | |
| A. Spé. N°2 | Composés solubles dans l'eau, y compris les chlorures et citrates | 2,0.10-9 | 3,1.10-9 | |
| Tm-170 | A. F | Pas de forme chimique particulière assignée | 9,3.10-10 | 1,4.10-9 | 
| A. M | Oxyde, autres composés et composés non spécifiés | 2,1.10-9 | 3,7.10-9 | |
| A. S | Pas de forme chimique particulière assignée | 3,6.10-9 | 6,3.10-9 | |
| A. Spé. N°1 | Dioxyde | 3,3.10-9 | 5,8.10-9 | |
| A. Spé. N°2 | Composés solubles dans l'eau, y compris les chlorures et citrates | 2,0.10-9 | 3,5.10-9 | |
| Tm-171 | A. F | Pas de forme chimique particulière assignée | 2,7.10-10 | 4,3.10-10 | 
| A. M | Oxyde, autres composés et composés non spécifiés | 3,5.10-10 | 6,0.10-10 | |
| A. S | Pas de forme chimique particulière assignée | 7,2.10-10 | 1,2.10-9 | |
| A. Spé. N°1 | Dioxyde | 5,6.10-10 | 9,3.10-10 | |
| A. Spé. N°2 | Composés solubles dans l'eau, y compris les chlorures et citrates | 3,9.10-10 | 6,4.10-10 | |
| Tm-172 | A. F | Pas de forme chimique particulière assignée | 3,9.10-10 | 3,3.10-10 | 
| A. M | Oxyde, autres composés et composés non spécifiés | 5,3.10-10 | 5,8.10-10 | |
| A. S | Pas de forme chimique particulière assignée | 5,7.10-10 | 6,5.10-10 | |
| A. Spé. N°1 | Dioxyde | 5,7.10-10 | 6,5.10-10 | |
| A. Spé. N°2 | Composés solubles dans l'eau, y compris les chlorures et citrates | 4,8.10-10 | 4,9.10-10 | |
| Tm-173 | A. F | Pas de forme chimique particulière assignée | 1,1.10-10 | 8,3.10-11 | 
| A. M | Oxyde, autres composés et composés non spécifiés | 1,2.10-10 | 9,5.10-11 | |
| A. S | Pas de forme chimique particulière assignée | 1,2.10-10 | 9,8.10-11 | |
| A. Spé. N°1 | Dioxyde | 1,2.10-10 | 9,8.10-11 | |
| A. Spé. N°2 | Composés solubles dans l'eau, y compris les chlorures et citrates | 1,1.10-10 | 9,1.10-11 | |
| Tm-175 | A. F | Pas de forme chimique particulière assignée | 1,7.10-11 | 1,1.10-11 | 
| A. M | Oxyde, autres composés et composés non spécifiés | 1,7.10-11 | 1,2.10-11 | |
| A. S | Pas de forme chimique particulière assignée | 1,7.10-11 | 1,2.10-11 | |
| A. Spé. N°1 | Dioxyde | 1,7.10-11 | 1,2.10-11 | |
| A. Spé. N°2 | Composés solubles dans l'eau, y compris les chlorures et citrates | 1,7.10-11 | 1,1.10-11 | |
| Ytterbium | ||||
| Yb-162 | A. F | Pas de forme chimique particulière assignée | 1,7.10-11 | 1,2.10-11 | 
| A. M | Pas de forme chimique particulière assignée, autres composés et composés non spécifiés | 1,7.10-11 | 1,2.10-11 | |
| A. S | Fragments de combustible irradié | 1,7.10-11 | 1,2.10-11 | |
| A. Spé. N°1 | Dioxyde | 1,7.10-11 | 1,2.10-11 | |
| A. Spé. N°2 | Composés solubles dans l'eau, y compris les chlorures et citrates | 1,7.10-11 | 1,2.10-11 | |
| Yb-163 | A. F | Pas de forme chimique particulière assignée | 7,1.10-12 | 5,0.10-12 | 
| A. M | Pas de forme chimique particulière assignée, autres composés et composés non spécifiés | 7,1.10-12 | 5,1.10-12 | |
| A. S | Fragments de combustible irradié | 7,2.10-12 | 5,1.10-12 | |
| A. Spé. N°1 | Dioxyde | 7,2.10-12 | 5,1.10-12 | |
| A. Spé. N°2 | Composés solubles dans l'eau, y compris les chlorures et citrates | 7,1.10-12 | 5,1.10-12 | |
| Yb-164 | A. F | Pas de forme chimique particulière assignée | 4,5.10-11 | 3,2.10-11 | 
| A. M | Pas de forme chimique particulière assignée, autres composés et composés non spécifiés | 4,6.10-11 | 3,3.10-11 | |
| A. S | Fragments de combustible irradié | 4,6.10-11 | 3,3.10-11 | |
| A. Spé. N°1 | Dioxyde | 4,6.10-11 | 3,3.10-11 | |
| A. Spé. N°2 | Composés solubles dans l'eau, y compris les chlorures et citrates | 4,5.10-11 | 3,3.10-11 | |
| Yb-166 | A. F | Pas de forme chimique particulière assignée | 3,9.10-10 | 2,9.10-10 | 
| A. M | Pas de forme chimique particulière assignée, autres composés et composés non spécifiés | 4,8.10-10 | 4,5.10-10 | |
| A. S | Fragments de combustible irradié | 5,0.10-10 | 4,9.10-10 | |
| A. Spé. N°1 | Dioxyde | 5,0.10-10 | 4,9.10-10 | |
| A. Spé. N°2 | Composés solubles dans l'eau, y compris les chlorures et citrates | 4,4.10-10 | 3,9.10-10 | |
| Yb-167 | A. F | Pas de forme chimique particulière assignée | 3,8.10-12 | 3,2.10-12 | 
| A. M | Pas de forme chimique particulière assignée, autres composés et composés non spécifiés | 4,0.10-12 | 3,5.10-12 | |
| A. S | Fragments de combustible irradié | 4,1.10-12 | 3,6.10-12 | |
| A. Spé. N°1 | Dioxyde | 4,1.10-12 | 3,6.10-12 | |
| A. Spé. N°2 | Composés solubles dans l'eau, y compris les chlorures et citrates | 3,9.10-12 | 3,4.10-12 | |
| Yb-169 | A. F | Pas de forme chimique particulière assignée | 4,3.10-10 | 5,0.10-10 | 
| A. M | Pas de forme chimique particulière assignée, autres composés et composés non spécifiés | 8,4.10-10 | 1,3.10-9 | |
| A. S | Fragments de combustible irradié | 1,0.10-9 | 1,6.10-9 | |
| A. Spé. N°1 | Dioxyde | 1,0.10-9 | 1,6.10-9 | |
| A. Spé. N°2 | Composés solubles dans l'eau, y compris les chlorures et citrates | 7,2.10-10 | 1,0.10-9 | |
| Yb-175 | A. F | Pas de forme chimique particulière assignée | 1,0.10-10 | 1,0.10-10 | 
| A. M | Pas de forme chimique particulière assignée, autres composés et composés non spécifiés | 1,8.10-10 | 2,2.10-10 | |
| A. S | Fragments de combustible irradié | 2,0.10-10 | 2,6.10-10 | |
| A. Spé. N°1 | Dioxyde | 2,0.10-10 | 2,6.10-10 | |
| A. Spé. N°2 | Composés solubles dans l'eau, y compris les chlorures et citrates | 1,5.10-10 | 1,8.10-10 | |
| Yb-177 | A. F | Pas de forme chimique particulière assignée | 5,3.10-11 | 3,9.10-11 | 
| A. M | Pas de forme chimique particulière assignée, autres composés et composés non spécifiés | 5,6.10-11 | 4,3.10-11 | |
| A. S | Fragments de combustible irradié | 5,6.10-11 | 4,4.10-11 | |
| A. Spé. N°1 | Dioxyde | 5,6.10-11 | 4,4.10-11 | |
| A. Spé. N°2 | Composés solubles dans l'eau, y compris les chlorures et citrates | 5,5.10-11 | 4,2.10-11 | |
| Yb-178 | A. F | Pas de forme chimique particulière assignée | 6,9.10-11 | 5,1.10-11 | 
| A. M | Pas de forme chimique particulière assignée, autres composés et composés non spécifiés | 7,1.10-11 | 5,3.10-11 | |
| A. S | Fragments de combustible irradié | 7,1.10-11 | 5,3.10-11 | |
| A. Spé. N°1 | Dioxyde | 7,1.10-11 | 5,3.10-11 | |
| A. Spé. N°2 | Composés solubles dans l'eau, y compris les chlorures et citrates | 7,0.10-11 | 5,2.10-11 | |
| Lutécium | ||||
| Lu-165 | A. F | Pas de forme chimique particulière assignée | 1,1.10-11 | 8,1.10-12 | 
| A. M | Pas de forme chimique particulière assignée, autres composés et composés non spécifiés | 1,1.10-11 | 8,4.10-12 | |
| A. S | Fragments de combustible irradié | 1,1.10-11 | 8,4.10-12 | |
| A. Spé. N°1 | Dioxyde | 1,1.10-11 | 8,4.10-12 | |
| A. Spé. N°2 | Composés solubles dans l'eau, y compris les chlorures et citrates | 1,1.10-11 | 8,3.10-12 | |
| Lu-167 | A. F | Pas de forme chimique particulière assignée | 2,5.10-11 | 1,9.10-11 | 
| A. M | Pas de forme chimique particulière assignée, autres composés et composés non spécifiés | 2,6.10-11 | 2,1.10-11 | |
| A. S | Fragments de combustible irradié | 2,6.10-11 | 2,1.10-11 | |
| A. Spé. N°1 | Dioxyde | 2,6.10-11 | 2,1.10-11 | |
| A. Spé. N°2 | Composés solubles dans l'eau, y compris les chlorures et citrates | 2,5.10-11 | 2,0.10-11 | |
| Lu-169 | A. F | Pas de forme chimique particulière assignée | 2,4.10-10 | 1,7.10-10 | 
| A. M | Pas de forme chimique particulière assignée, autres composés et composés non spécifiés | 2,8.10-10 | 2,4.10-10 | |
| A. S | Fragments de combustible irradié | 2,9.10-10 | 2,7.10-10 | |
| A. Spé. N°1 | Dioxyde | 2,9.10-10 | 2,7.10-10 | |
| A. Spé. N°2 | Composés solubles dans l'eau, y compris les chlorures et citrates | 2,6.10-10 | 2,2.10-10 | |
| Lu-170 | A. F | Pas de forme chimique particulière assignée | 4,5.10-10 | 3,2.10-10 | 
| A. M | Pas de forme chimique particulière assignée, autres composés et composés non spécifiés | 5,0.10-10 | 4,1.10-10 | |
| A. S | Fragments de combustible irradié | 5,2.10-10 | 4,4.10-10 | |
| A. Spé. N°1 | Dioxyde | 5,2.10-10 | 4,4.10-10 | |
| A. Spé. N°2 | Composés solubles dans l'eau, y compris les chlorures et citrates | 4,8.10-10 | 3,8.10-10 | |
| Lu-171 | A. F | Pas de forme chimique particulière assignée | 2,8.10-10 | 2,6.10-10 | 
| A. M | Pas de forme chimique particulière assignée, autres composés et composés non spécifiés | 4,3.10-10 | 5,2.10-10 | |
| A. S | Fragments de combustible irradié | 4,7.10-10 | 5,9.10-10 | |
| A. Spé. N°1 | Dioxyde | 4,7.10-10 | 5,9.10-10 | |
| A. Spé. N°2 | Composés solubles dans l'eau, y compris les chlorures et citrates | 3,8.10-10 | 4,3.10-10 | |
| Lu-172 | A. F | Pas de forme chimique particulière assignée | 6,3.10-10 | 5,3.10-10 | 
| A. M | Pas de forme chimique particulière assignée, autres composés et composés non spécifiés | 8,5.10-10 | 9,2.10-10 | |
| A. S | Fragments de combustible irradié | 9,1.10-10 | 1,0.10-9 | |
| A. Spé. N°1 | Dioxyde | 9,1.10-10 | 1,0.10-9 | |
| A. Spé. N°2 | Composés solubles dans l'eau, y compris les chlorures et citrates | 7,7.10-10 | 7,8.10-10 | |
| Lu-173 | A. F | Pas de forme chimique particulière assignée | 1,1.10-9 | 1,9.10-9 | 
| A. M | Pas de forme chimique particulière assignée, autres composés et composés non spécifiés | 1,3.10-9 | 2,3.10-9 | |
| A. S | Fragments de combustible irradié | 2,3.10-9 | 4,1.10-9 | |
| A. Spé. N°1 | Dioxyde | 1,9.10-9 | 3,3.10-9 | |
| A. Spé. N°2 | Composés solubles dans l'eau, y compris les chlorures et citrates | 1,4.10-9 | 2,5.10-9 | |
| Lu-174 | A. F | Pas de forme chimique particulière assignée | 1,5.10-9 | 2,6.10-9 | 
| A. M | Pas de forme chimique particulière assignée, autres composés et composés non spécifiés | 1,6.10-9 | 2,8.10-9 | |
| A. S | Fragments de combustible irradié | 3,2.10-9 | 5,5.10-9 | |
| A. Spé. N°1 | Dioxyde | 2,3.10-9 | 3,9.10-9 | |
| A. Spé. N°2 | Composés solubles dans l'eau, y compris les chlorures et citrates | 1,8.10-9 | 3,1.10-9 | |
| Lu-174m | A. F | Pas de forme chimique particulière assignée | 6,9.10-10 | 1,0.10-9 | 
| A. M | Pas de forme chimique particulière assignée, autres composés et composés non spécifiés | 1,2.10-9 | 2,0.10-9 | |
| A. S | Fragments de combustible irradié | 2,0.10-9 | 3,4.10-9 | |
| A. Spé. N°1 | Dioxyde | 1,8.10-9 | 2,9.10-9 | |
| A. Spé. N°2 | Composés solubles dans l'eau, y compris les chlorures et citrates | 1,2.10-9 | 1,9.10-9 | |
| Lu-176 | A. F | Pas de forme chimique particulière assignée | 4,1.10-8 | 7,1.10-8 | 
| A. M | Pas de forme chimique particulière assignée, autres composés et composés non spécifiés | 3,0.10-8 | 5,7.10-8 | |
| A. S | Fragments de combustible irradié | 7,8.10-8 | 1,5.10-7 | |
| A. Spé. N°1 | Dioxyde | 2,9.10-8 | 5,4.10-8 | |
| A. Spé. N°2 | Composés solubles dans l'eau, y compris les chlorures et citrates | 3,4.10-8 | 6,1.10-8 | |
| Lu-176m | A. F | Pas de forme chimique particulière assignée | 8,0.10-11 | 6,3.10-11 | 
| A. M | Pas de forme chimique particulière assignée, autres composés et composés non spécifiés | 8,4.10-11 | 6,7.10-11 | |
| A. S | Fragments de combustible irradié | 8,5.10-11 | 6,9.10-11 | |
| A. Spé. N°1 | Dioxyde | 8,5.10-11 | 6,9.10-11 | |
| A. Spé. N°2 | Composés solubles dans l'eau, y compris les chlorures et citrates | 8,3.10-11 | 6,6.10-11 | |
| Lu-177 | A. F | Pas de forme chimique particulière assignée | 1,3.10-10 | 1,3.10-10 | 
| A. M | Pas de forme chimique particulière assignée, autres composés et composés non spécifiés | 2,5.10-10 | 3,4.10-10 | |
| A. S | Fragments de combustible irradié | 2,9.10-10 | 3,9.10-10 | |
| A. Spé. N°1 | Dioxyde | 2,9.10-10 | 3,9.10-10 | |
| A. Spé. N°2 | Composés solubles dans l'eau, y compris les chlorures et citrates | 2,1.10-10 | 2,6.10-10 | |
| Lu-177m | A. F | Pas de forme chimique particulière assignée | 2,5.10-9 | 3,8.10-9 | 
| A. M | Pas de forme chimique particulière assignée, autres composés et composés non spécifiés | 4,2.10-9 | 7,1.10-9 | |
| A. S | Fragments de combustible irradié | 6,6.10-9 | 1,1.10-8 | |
| A. Spé. N°1 | Dioxyde | 6,1.10-9 | 1,0.10-8 | |
| A. Spé. N°2 | Composés solubles dans l'eau, y compris les chlorures et citrates | 4,2.10-9 | 6,8.10-9 | |
| Lu-178 | A. F | Pas de forme chimique particulière assignée | 2,7.10-11 | 1,9.10-11 | 
| A. M | Pas de forme chimique particulière assignée, autres composés et composés non spécifiés | 2,8.10-11 | 1,9.10-11 | |
| A. S | Fragments de combustible irradié | 2,8.10-11 | 1,9.10-11 | |
| A. Spé. N°1 | Dioxyde | 2,8.10-11 | 1,9.10-11 | |
| A. Spé. N°2 | Composés solubles dans l'eau, y compris les chlorures et citrates | 2,8.10-11 | 1,9.10-11 | |
| Lu-178m | A. F | Pas de forme chimique particulière assignée | 2,8.10-11 | 1,9.10-11 | 
| A. M | Pas de forme chimique particulière assignée, autres composés et composés non spécifiés | 2,8.10-11 | 1,9.10-11 | |
| A. S | Fragments de combustible irradié | 2,8.10-11 | 1,9.10-11 | |
| A. Spé. N°1 | Dioxyde | 2,8.10-11 | 1,9.10-11 | |
| A. Spé. N°2 | Composés solubles dans l'eau, y compris les chlorures et citrates | 2,8.10-11 | 1,9.10-11 | |
| Lu-179 | A. F | Pas de forme chimique particulière assignée | 8,5.10-11 | 6,5.10-11 | 
| A. M | Pas de forme chimique particulière assignée, autres composés et composés non spécifiés | 8,9.10-11 | 7,0.10-11 | |
| A. S | Fragments de combustible irradié | 9,0.10-11 | 7,2.10-11 | |
| A. Spé. N°1 | Dioxyde | 9,0.10-11 | 7,2.10-11 | |
| A. Spé. N°2 | Composés solubles dans l'eau, y compris les chlorures et citrates | 8,7.10-11 | 6,8.10-11 | |
| Hafnium | ||||
| Hf-170 | A. F | Pas de forme chimique particulière assignée | 1,5.10-10 | 1,0.10-10 | 
| A. M | Composés non spécifiés, pas de forme chimique particulière assignée | 2,0.10-10 | 1,8.10-10 | |
| A. S | Pas de forme chimique particulière assignée | 2,1.10-10 | 1,9.10-10 | |
| Hf-172 | A. F | Pas de forme chimique particulière assignée | 3,4.10-8 | 3,2.10-8 | 
| A. M | Composés non spécifiés, pas de forme chimique particulière assignée | 1,1.10-8 | 2,1.10-8 | |
| A. S | Pas de forme chimique particulière assignée | 1,8.10-8 | 3,3.10-8 | |
| Hf-173 | A. F | Pas de forme chimique particulière assignée | 7,1.10-11 | 4,9.10-11 | 
| A. M | Composés non spécifiés, pas de forme chimique particulière assignée | 9,9.10-11 | 9,0.10-11 | |
| A. S | Pas de forme chimique particulière assignée | 1,1.10-10 | 1,0.10-10 | |
| Hf-174 | A. F | Pas de forme chimique particulière assignée | 8,5.10-6 | 8,0.10-6 | 
| A. M | Composés non spécifiés, pas de forme chimique particulière assignée | 2,3.10-6 | 4,2.10-6 | |
| A. S | Pas de forme chimique particulière assignée | 5,8.10-6 | 1,1.10-5 | |
| Hf-175 | A. F | Pas de forme chimique particulière assignée | 9,0.10-10 | 8,1.10-10 | 
| A. M | Composés non spécifiés, pas de forme chimique particulière assignée | 6,0.10-10 | 9,7.10-10 | |
| A. S | Pas de forme chimique particulière assignée | 7,7.10-10 | 1,3.10-9 | |
| Hf-177m | A. F | Pas de forme chimique particulière assignée | 5,2.10-11 | 3,5.10-11 | 
| A. M | Composés non spécifiés, pas de forme chimique particulière assignée | 7,6.10-11 | 5,5.10-11 | |
| A. S | Pas de forme chimique particulière assignée | 7,7.10-11 | 5,6.10-11 | |
| Hf-178m | A. F | Pas de forme chimique particulière assignée | 3,0.10-7 | 2,8.10-7 | 
| A. M | Composés non spécifiés, pas de forme chimique particulière assignée | 7,4.10-8 | 1,3.10-7 | |
| A. S | Pas de forme chimique particulière assignée | 1,1.10-7 | 2,0.10-7 | |
| Hf-179m | A. F | Pas de forme chimique particulière assignée | 1,1.10-9 | 9,9.10-10 | 
| A. M | Composés non spécifiés, pas de forme chimique particulière assignée | 1,2.10-9 | 1,7.10-9 | |
| A. S | Pas de forme chimique particulière assignée | 1,4.10-9 | 2,1.10-9 | |
| Hf-180m | A. F | Pas de forme chimique particulière assignée | 5,6.10-11 | 3,7.10-11 | 
| A. M | Composés non spécifiés, pas de forme chimique particulière assignée | 8,9.10-11 | 7,3.10-11 | |
| A. S | Pas de forme chimique particulière assignée | 9,1.10-11 | 7,6.10-11 | |
| Hf-181 | A. F | Pas de forme chimique particulière assignée | 1,2.10-9 | 1,1.10-9 | 
| A. M | Composés non spécifiés, pas de forme chimique particulière assignée | 1,3.10-9 | 2,0.10-9 | |
| A. S | Pas de forme chimique particulière assignée | 1,7.10-9 | 2,7.10-9 | |
| Hf-182 | A. F | Pas de forme chimique particulière assignée | 3,2.10-7 | 3,0.10-7 | 
| A. M | Composés non spécifiés, pas de forme chimique particulière assignée | 7,5.10-8 | 1,4.10-7 | |
| A. S | Pas de forme chimique particulière assignée | 1,2.10-7 | 2,2.10-7 | |
| Hf-182m | A. F | Pas de forme chimique particulière assignée | 2,6.10-11 | 1,8.10-11 | 
| A. M | Composés non spécifiés, pas de forme chimique particulière assignée | 4,0.10-11 | 3,1.10-11 | |
| A. S | Pas de forme chimique particulière assignée | 4,1.10-11 | 3,2.10-11 | |
| Hf-183 | A. F | Pas de forme chimique particulière assignée | 3,2.10-11 | 2,1.10-11 | 
| A. M | Composés non spécifiés, pas de forme chimique particulière assignée | 4,6.10-11 | 3,5.10-11 | |
| A. S | Pas de forme chimique particulière assignée | 4,7.10-11 | 3,7.10-11 | |
| Hf-184 | A. F | Pas de forme chimique particulière assignée | 1,2.10-10 | 8,0.10-11 | 
| A. M | Composés non spécifiés, pas de forme chimique particulière assignée | 2,0.10-10 | 1,7.10-10 | |
| A. S | Pas de forme chimique particulière assignée | 2,0.10-10 | 1,8.10-10 | |
| Tantale | ||||
| Ta-172 | A. F | Pas de forme chimique particulière assignée | 2,6.10-11 | 1,8.10-11 | 
| A. M | Composés non spécifiés, pas de forme chimique particulière assignée | 3,3.10-11 | 2,4.10-11 | |
| A. S | Pas de forme chimique particulière assignée | 3,3.10-11 | 2,4.10-11 | |
| Ta-173 | A. F | Pas de forme chimique particulière assignée | 3,4.10-11 | 2,3.10-11 | 
| A. M | Composés non spécifiés, pas de forme chimique particulière assignée | 5,2.10-11 | 4,4.10-11 | |
| A. S | Pas de forme chimique particulière assignée | 5,4.10-11 | 4,7.10-11 | |
| Ta-174 | A. F | Pas de forme chimique particulière assignée | 3,0.10-11 | 2,0.10-11 | 
| A. M | Composés non spécifiés, pas de forme chimique particulière assignée | 4,3.10-11 | 3,2.10-11 | |
| A. S | Pas de forme chimique particulière assignée | 4,3.10-11 | 3,2.10-11 | |
| Ta-175 | A. F | Pas de forme chimique particulière assignée | 8,2.10-11 | 5,3.10-11 | 
| A. M | Composés non spécifiés, pas de forme chimique particulière assignée | 1,1.10-10 | 8,3.10-11 | |
| A. S | Pas de forme chimique particulière assignée | 1,1.10-10 | 8,9.10-11 | |
| Ta-176 | A. F | Pas de forme chimique particulière assignée | 1,1.10-10 | 7,0.10-11 | 
| A. M | Composés non spécifiés, pas de forme chimique particulière assignée | 1,5.10-10 | 1,1.10-10 | |
| A. S | Pas de forme chimique particulière assignée | 1,5.10-10 | 1,1.10-10 | |
| Ta-177 | A. F | Pas de forme chimique particulière assignée | 2,5.10-11 | 1,7.10-11 | 
| A. M | Composés non spécifiés, pas de forme chimique particulière assignée | 4,4.10-11 | 4,6.10-11 | |
| A. S | Pas de forme chimique particulière assignée | 4,8.10-11 | 5,3.10-11 | |
| Ta-178m | A. F | Pas de forme chimique particulière assignée | 3,4.10-11 | 2,3.10-11 | 
| A. M | Composés non spécifiés, pas de forme chimique particulière assignée | 5,3.10-11 | 4,1.10-11 | |
| A. S | Pas de forme chimique particulière assignée | 5,4.10-11 | 4,2.10-11 | |
| Ta-179 | A. F | Pas de forme chimique particulière assignée | 2,0.10-10 | 1,8.10-10 | 
| A. M | Composés non spécifiés, pas de forme chimique particulière assignée | 1,3.10-10 | 2,4.10-10 | |
| A. S | Pas de forme chimique particulière assignée | 3,7.10-10 | 7,0.10-10 | |
| Ta-180 | A. F | Pas de forme chimique particulière assignée | 1,2.10-11 | 8,2.10-12 | 
| A. M | Composés non spécifiés, pas de forme chimique particulière assignée | 2,3.10-11 | 2,1.10-11 | |
| A. S | Pas de forme chimique particulière assignée | 2,5.10-11 | 2,3.10-11 | |
| Ta-182 | A. F | Pas de forme chimique particulière assignée | 2,2.10-9 | 1,9.10-9 | 
| A. M | Composés non spécifiés, pas de forme chimique particulière assignée | 2,8.10-9 | 4,5.10-9 | |
| A. S | Pas de forme chimique particulière assignée | 4,4.10-9 | 7,5.10-9 | |
| Ta-182m | A. F | Pas de forme chimique particulière assignée | 1,3.10-11 | 9,0.10-12 | 
| A. M | Composés non spécifiés, pas de forme chimique particulière assignée | 1,7.10-11 | 1,2.10-11 | |
| A. S | Pas de forme chimique particulière assignée | 1,7.10-11 | 1,2.10-11 | |
| Ta-183 | A. F | Pas de forme chimique particulière assignée | 2,6.10-10 | 1,9.10-10 | 
| A. M | Composés non spécifiés, pas de forme chimique particulière assignée | 5,8.10-10 | 7,4.10-10 | |
| A. S | Pas de forme chimique particulière assignée | 6,6.10-10 | 8,7.10-10 | |
| Ta-184 | A. F | Pas de forme chimique particulière assignée | 1,7.10-10 | 1,1.10-10 | 
| A. M | Composés non spécifiés, pas de forme chimique particulière assignée | 2,7.10-10 | 2,2.10-10 | |
| A. S | Pas de forme chimique particulière assignée | 2,8.10-10 | 2,3.10-10 | |
| Ta-185 | A. F | Pas de forme chimique particulière assignée | 3,4.10-11 | 2,2.10-11 | 
| A. M | Composés non spécifiés, pas de forme chimique particulière assignée | 4,8.10-11 | 3,5.10-11 | |
| A. S | Pas de forme chimique particulière assignée | 4,9.10-11 | 3,6.10-11 | |
| Ta-186 | A. F | Pas de forme chimique particulière assignée | 1,5.10-11 | 1,0.10-11 | 
| A. M | Composés non spécifiés, pas de forme chimique particulière assignée | 1,7.10-11 | 1,2.10-11 | |
| A. S | Pas de forme chimique particulière assignée | 1,7.10-11 | 1,2.10-11 | |
| Tungstène | ||||
| W-177 | A. F | Pas de forme chimique particulière assignée | 1,9.10-11 | 1,3.10-11 | 
| A. M | Composés non spécifiés, pas de forme chimique particulière assignée | 2,9.10-11 | 2,4.10-11 | |
| A. S | Pas de forme chimique particulière assignée | 3,0.10-11 | 2,5.10-11 | |
| W-178 | A. F | Pas de forme chimique particulière assignée | 4,3.10-11 | 2,7.10-11 | 
| A. M | Composés non spécifiés, pas de forme chimique particulière assignée | 2,0.10-10 | 2,9.10-10 | |
| A. S | Pas de forme chimique particulière assignée | 2,6.10-10 | 3,8.10-10 | |
| W-179 | A. F | Pas de forme chimique particulière assignée | 5,2.10-13 | 4,2.10-13 | 
| A. M | Composés non spécifiés, pas de forme chimique particulière assignée | 6,2.10-13 | 5,5.10-13 | |
| A. S | Pas de forme chimique particulière assignée | 6,3.10-13 | 5,8.10-13 | |
| W-181 | A. F | Pas de forme chimique particulière assignée | 2,4.10-11 | 1,6.10-11 | 
| A. M | Composés non spécifiés, pas de forme chimique particulière assignée | 1,0.10-10 | 1,7.10-10 | |
| A. S | Pas de forme chimique particulière assignée | 1,8.10-10 | 3,3.10-10 | |
| W-185 | A. F | Pas de forme chimique particulière assignée | 7,2.10-11 | 4,8.10-11 | 
| A. M | Composés non spécifiés, pas de forme chimique particulière assignée | 6,3.10-10 | 1,0.10-9 | |
| A. S | Pas de forme chimique particulière assignée | 1,0.10-9 | 1,7.10-9 | |
| W-187 | A. F | Pas de forme chimique particulière assignée | 1,0.10-10 | 6,1.10-11 | 
| A. M | Composés non spécifiés, pas de forme chimique particulière assignée | 2,1.10-10 | 2,0.10-10 | |
| A. S | Pas de forme chimique particulière assignée | 2,3.10-10 | 2,2.10-10 | |
| W-188 | A. F | Pas de forme chimique particulière assignée | 5,8.10-10 | 3,8.10-10 | 
| A. M | Composés non spécifiés, pas de forme chimique particulière assignée | 3,8.10-9 | 6,7.10-9 | |
| A. S | Pas de forme chimique particulière assignée | 6,2.10-9 | 1,1.10-8 | |
| W-190 | A. F | Pas de forme chimique particulière assignée | 5,0.10-11 | 3,4.10-11 | 
| A. M | Composés non spécifiés, pas de forme chimique particulière assignée | 6,8.10-11 | 4,7.10-11 | |
| A. S | Pas de forme chimique particulière assignée | 6,9.10-11 | 4,8.10-11 | |
| Rhénium | ||||
| Re-178 | A. F | Pas de forme chimique particulière assignée | 1,2.10-11 | 8,3.10-12 | 
| A. M | Composés non spécifiés, pas de forme chimique particulière assignée | 1,4.10-11 | 9,8.10-12 | |
| A. S | Pas de forme chimique particulière assignée | 1,4.10-11 | 9,8.10-12 | |
| Re-179 | A. F | Pas de forme chimique particulière assignée | 6,7.10-12 | 4,7.10-12 | 
| A. M | Composés non spécifiés, pas de forme chimique particulière assignée | 8,3.10-12 | 5,9.10-12 | |
| A. S | Pas de forme chimique particulière assignée | 8,3.10-12 | 6,0.10-12 | |
| Re-181 | A. F | Pas de forme chimique particulière assignée | 1,6.10-10 | 1,1.10-10 | 
| A. M | Composés non spécifiés, pas de forme chimique particulière assignée | 1,7.10-10 | 1,4.10-10 | |
| A. S | Pas de forme chimique particulière assignée | 1,7.10-10 | 1,5.10-10 | |
| Re-182 | A. F | Pas de forme chimique particulière assignée | 5,6.10-10 | 3,7.10-10 | 
| A. M | Composés non spécifiés, pas de forme chimique particulière assignée | 6,8.10-10 | 6,4.10-10 | |
| A. S | Pas de forme chimique particulière assignée | 6,9.10-10 | 7,0.10-10 | |
| Re-182m | A. F | Pas de forme chimique particulière assignée | 1,2.10-10 | 7,9.10-11 | 
| A. M | Composés non spécifiés, pas de forme chimique particulière assignée | 1,5.10-10 | 1,2.10-10 | |
| A. S | Pas de forme chimique particulière assignée | 1,5.10-10 | 1,2.10-10 | |
| Re-183 | A. F | Pas de forme chimique particulière assignée | 2,7.10-10 | 1,8.10-10 | 
| A. M | Composés non spécifiés, pas de forme chimique particulière assignée | 7,4.10-10 | 1,1.10-9 | |
| A. S | Pas de forme chimique particulière assignée | 1,1.10-9 | 1,8.10-9 | |
| Re-184 | A. F | Pas de forme chimique particulière assignée | 4,3.10-10 | 2,8.10-10 | 
| A. M | Composés non spécifiés, pas de forme chimique particulière assignée | 8,2.10-10 | 1,2.10-9 | |
| A. S | Pas de forme chimique particulière assignée | 1,0.10-9 | 1,6.10-9 | |
| Re-184m | A. F | Pas de forme chimique particulière assignée | 4,7.10-10 | 3,0.10-10 | 
| A. M | Composés non spécifiés, pas de forme chimique particulière assignée | 2,2.10-9 | 3,6.10-9 | |
| A. S | Pas de forme chimique particulière assignée | 4,7.10-9 | 8,2.10-9 | |
| Re-186 | A. F | Pas de forme chimique particulière assignée | 3,9.10-10 | 2,5.10-10 | 
| A. M | Composés non spécifiés, pas de forme chimique particulière assignée | 3,7.10-10 | 4,1.10-10 | |
| A. S | Pas de forme chimique particulière assignée | 3,6.10-10 | 4,5.10-10 | |
| Re-186m | A. F | Pas de forme chimique particulière assignée | 6,0.10-10 | 3,9.10-10 | 
| A. M | Composés non spécifiés, pas de forme chimique particulière assignée | 4,4.10-9 | 7,7.10-9 | |
| A. S | Pas de forme chimique particulière assignée | 8,7.10-8 | 1,7.10-7 | |
| Re-187 | A. F | Pas de forme chimique particulière assignée | 1,0.10-12 | 6,7.10-13 | 
| A. M | Composés non spécifiés, pas de forme chimique particulière assignée | 2,5.10-12 | 4,7.10-12 | |
| A. S | Pas de forme chimique particulière assignée | 5,9.10-11 | 1,2.10-10 | |
| Re-188 | A. F | Pas de forme chimique particulière assignée | 3,7.10-10 | 2,5.10-10 | 
| A. M | Composés non spécifiés, pas de forme chimique particulière assignée | 3,2.10-10 | 2,8.10-10 | |
| A. S | Pas de forme chimique particulière assignée | 3,0.10-10 | 2,8.10-10 | |
| Re-188m | A. F | Pas de forme chimique particulière assignée | 9,2.10-12 | 6,5.10-12 | 
| A. M | Composés non spécifiés, pas de forme chimique particulière assignée | 8,8.10-12 | 7,8.10-12 | |
| A. S | Pas de forme chimique particulière assignée | 8,5.10-12 | 7,8.10-12 | |
| Re-189 | A. F | Pas de forme chimique particulière assignée | 2,3.10-10 | 1,5.10-10 | 
| A. M | Composés non spécifiés, pas de forme chimique particulière assignée | 2,0.10-10 | 1,8.10-10 | |
| A. S | Pas de forme chimique particulière assignée | 1,9.10-10 | 1,9.10-10 | |
| Re-190m | A. F | Pas de forme chimique particulière assignée | 1,4.10-10 | 9,2.10-11 | 
| A. M | Composés non spécifiés, pas de forme chimique particulière assignée | 1,5.10-10 | 1,2.10-10 | |
| A. S | Pas de forme chimique particulière assignée | 1,5.10-10 | 1,2.10-10 | |
| Osmium | ||||
| Os-180 | A. F | Pas de forme chimique particulière assignée | 9,1.10-12 | 6,3.10-12 | 
| A. M | Composés non spécifiés, pas de forme chimique particulière assignée | 1,2.10-11 | 8,3.10-12 | |
| A. S | Pas de forme chimique particulière assignée | 1,2.10-11 | 8,4.10-12 | |
| Os-181 | A. F | Pas de forme chimique particulière assignée | 3,3.10-11 | 2,2.10-11 | 
| A. M | Composés non spécifiés, pas de forme chimique particulière assignée | 4,3.10-11 | 3,4.10-11 | |
| A. S | Pas de forme chimique particulière assignée | 4,3.10-11 | 3,5.10-11 | |
| Os-182 | A. F | Pas de forme chimique particulière assignée | 1,8.10-10 | 1,2.10-10 | 
| A. M | Composés non spécifiés, pas de forme chimique particulière assignée | 2,5.10-10 | 2,1.10-10 | |
| A. S | Pas de forme chimique particulière assignée | 2,6.10-10 | 2,3.10-10 | |
| Os-183 | A. F | Pas de forme chimique particulière assignée | 6,4.10-11 | 4,1.10-11 | 
| A. M | Composés non spécifiés, pas de forme chimique particulière assignée | 1,0.10-10 | 9,1.10-11 | |
| A. S | Pas de forme chimique particulière assignée | 1,1.10-10 | 1,0.10-10 | |
| Os-183m | A. F | Pas de forme chimique particulière assignée | 7,1.10-11 | 4,4.10-11 | 
| A. M | Composés non spécifiés, pas de forme chimique particulière assignée | 9,6.10-11 | 7,5.10-11 | |
| A. S | Pas de forme chimique particulière assignée | 1,0.10-10 | 8,2.10-11 | |
| Os-185 | A. F | Pas de forme chimique particulière assignée | 4,9.10-10 | 3,9.10-10 | 
| A. M | Composés non spécifiés, pas de forme chimique particulière assignée | 7,8.10-10 | 1,2.10-9 | |
| A. S | Pas de forme chimique particulière assignée | 1,2.10-9 | 2,1.10-9 | |
| Os-186 | A. F | Pas de forme chimique particulière assignée | 2,4.10-7 | 2,2.10-7 | 
| A. M | Composés non spécifiés, pas de forme chimique particulière assignée | 5,1.10-7 | 8,6.10-7 | |
| A. S | Pas de forme chimique particulière assignée | 6,3.10-6 | 1,2.10-5 | |
| Os-189m | A. F | Pas de forme chimique particulière assignée | 6,1.10-13 | 6,2.10-13 | 
| A. M | Composés non spécifiés, pas de forme chimique particulière assignée | 9,5.10-13 | 1,4.10-12 | |
| A. S | Pas de forme chimique particulière assignée | 1,0.10-12 | 1,5.10-12 | |
| Os-191 | A. F | Pas de forme chimique particulière assignée | 1,1.10-10 | 9,4.10-11 | 
| A. M | Composés non spécifiés, pas de forme chimique particulière assignée | 4,2.10-10 | 6,3.10-10 | |
| A. S | Pas de forme chimique particulière assignée | 5,3.10-10 | 7,9.10-10 | |
| Os-191m | A. F | Pas de forme chimique particulière assignée | 1,1.10-11 | 9,8.10-12 | 
| A. M | Composés non spécifiés, pas de forme chimique particulière assignée | 5,1.10-11 | 6,8.10-11 | |
| A. S | Pas de forme chimique particulière assignée | 5,9.10-11 | 8,0.10-11 | |
| Os-193 | A. F | Pas de forme chimique particulière assignée | 1,2.10-10 | 7,9.10-11 | 
| A. M | Composés non spécifiés, pas de forme chimique particulière assignée | 2,2.10-10 | 2,3.10-10 | |
| A. S | Pas de forme chimique particulière assignée | 2,4.10-10 | 2,5.10-10 | |
| Os-194 | A. F | Pas de forme chimique particulière assignée | 4,1.10-9 | 3,7.10-9 | 
| A. M | Composés non spécifiés, pas de forme chimique particulière assignée | 8,7.10-9 | 1,6.10-8 | |
| A. S | Pas de forme chimique particulière assignée | 6,7.10-8 | 1,3.10-7 | |
| Os-196 | A. F | Pas de forme chimique particulière assignée | 4,9.10-11 | 3,2.10-11 | 
| A. M | Composés non spécifiés, pas de forme chimique particulière assignée | 6,4.10-11 | 4,4.10-11 | |
| A. S | Pas de forme chimique particulière assignée | 6,5.10-11 | 4,4.10-11 | |
| Iridium | ||||
| Ir-182 | A. F | Chlorure d'iridium | 2,0.10-11 | 1,3.10-11 | 
| A. M | Autres composés et composés non spécifiés | 2,4.10-11 | 1,7.10-11 | |
| A. S | Iridium élémentaire | 2,4.10-11 | 1,7.10-11 | |
| Ir-183 | A. F | Chlorure d'iridium | 2,1.10-11 | 1,4.10-11 | 
| A. M | Autres composés et composés non spécifiés | 2,9.10-11 | 2,2.10-11 | |
| A. S | Iridium élémentaire | 2,9.10-11 | 2,3.10-11 | |
| Ir-184 | A. F | Chlorure d'iridium | 6,6.10-11 | 4,2.10-11 | 
| A. M | Autres composés et composés non spécifiés | 9,4.10-11 | 7,0.10-11 | |
| A. S | Iridium élémentaire | 9,6.10-11 | 7,2.10-11 | |
| Ir-185 | A. F | Chlorure d'iridium | 8,8.10-11 | 5,8.10-11 | 
| A. M | Autres composés et composés non spécifiés | 1,3.10-10 | 1,2.10-10 | |
| A. S | Iridium élémentaire | 1,4.10-10 | 1,3.10-10 | |
| Ir-186 | A. F | Chlorure d'iridium | 1,8.10-10 | 1,1.10-10 | 
| A. M | Autres composés et composés non spécifiés | 2,4.10-10 | 1,9.10-10 | |
| A. S | Iridium élémentaire | 2,5.10-10 | 2,0.10-10 | |
| Ir-186m | A. F | Chlorure d'iridium | 2,7.10-11 | 1,8.10-11 | 
| A. M | Autres composés et composés non spécifiés | 3,7.10-11 | 2,7.10-11 | |
| A. S | Iridium élémentaire | 3,8.10-11 | 2,8.10-11 | |
| Ir-187 | A. F | Chlorure d'iridium | 2,8.10-11 | 1,8.10-11 | 
| A. M | Autres composés et composés non spécifiés | 4,5.10-11 | 3,9.10-11 | |
| A. S | Iridium élémentaire | 4,7.10-11 | 4,2.10-11 | |
| Ir-188 | A. F | Chlorure d'iridium | 3,3.10-10 | 2,1.10-10 | 
| A. M | Autres composés et composés non spécifiés | 3,8.10-10 | 3,0.10-10 | |
| A. S | Iridium élémentaire | 4,0.10-10 | 3,2.10-10 | |
| Ir-189 | A. F | Chlorure d'iridium | 8,3.10-11 | 7,0.10-11 | 
| A. M | Autres composés et composés non spécifiés | 1,6.10-10 | 2,2.10-10 | |
| A. S | Iridium élémentaire | 1,9.10-10 | 2,7.10-10 | |
| Ir-190 | A. F | Chlorure d'iridium | 7,3.10-10 | 5,7.10-10 | 
| A. M | Autres composés et composés non spécifiés | 7,6.10-10 | 8,9.10-10 | |
| A. S | Iridium élémentaire | 8,3.10-10 | 1,0.10-9 | |
| Ir-190m | A. F | Chlorure d'iridium | 3,0.10-12 | 2,3.10-12 | 
| A. M | Autres composés et composés non spécifiés | 3,1.10-12 | 3,7.10-12 | |
| A. S | Iridium élémentaire | 3,4.10-12 | 4,2.10-12 | |
| Ir-190n | A. F | Chlorure d'iridium | 4,1.10-11 | 2,7.10-11 | 
| A. M | Autres composés et composés non spécifiés | 5,8.10-11 | 4,4.10-11 | |
| A. S | Iridium élémentaire | 6,0.10-11 | 4,5.10-11 | |
| Ir-192 | A. F | Chlorure d'iridium | 1,7.10-9 | 1,5.10-9 | 
| A. M | Autres composés et composés non spécifiés | 1,9.10-9 | 3,0.10-9 | |
| A. S | Iridium élémentaire | 2,7.10-9 | 4,5.10-9 | |
| Ir-192n | A. F | Chlorure d'iridium | 1,2.10-8 | 1,1.10-8 | 
| A. M | Autres composés et composés non spécifiés | 6,2.10-9 | 1,1.10-8 | |
| A. S | Iridium élémentaire | 9,3.10-8 | 1,8.10-7 | |
| Ir-193m | A. F | Chlorure d'iridium | 5,3.10-11 | 4,8.10-11 | 
| A. M | Autres composés et composés non spécifiés | 2,3.10-10 | 3,4.10-10 | |
| A. S | Iridium élémentaire | 2,8.10-10 | 4,2.10-10 | |
| Ir-194 | A. F | Chlorure d'iridium | 2,1.10-10 | 1,3.10-10 | 
| A. M | Autres composés et composés non spécifiés | 3,2.10-10 | 2,8.10-10 | |
| A. S | Iridium élémentaire | 3,3.10-10 | 3,1.10-10 | |
| Ir-194m | A. F | Chlorure d'iridium | 5,8.10-9 | 5,2.10-9 | 
| A. M | Autres composés et composés non spécifiés | 4,6.10-9 | 7,6.10-9 | |
| A. S | Iridium élémentaire | 7,4.10-9 | 1,3.10-8 | |
| Ir-195 | A. F | Chlorure d'iridium | 3,3.10-11 | 2,2.10-11 | 
| A. M | Autres composés et composés non spécifiés | 5,6.10-11 | 4,3.10-11 | |
| A. S | Iridium élémentaire | 5,7.10-11 | 4,4.10-11 | |
| Ir-195m | A. F | Chlorure d'iridium | 4,1.10-11 | 2,7.10-11 | 
| A. M | Autres composés et composés non spécifiés | 7,4.10-11 | 6,1.10-11 | |
| A. S | Iridium élémentaire | 7,6.10-11 | 6,4.10-11 | |
| Ir-196m | A. F | Chlorure d'iridium | 5,1.10-11 | 3,4.10-11 | 
| A. M | Autres composés et composés non spécifiés | 7,4.10-11 | 5,3.10-11 | |
| A. S | Iridium élémentaire | 7,5.10-11 | 5,4.10-11 | |
| Platine | ||||
| Pt-184 | A. F | Pas de forme chimique particulière assignée | 1,4.10-11 | 9,8.10-12 | 
| A. M | Composés non spécifiés, pas de forme chimique particulière assignée | 1,9.10-11 | 1,4.10-11 | |
| A. S | Pas de forme chimique particulière assignée | 1,9.10-11 | 1,5.10-11 | |
| Pt-186 | A. F | Pas de forme chimique particulière assignée | 3,6.10-11 | 2,3.10-11 | 
| A. M | Composés non spécifiés, pas de forme chimique particulière assignée | 4,9.10-11 | 3,7.10-11 | |
| A. S | Pas de forme chimique particulière assignée | 5,1.10-11 | 3,9.10-11 | |
| Pt-187 | A. F | Pas de forme chimique particulière assignée | 2,9.10-11 | 1,9.10-11 | 
| A. M | Composés non spécifiés, pas de forme chimique particulière assignée | 4,7.10-11 | 3,8.10-11 | |
| A. S | Pas de forme chimique particulière assignée | 4,8.10-11 | 3,9.10-11 | |
| Pt-188 | A. F | Pas de forme chimique particulière assignée | 5,2.10-10 | 4,1.10-10 | 
| A. M | Composés non spécifiés, pas de forme chimique particulière assignée | 7,4.10-10 | 1,0.10-9 | |
| A. S | Pas de forme chimique particulière assignée | 8,5.10-10 | 1,2.10-9 | |
| Pt-189 | A. F | Pas de forme chimique particulière assignée | 5,0.10-11 | 3,3.10-11 | 
| A. M | Composés non spécifiés, pas de forme chimique particulière assignée | 8,8.10-11 | 8,1.10-11 | |
| A. S | Pas de forme chimique particulière assignée | 9,3.10-11 | 8,8.10-11 | |
| Pt-190 | A. F | Pas de forme chimique particulière assignée | 2,7.10-7 | 2,6.10-7 | 
| A. M | Composés non spécifiés, pas de forme chimique particulière assignée | 7,2.10-7 | 1,2.10-6 | |
| A. S | Pas de forme chimique particulière assignée | 7,8.10-6 | 1,4.10-5 | |
| Pt-191 | A. F | Pas de forme chimique particulière assignée | 9,1.10-11 | 6,2.10-11 | 
| A. M | Composés non spécifiés, pas de forme chimique particulière assignée | 1,6.10-10 | 1,7.10-10 | |
| A. S | Pas de forme chimique particulière assignée | 1,7.10-10 | 1,9.10-10 | |
| Pt-193 | A. F | Pas de forme chimique particulière assignée | 4,2.10-11 | 3,9.10-11 | 
| A. M | Composés non spécifiés, pas de forme chimique particulière assignée | 5,3.10-11 | 1,0.10-10 | |
| A. S | Pas de forme chimique particulière assignée | 9,5.10-10 | 1,9.10-9 | |
| Pt-193m | A. F | Pas de forme chimique particulière assignée | 6,2.10-11 | 4,7.10-11 | 
| A. M | Composés non spécifiés, pas de forme chimique particulière assignée | 2,0.10-10 | 2,6.10-10 | |
| A. S | Pas de forme chimique particulière assignée | 2,3.10-10 | 3,1.10-10 | |
| Pt-195m | A. F | Pas de forme chimique particulière assignée | 9,4.10-11 | 7,1.10-11 | 
| A. M | Composés non spécifiés, pas de forme chimique particulière assignée | 2,6.10-10 | 3,3.10-10 | |
| A. S | Pas de forme chimique particulière assignée | 3,0.10-10 | 3,9.10-10 | |
| Pt-197 | A. F | Pas de forme chimique particulière assignée | 5,9.10-11 | 4,1.10-11 | 
| A. M | Composés non spécifiés, pas de forme chimique particulière assignée | 1,5.10-10 | 1,6.10-10 | |
| A. S | Pas de forme chimique particulière assignée | 1,6.10-10 | 1,8.10-10 | |
| Pt-197m | A. F | Pas de forme chimique particulière assignée | 2,8.10-11 | 1,9.10-11 | 
| A. M | Composés non spécifiés, pas de forme chimique particulière assignée | 5,1.10-11 | 4,3.10-11 | |
| A. S | Pas de forme chimique particulière assignée | 5,3.10-11 | 4,5.10-11 | |
| Pt-199 | A. F | Pas de forme chimique particulière assignée | 1,9.10-11 | 1,3.10-11 | 
| A. M | Composés non spécifiés, pas de forme chimique particulière assignée | 2,6.10-11 | 1,9.10-11 | |
| A. S | Pas de forme chimique particulière assignée | 2,7.10-11 | 1,9.10-11 | |
| Pt-200 | A. F | Pas de forme chimique particulière assignée | 1,8.10-10 | 1,2.10-10 | 
| A. M | Composés non spécifiés, pas de forme chimique particulière assignée | 3,2.10-10 | 3,0.10-10 | |
| A. S | Pas de forme chimique particulière assignée | 3,4.10-10 | 3,2.10-10 | |
| Pt-202 | A. F | Pas de forme chimique particulière assignée | 6,8.10-10 | 4,4.10-10 | 
| A. M | Composés non spécifiés, pas de forme chimique particulière assignée | 1,1.10-9 | 1,1.10-9 | |
| A. S | Pas de forme chimique particulière assignée | 1,1.10-9 | 1,2.10-9 | |
| Or | ||||
| Au-186 | A. F | Pas de forme chimique particulière assignée | 1,6.10-11 | 1,0.10-11 | 
| A. M | Composés non spécifiés, pas de forme chimique particulière assignée | 1,9.10-11 | 1,3.10-11 | |
| A. S | Or élémentaire, téflon marqué à l'or | 1,9.10-11 | 1,3.10-11 | |
| Au-190 | A. F | Pas de forme chimique particulière assignée | 1,7.10-11 | 1,1.10-11 | 
| A. M | Composés non spécifiés, pas de forme chimique particulière assignée | 2,0.10-11 | 1,4.10-11 | |
| A. S | Or élémentaire, téflon marqué à l'or | 2,1.10-11 | 1,4.10-11 | |
| Au-191 | A. F | Pas de forme chimique particulière assignée | 2,5.10-11 | 1,7.10-11 | 
| A. M | Composés non spécifiés, pas de forme chimique particulière assignée | 3,8.10-11 | 3,2.10-11 | |
| A. S | Or élémentaire, téflon marqué à l'or | 4,0.10-11 | 3,4.10-11 | |
| Au-192 | A. F | Pas de forme chimique particulière assignée | 6,4.10-11 | 4,1.10-11 | 
| A. M | Composés non spécifiés, pas de forme chimique particulière assignée | 7,7.10-11 | 5,3.10-11 | |
| A. S | Or élémentaire, téflon marqué à l'or | 7,8.10-11 | 5,5.10-11 | |
| Au-193 | A. F | Pas de forme chimique particulière assignée | 3,1.10-11 | 2,1.10-11 | 
| A. M | Composés non spécifiés, pas de forme chimique particulière assignée | 4,9.10-11 | 4,5.10-11 | |
| A. S | Or élémentaire, téflon marqué à l'or | 5,2.10-11 | 4,8.10-11 | |
| Au-194 | A. F | Pas de forme chimique particulière assignée | 1,7.10-10 | 1,1.10-10 | 
| A. M | Composés non spécifiés, pas de forme chimique particulière assignée | 2,0.10-10 | 1,5.10-10 | |
| A. S | Or élémentaire, téflon marqué à l'or | 2,0.10-10 | 1,6.10-10 | |
| Au-195 | A. F | Pas de forme chimique particulière assignée | 1,8.10-10 | 1,5.10-10 | 
| A. M | Composés non spécifiés, pas de forme chimique particulière assignée | 4,1.10-10 | 6,8.10-10 | |
| A. S | Or élémentaire, téflon marqué à l'or | 8,1.10-10 | 1,4.10-9 | |
| Au-196 | A. F | Pas de forme chimique particulière assignée | 1,8.10-10 | 1,3.10-10 | 
| A. M | Composés non spécifiés, pas de forme chimique particulière assignée | 2,1.10-10 | 2,1.10-10 | |
| A. S | Or élémentaire, téflon marqué à l'or | 2,2.10-10 | 2,4.10-10 | |
| Au-196m | A. F | Pas de forme chimique particulière assignée | 1,0.10-10 | 7,3.10-11 | 
| A. M | Composés non spécifiés, pas de forme chimique particulière assignée | 2,2.10-10 | 2,1.10-10 | |
| A. S | Or élémentaire, téflon marqué à l'or | 2,3.10-10 | 2,3.10-10 | |
| Au-198 | A. F | Pas de forme chimique particulière assignée | 2,4.10-10 | 1,7.10-10 | 
| A. M | Composés non spécifiés, pas de forme chimique particulière assignée | 3,6.10-10 | 3,7.10-10 | |
| A. S | Or élémentaire, téflon marqué à l'or | 3,8.10-10 | 4,2.10-10 | |
| Au-198m | A. F | Pas de forme chimique particulière assignée | 3,2.10-10 | 2,3.10-10 | 
| A. M | Composés non spécifiés, pas de forme chimique particulière assignée | 5,7.10-10 | 6,6.10-10 | |
| A. S | Or élémentaire, téflon marqué à l'or | 6,3.10-10 | 7,7.10-10 | |
| Au-199 | A. F | Pas de forme chimique particulière assignée | 8,9.10-11 | 6,5.10-11 | 
| A. M | Composés non spécifiés, pas de forme chimique particulière assignée | 2,2.10-10 | 2,6.10-10 | |
| A. S | Or élémentaire, téflon marqué à l'or | 2,4.10-10 | 3,0.10-10 | |
| Au-200 | A. F | Pas de forme chimique particulière assignée | 3,0.10-11 | 1,9.10-11 | 
| A. M | Composés non spécifiés, pas de forme chimique particulière assignée | 3,9.10-11 | 2,7.10-11 | |
| A. S | Or élémentaire, téflon marqué à l'or | 4,0.10-11 | 2,8.10-11 | |
| Au-200m | A. F | Pas de forme chimique particulière assignée | 3,1.10-10 | 2,0.10-10 | 
| A. M | Composés non spécifiés, pas de forme chimique particulière assignée | 4,2.10-10 | 3,4.10-10 | |
| A. S | Or élémentaire, téflon marqué à l'or | 4,4.10-10 | 3,6.10-10 | |
| Au-201 | A. F | Pas de forme chimique particulière assignée | 1,4.10-11 | 9,1.10-12 | 
| A. M | Composés non spécifiés, pas de forme chimique particulière assignée | 1,8.10-11 | 1,2.10-11 | |
| A. S | Or élémentaire, téflon marqué à l'or | 1,8.10-11 | 1,2.10-11 | |
| Mercure | ||||
| Hg-190 | A. F | Pas de forme chimique particulière assignée | 1,1.10-11 | 7,3.10-12 | 
| A. M | Composés non spécifiés, oxyde | 1,1.10-11 | 8,1.10-12 | |
| A. S | Pas de forme chimique particulière assignée | 1,1.10-11 | 8,1.10-12 | |
| G-V. F | Vapeur de mercure, composés non spécifiés | 8,5.10-12 | ||
| Hg-191m | A. F | Pas de forme chimique particulière assignée | 3,1.10-11 | 2,0.10-11 | 
| A. M | Composés non spécifiés, oxyde | 3,0.10-11 | 2,3.10-11 | |
| A. S | Pas de forme chimique particulière assignée | 3,1.10-11 | 2,3.10-11 | |
| G-V. F | Vapeur de mercure, composés non spécifiés | 2,2.10-11 | ||
| Hg-192 | A. F | Pas de forme chimique particulière assignée | 1,0.10-10 | 6,7.10-11 | 
| A. M | Composés non spécifiés, oxyde | 9,4.10-11 | 7,0.10-11 | |
| A. S | Pas de forme chimique particulière assignée | 9,5.10-11 | 7,1.10-11 | |
| G-V. F | Vapeur de mercure, composés non spécifiés | 8,2.10-11 | ||
| Hg-193 | A. F | Pas de forme chimique particulière assignée | 5,6.10-11 | 3,8.10-11 | 
| A. M | Composés non spécifiés, oxyde | 4,7.10-11 | 3,7.10-11 | |
| A. S | Pas de forme chimique particulière assignée | 4,8.10-11 | 3,8.10-11 | |
| G-V. F | Vapeur de mercure, composés non spécifiés | 4,3.10-11 | ||
| Hg-193m | A. F | Pas de forme chimique particulière assignée | 1,9.10-10 | 1,3.10-10 | 
| A. M | Composés non spécifiés, oxyde | 1,7.10-10 | 1,4.10-10 | |
| A. S | Pas de forme chimique particulière assignée | 1,7.10-10 | 1,4.10-10 | |
| G-V. F | Vapeur de mercure, composés non spécifiés | 1,6.10-10 | ||
| Hg-194 | A. F | Pas de forme chimique particulière assignée | 1,6.10-9 | 1,4.10-9 | 
| A. M | Composés non spécifiés, oxyde | 2,2.10-9 | 4,0.10-9 | |
| A. S | Pas de forme chimique particulière assignée | 4,7.10-8 | 9,3.10-8 | |
| G-V. F | Vapeur de mercure, composés non spécifiés | 5,5.10-9 | ||
| Hg-195 | A. F | Pas de forme chimique particulière assignée | 5,9.10-11 | 4,1.10-11 | 
| A. M | Composés non spécifiés, oxyde | 4,4.10-11 | 4,6.10-11 | |
| A. S | Pas de forme chimique particulière assignée | 4,6.10-11 | 5,0.10-11 | |
| G-V. F | Vapeur de mercure, composés non spécifiés | 4,7.10-11 | ||
| Hg-195m | A. F | Pas de forme chimique particulière assignée | 2,4.10-10 | 1,7.10-10 | 
| A. M | Composés non spécifiés, oxyde | 2,2.10-10 | 2,5.10-10 | |
| A. S | Pas de forme chimique particulière assignée | 2,4.10-10 | 2,9.10-10 | |
| G-V. F | Vapeur de mercure, composés non spécifiés | 2,4.10-10 | ||
| Hg-197 | A. F | Pas de forme chimique particulière assignée | 1,1.10-10 | 8,1.10-11 | 
| A. M | Composés non spécifiés, oxyde | 1,2.10-10 | 1,6.10-10 | |
| A. S | Pas de forme chimique particulière assignée | 1,4.10-10 | 1,8.10-10 | |
| G-V. F | Vapeur de mercure, composés non spécifiés | 1,2.10-10 | ||
| Hg-197m | A. F | Pas de forme chimique particulière assignée | 2,0.10-10 | 1,4.10-10 | 
| A. M | Composés non spécifiés, oxyde | 2,1.10-10 | 2,3.10-10 | |
| A. S | Pas de forme chimique particulière assignée | 2,3.10-10 | 2,6.10-10 | |
| G-V. F | Vapeur de mercure, composés non spécifiés | 1,8.10-10 | ||
| Hg-199m | A. F | Pas de forme chimique particulière assignée | 2,7.10-11 | 1,8.10-11 | 
| A. M | Composés non spécifiés, oxyde | 3,2.10-11 | 2,2.10-11 | |
| A. S | Pas de forme chimique particulière assignée | 3,2.10-11 | 2,2.10-11 | |
| G-V. F | Vapeur de mercure, composés non spécifiés | 1,1.10-11 | ||
| Hg-203 | A. F | Pas de forme chimique particulière assignée | 5,1.10-10 | 4,0.10-10 | 
| A. M | Composés non spécifiés, oxyde | 6,5.10-10 | 9,7.10-10 | |
| A. S | Pas de forme chimique particulière assignée | 8,4.10-10 | 1,3.10-9 | |
| G-V. F | Vapeur de mercure, composés non spécifiés | 1,3.10-9 | ||
| Thallium | ||||
| Tl-194 | A. F | Pas de forme chimique particulière assignée | 1,7.10-11 | 1,1.10-11 | 
| A. M | Composés non spécifiés, pas de forme chimique particulière assignée | 2,2.10-11 | 1,5.10-11 | |
| A. S | Pas de forme chimique particulière assignée | 2,2.10-11 | 1,5.10-11 | |
| Tl-194m | A. F | Pas de forme chimique particulière assignée | 1,9.10-11 | 1,3.10-11 | 
| A. M | Composés non spécifiés, pas de forme chimique particulière assignée | 2,5.10-11 | 1,8.10-11 | |
| A. S | Pas de forme chimique particulière assignée | 2,5.10-11 | 1,8.10-11 | |
| Tl-195 | A. F | Pas de forme chimique particulière assignée | 1,2.10-11 | 7,9.10-12 | 
| A. M | Composés non spécifiés, pas de forme chimique particulière assignée | 1,8.10-11 | 1,5.10-11 | |
| A. S | Pas de forme chimique particulière assignée | 1,9.10-11 | 1,5.10-11 | |
| Tl-196 | A. F | Pas de forme chimique particulière assignée | 2,6.10-11 | 1,7.10-11 | 
| A. M | Composés non spécifiés, pas de forme chimique particulière assignée | 3,7.10-11 | 2,6.10-11 | |
| A. S | Pas de forme chimique particulière assignée | 3,8.10-11 | 2,7.10-11 | |
| Tl-197 | A. F | Pas de forme chimique particulière assignée | 1,3.10-11 | 8,8.10-12 | 
| A. M | Composés non spécifiés, pas de forme chimique particulière assignée | 2,4.10-11 | 2,1.10-11 | |
| A. S | Pas de forme chimique particulière assignée | 2,5.10-11 | 2,3.10-11 | |
| Tl-198 | A. F | Pas de forme chimique particulière assignée | 4,6.10-11 | 2,9.10-11 | 
| A. M | Composés non spécifiés, pas de forme chimique particulière assignée | 7,4.10-11 | 5,1.10-11 | |
| A. S | Pas de forme chimique particulière assignée | 7,8.10-11 | 5,4.10-11 | |
| Tl-198m | A. F | Pas de forme chimique particulière assignée | 3,7.10-11 | 2,4.10-11 | 
| A. M | Composés non spécifiés, pas de forme chimique particulière assignée | 6,0.10-11 | 4,3.10-11 | |
| A. S | Pas de forme chimique particulière assignée | 6,2.10-11 | 4,5.10-11 | |
| Tl-199 | A. F | Pas de forme chimique particulière assignée | 1,9.10-11 | 1,2.10-11 | 
| A. M | Composés non spécifiés, pas de forme chimique particulière assignée | 3,4.10-11 | 2,8.10-11 | |
| A. S | Pas de forme chimique particulière assignée | 3,6.10-11 | 3,0.10-11 | |
| Tl-200 | A. F | Pas de forme chimique particulière assignée | 1,3.10-10 | 8,6.10-11 | 
| A. M | Composés non spécifiés, pas de forme chimique particulière assignée | 2,0.10-10 | 1,4.10-10 | |
| A. S | Pas de forme chimique particulière assignée | 2,1.10-10 | 1,6.10-10 | |
| Tl-201 | A. F | Pas de forme chimique particulière assignée | 5,2.10-11 | 3,4.10-11 | 
| A. M | Composés non spécifiés, pas de forme chimique particulière assignée | 8,0.10-11 | 8,9.10-11 | |
| A. S | Pas de forme chimique particulière assignée | 8,5.10-11 | 1,0.10-10 | |
| Tl-202 | A. F | Pas de forme chimique particulière assignée | 3,1.10-10 | 2,0.10-10 | 
| A. M | Composés non spécifiés, pas de forme chimique particulière assignée | 2,7.10-10 | 2,9.10-10 | |
| A. S | Pas de forme chimique particulière assignée | 2,6.10-10 | 3,3.10-10 | |
| Tl-204 | A. F | Pas de forme chimique particulière assignée | 5,8.10-10 | 3,7.10-10 | 
| A. M | Composés non spécifiés, pas de forme chimique particulière assignée | 2,2.10-9 | 3,7.10-9 | |
| A. S | Pas de forme chimique particulière assignée | 1,2.10-8 | 2,2.10-8 | |
| Plomb | ||||
| Pb-194 | A. F | Dichlorure, dibromure, difluorure, hydroxyde, nitrate, oxyde, autres composés et composés non spécifiés | 1,1.10-11 | 7,5.10-12 | 
| A. M | Pas de forme chimique particulière assignée | 1,3.10-11 | 8,6.10-12 | |
| A. S | Poussières minérales | 1,3.10-11 | 8,6.10-12 | |
| Pb-195m | A. F | Dichlorure, dibromure, difluorure, hydroxyde, nitrate, oxyde, autres composés et composés non spécifiés | 2,5.10-11 | 1,6.10-11 | 
| A. M | Pas de forme chimique particulière assignée | 1,8.10-11 | 1,3.10-11 | |
| A. S | Poussières minérales | 1,8.10-11 | 1,3.10-11 | |
| Pb-196 | A. F | Dichlorure, dibromure, difluorure, hydroxyde, nitrate, oxyde, autres composés et composés non spécifiés | 2,5.10-11 | 1,6.10-11 | 
| A. M | Pas de forme chimique particulière assignée | 2,2.10-11 | 1,6.10-11 | |
| A. S | Poussières minérales | 2,2.10-11 | 1,6.10-11 | |
| Pb-197m | A. F | Dichlorure, dibromure, difluorure, hydroxyde, nitrate, oxyde, autres composés et composés non spécifiés | 5,0.10-11 | 3,2.10-11 | 
| A. M | Pas de forme chimique particulière assignée | 3,8.10-11 | 2,7.10-11 | |
| A. S | Poussières minérales | 3,8.10-11 | 2,8.10-11 | |
| Pb-198 | A. F | Dichlorure, dibromure, difluorure, hydroxyde, nitrate, oxyde, autres composés et composés non spécifiés | 7,4.10-11 | 4,8.10-11 | 
| A. M | Pas de forme chimique particulière assignée | 5,6.10-11 | 4,0.10-11 | |
| A. S | Poussières minérales | 5,7.10-11 | 4,1.10-11 | |
| Pb-199 | A. F | Dichlorure, dibromure, difluorure, hydroxyde, nitrate, oxyde, autres composés et composés non spécifiés | 3,7.10-11 | 2,4.10-11 | 
| A. M | Pas de forme chimique particulière assignée | 2,2.10-11 | 1,7.10-11 | |
| A. S | Poussières minérales | 2,2.10-11 | 1,7.10-11 | |
| Pb-200 | A. F | Dichlorure, dibromure, difluorure, hydroxyde, nitrate, oxyde, autres composés et composés non spécifiés | 4,0.10-10 | 2,5.10-10 | 
| A. M | Pas de forme chimique particulière assignée | 2,1.10-10 | 1,9.10-10 | |
| A. S | Poussières minérales | 2,2.10-10 | 2,0.10-10 | |
| Pb-201 | A. F | Dichlorure, dibromure, difluorure, hydroxyde, nitrate, oxyde, autres composés et composés non spécifiés | 1,3.10-10 | 8,3.10-11 | 
| A. M | Pas de forme chimique particulière assignée | 7,9.10-11 | 6,2.10-11 | |
| A. S | Poussières minérales | 7,9.10-11 | 6,3.10-11 | |
| Pb-202 | A. F | Dichlorure, dibromure, difluorure, hydroxyde, nitrate, oxyde, autres composés et composés non spécifiés | 3,0.10-8 | 2,1.10-8 | 
| A. M | Pas de forme chimique particulière assignée | 9,0.10-9 | 1,4.10-8 | |
| A. S | Poussières minérales | 8,2.10-8 | 1,6.10-7 | |
| Pb-202m | A. F | Dichlorure, dibromure, difluorure, hydroxyde, nitrate, oxyde, autres composés et composés non spécifiés | 9,0.10-11 | 5,9.10-11 | 
| A. M | Pas de forme chimique particulière assignée | 7,8.10-11 | 5,6.10-11 | |
| A. S | Poussières minérales | 7,9.10-11 | 5,7.10-11 | |
| Pb-203 | A. F | Dichlorure, dibromure, difluorure, hydroxyde, nitrate, oxyde, autres composés et composés non spécifiés | 2,3.10-10 | 1,5.10-10 | 
| A. M | Pas de forme chimique particulière assignée | 1,2.10-10 | 1,1.10-10 | |
| A. S | Poussières minérales | 1,2.10-10 | 1,1.10-10 | |
| Pb-204m | A. F | Dichlorure, dibromure, difluorure, hydroxyde, nitrate, oxyde, autres composés et composés non spécifiés | 2,1.10-11 | 1,4.10-11 | 
| A. M | Pas de forme chimique particulière assignée | 2,4.10-11 | 1,6.10-11 | |
| A. S | Poussières minérales | 2,4.10-11 | 1,6.10-11 | |
| Pb-205 | A. F | Dichlorure, dibromure, difluorure, hydroxyde, nitrate, oxyde, autres composés et composés non spécifiés | 2,4.10-10 | 1,7.10-10 | 
| A. M | Pas de forme chimique particulière assignée | 7,7.10-11 | 1,3.10-10 | |
| A. S | Poussières minérales | 1,1.10-9 | 2,2.10-9 | |
| Pb-209 | A. F | Dichlorure, dibromure, difluorure, hydroxyde, nitrate, oxyde, autres composés et composés non spécifiés | 7,4.10-11 | 4,7.10-11 | 
| A. M | Pas de forme chimique particulière assignée | 4,4.10-11 | 3,5.10-11 | |
| A. S | Poussières minérales | 4,4.10-11 | 3,5.10-11 | |
| Pb-210 | A. F | Dichlorure, dibromure, difluorure, hydroxyde, nitrate, oxyde, autres composés et composés non spécifiés | 7,0.10-7 | 5,0.10-7 | 
| A. M | Pas de forme chimique particulière assignée | 6,2.10-7 | 9,3.10-7 | |
| A. S | Poussières minérales | 9,2.10-6 | 1,5.10-5 | |
| Pb-211 | A. F | Dichlorure, dibromure, difluorure, hydroxyde, nitrate, oxyde, autres composés et composés non spécifiés | 2,5.10-8 | 1,6.10-8 | 
| A. M | Pas de forme chimique particulière assignée | 1,3.10-8 | 1,1.10-8 | |
| A. S | Poussières minérales | 1,3.10-8 | 1,1.10-8 | |
| Pb-212 | A. F | Dichlorure, dibromure, difluorure, hydroxyde, nitrate, oxyde, autres composés et composés non spécifiés | 3,0.10-7 | 1,8.10-7 | 
| A. M | Pas de forme chimique particulière assignée | 9,4.10-8 | 1,0.10-7 | |
| A. S | Poussières minérales | 9,4.10-8 | 1,1.10-7 | |
| Pb-214 | A. F | Dichlorure, dibromure, difluorure, hydroxyde, nitrate, oxyde, autres composés et composés non spécifiés | 2,0.10-8 | 1,3.10-8 | 
| A. M | Pas de forme chimique particulière assignée | 1,4.10-8 | 1,1.10-8 | |
| A. S | Poussières minérales | 1,4.10-8 | 1,1.10-8 | |
| Bismuth | ||||
| Bi-200 | A. F | Pas de forme chimique particulière assignée | 2,7.10-11 | 1,9.10-11 | 
| A. M | Autres composés et composés non spécifiés | 2,8.10-11 | 2,1.10-11 | |
| A. S | Pas de forme chimique particulière assignée | 2,8.10-11 | 2,1.10-11 | |
| Bi-201 | A. F | Pas de forme chimique particulière assignée | 5,4.10-11 | 3,8.10-11 | 
| A. M | Autres composés et composés non spécifiés | 5,6.10-11 | 4,1.10-11 | |
| A. S | Pas de forme chimique particulière assignée | 5,6.10-11 | 4,2.10-11 | |
| Bi-202 | A. F | Pas de forme chimique particulière assignée | 4,8.10-11 | 3,4.10-11 | 
| A. M | Autres composés et composés non spécifiés | 4,9.10-11 | 3,4.10-11 | |
| A. S | Pas de forme chimique particulière assignée | 4,9.10-11 | 3,4.10-11 | |
| Bi-203 | A. F | Pas de forme chimique particulière assignée | 2,1.10-10 | 1,5.10-10 | 
| A. M | Autres composés et composés non spécifiés | 2,2.10-10 | 1,6.10-10 | |
| A. S | Pas de forme chimique particulière assignée | 2,3.10-10 | 1,7.10-10 | |
| Bi-204 | A. F | Pas de forme chimique particulière assignée | 2,6.10-10 | 1,7.10-10 | 
| A. M | Autres composés et composés non spécifiés | 2,7.10-10 | 1,9.10-10 | |
| A. S | Pas de forme chimique particulière assignée | 2,7.10-10 | 1,9.10-10 | |
| Bi-205 | A. F | Pas de forme chimique particulière assignée | 5,0.10-10 | 3,9.10-10 | 
| A. M | Autres composés et composés non spécifiés | 7,3.10-10 | 8,7.10-10 | |
| A. S | Pas de forme chimique particulière assignée | 8,2.10-10 | 1,1.10-9 | |
| Bi-206 | A. F | Pas de forme chimique particulière assignée | 9,2.10-10 | 6,9.10-10 | 
| A. M | Autres composés et composés non spécifiés | 1,2.10-9 | 1,2.10-9 | |
| A. S | Pas de forme chimique particulière assignée | 1,2.10-9 | 1,3.10-9 | |
| Bi-207 | A. F | Pas de forme chimique particulière assignée | 8,5.10-10 | 8,4.10-10 | 
| A. M | Autres composés et composés non spécifiés | 3,8.10-9 | 6,8.10-9 | |
| A. S | Pas de forme chimique particulière assignée | 6,5.10-8 | 1,3.10-7 | |
| Bi-208 | A. F | Pas de forme chimique particulière assignée | 1,0.10-9 | 9,9.10-10 | 
| A. M | Autres composés et composés non spécifiés | 3,5.10-9 | 6,2.10-9 | |
| A. S | Pas de forme chimique particulière assignée | 8,0.10-8 | 1,6.10-7 | |
| Bi-210 | A. F | Pas de forme chimique particulière assignée | 2,5.10-9 | 3,4.10-9 | 
| A. M | Autres composés et composés non spécifiés | 2,9.10-8 | 4,6.10-8 | |
| A. S | Pas de forme chimique particulière assignée | 5,7.10-8 | 8,7.10-8 | |
| Bi-210m | A. F | Pas de forme chimique particulière assignée | 1,3.10-7 | 1,8.10-7 | 
| A. M | Autres composés et composés non spécifiés | 1,4.10-6 | 2,2.10-6 | |
| A. S | Pas de forme chimique particulière assignée | 1,4.10-5 | 2,4.10-5 | |
| Bi-212 | A. F | Pas de forme chimique particulière assignée | 2,8.10-8 | 2,3.10-8 | 
| A. M | Autres composés et composés non spécifiés | 2,9.10-8 | 2,4.10-8 | |
| A. S | Pas de forme chimique particulière assignée | 2,9.10-8 | 2,4.10-8 | |
| Bi-213 | A. F | Pas de forme chimique particulière assignée | 2,8.10-8 | 2,2.10-8 | 
| A. M | Autres composés et composés non spécifiés | 2,9.10-8 | 2,2.10-8 | |
| A. S | Pas de forme chimique particulière assignée | 2,9.10-8 | 2,2.10-8 | |
| Bi-214 | A. F | Pas de forme chimique particulière assignée | 1,4.10-8 | 1,0.10-8 | 
| A. M | Autres composés et composés non spécifiés | 1,4.10-8 | 1,0.10-8 | |
| A. S | Pas de forme chimique particulière assignée | 1,4.10-8 | 1,0.10-8 | |
| Polonium | ||||
| Po-203 | A. F | Pas de forme chimique particulière assignée | 3,5.10-11 | 2,6.10-11 | 
| A. M | Chlorure, hydroxyde, polonium volatilisé, autres composés et composés non spécifiés | 3,7.10-11 | 2,9.10-11 | |
| A. S | Pas de forme chimique particulière assignée | 3,7.10-11 | 2,9.10-11 | |
| Po-204 | A. F | Pas de forme chimique particulière assignée | 2,5.10-10 | 2,4.10-10 | 
| A. M | Chlorure, hydroxyde, polonium volatilisé, autres composés et composés non spécifiés | 3,1.10-10 | 3,1.10-10 | |
| A. S | Pas de forme chimique particulière assignée | 3,2.10-10 | 3,3.10-10 | |
| Po-205 | A. F | Pas de forme chimique particulière assignée | 3,1.10-11 | 2,3.10-11 | 
| A. M | Chlorure, hydroxyde, polonium volatilisé, autres composés et composés non spécifiés | 3,3.10-11 | 2,8.10-11 | |
| A. S | Pas de forme chimique particulière assignée | 3,4.10-11 | 2,9.10-11 | |
| Po-206 | A. F | Pas de forme chimique particulière assignée | 5,4.10-9 | 6,1.10-9 | 
| A. M | Chlorure, hydroxyde, polonium volatilisé, autres composés et composés non spécifiés | 1,9.10-8 | 2,9.10-8 | |
| A. S | Pas de forme chimique particulière assignée | 2,3.10-8 | 3,5.10-8 | |
| Po-207 | A. F | Pas de forme chimique particulière assignée | 6,3.10-11 | 4,5.10-11 | 
| A. M | Chlorure, hydroxyde, polonium volatilisé, autres composés et composés non spécifiés | 6,9.10-11 | 5,2.10-11 | |
| A. S | Pas de forme chimique particulière assignée | 7,2.10-11 | 5,7.10-11 | |
| Po-208 | A. F | Pas de forme chimique particulière assignée | 3,4.10-7 | 3,8.10-7 | 
| A. M | Chlorure, hydroxyde, polonium volatilisé, autres composés et composés non spécifiés | 1,5.10-6 | 2,2.10-6 | |
| A. S | Pas de forme chimique particulière assignée | 5,0.10-6 | 7,4.10-6 | |
| Po-209 | A. F | Pas de forme chimique particulière assignée | 3,4.10-7 | 3,8.10-7 | 
| A. M | Chlorure, hydroxyde, polonium volatilisé, autres composés et composés non spécifiés | 1,5.10-6 | 2,3.10-6 | |
| A. S | Pas de forme chimique particulière assignée | 1,2.10-5 | 2,1.10-5 | |
| Po-210 | A. F | Pas de forme chimique particulière assignée | 2,8.10-7 | 3,1.10-7 | 
| A. M | Chlorure, hydroxyde, polonium volatilisé, autres composés et composés non spécifiés | 1,1.10-6 | 1,6.10-6 | |
| A. S | Pas de forme chimique particulière assignée | 1,8.10-6 | 2,8.10-6 | |
| Astate | ||||
| At-205 | A. F | Pas de forme chimique particulière assignée, composés non spécifiés | 4,5.10-10 | 4,1.10-10 | 
| A. M | Pas de forme chimique particulière assignée | 6,8.10-10 | 6,5.10-10 | |
| A. S | Pas de forme chimique particulière assignée | 6,8.10-10 | 6,6.10-10 | |
| G-V. F | Pas de forme chimique particulière assignée, composés non spécifiés | 3,8.10-9 | ||
| At-206 | A. F | Pas de forme chimique particulière assignée | 8,0.10-11 | 6,8.10-11 | 
| A. M | Pas de forme chimique particulière assignée | 1,3.10-10 | 1,4.10-10 | |
| A. S | Pas de forme chimique particulière assignée, composés non spécifiés | 1,4.10-10 | 1,6.10-10 | |
| G-V. F | Pas de forme chimique particulière assignée | 4,5.10-10 | ||
| At-207 | A. F | Pas de forme chimique particulière assignée | 8,5.10-10 | 7,5.10-10 | 
| A. M | Pas de forme chimique particulière assignée, composés non spécifiés | 1,6.10-9 | 1,8.10-9 | |
| A. S | Pas de forme chimique particulière assignée | 1,7.10-9 | 1,8.10-9 | |
| G-V. F | Pas de forme chimique particulière assignée | 5,9.10-9 | ||
| At-208 | A. F | Pas de forme chimique particulière assignée, composés non spécifiés | 1,7.10-10 | 1,3.10-10 | 
| A. M | Pas de forme chimique particulière assignée | 2,4.10-10 | 2,8.10-10 | |
| A. S | Pas de forme chimique particulière assignée | 4,6.10-10 | 6,2.10-10 | |
| G-V. F | Pas de forme chimique particulière assignée, composés non spécifiés | 6,3.10-10 | ||
| At-209 | A. F | Pas de forme chimique particulière assignée | 1,2.10-9 | 9,4.10-10 | 
| A. M | Pas de forme chimique particulière assignée | 1,8.10-9 | 2,0.10-9 | |
| A. S | Pas de forme chimique particulière assignée, composés non spécifiés | 1,8.10-9 | 2,2.10-9 | |
| G-V. F | Pas de forme chimique particulière assignée | 4,7.10-9 | ||
| At-210 | A. F | Pas de forme chimique particulière assignée | 3,9.10-9 | 2,7.10-9 | 
| A. M | Pas de forme chimique particulière assignée, composés non spécifiés | 3,2.10-9 | 4,4.10-9 | |
| A. S | Pas de forme chimique particulière assignée | 4,6.10-9 | 6,8.10-9 | |
| G-V. F | Pas de forme chimique particulière assignée | 7,5.10-9 | ||
| At-211 | A. F | Pas de forme chimique particulière assignée, composés non spécifiés | 5,8.10-8 | 4,2.10-8 | 
| A. M | Pas de forme chimique particulière assignée | 7,6.10-8 | 7,8.10-8 | |
| A. S | Pas de forme chimique particulière assignée | 7,5.10-8 | 8,1.10-8 | |
| G-V. F | Pas de forme chimique particulière assignée, composés non spécifiés | 1,7.10-7 | ||
| Francium | ||||
| Fr-212 | A. F | Pas de forme chimique particulière assignée | 2,9.10-9 | 2,5.10-9 | 
| A. M | Composés non spécifiés, pas de forme chimique particulière assignée | 4,1.10-9 | 3,7.10-9 | |
| A. S | Pas de forme chimique particulière assignée | 4,2.10-9 | 3,7.10-9 | |
| Fr-222 | A. F | Pas de forme chimique particulière assignée | 1,9.10-8 | 1,4.10-8 | 
| A. M | Composés non spécifiés, pas de forme chimique particulière assignée | 2,5.10-8 | 1,9.10-8 | |
| A. S | Pas de forme chimique particulière assignée | 2,5.10-8 | 1,9.10-8 | |
| Fr-223 | A. F | Pas de forme chimique particulière assignée | 2,1.10-10 | 1,5.10-10 | 
| A. M | Composés non spécifiés, pas de forme chimique particulière assignée | 2,3.10-9 | 3,3.10-9 | |
| A. S | Pas de forme chimique particulière assignée | 2,9.10-9 | 4,2.10-9 | |
| Radium | ||||
| Ra-223 | A. F | Nitrate | 1,9.10-7 | 1,6.10-7 | 
| A. M | Autres composés et composés non spécifiés | 1,8.10-6 | 2,5.10-6 | |
| A. S | Pas de forme chimique particulière assignée | 2,2.10-6 | 3,2.10-6 | |
| Ra-224 | A. F | Nitrate | 1,2.10-7 | 1,1.10-7 | 
| A. M | Autres composés et composés non spécifiés | 9,1.10-7 | 1,3.10-6 | |
| A. S | Pas de forme chimique particulière assignée | 1,1.10-6 | 1,6.10-6 | |
| Ra-225 | A. F | Nitrate | 5,9.10-8 | 5,2.10-8 | 
| A. M | Autres composés et composés non spécifiés | 9,6.10-7 | 1,5.10-6 | |
| A. S | Pas de forme chimique particulière assignée | 1,3.10-6 | 2,1.10-6 | |
| Ra-226 | A. F | Nitrate | 1,6.10-7 | 1,5.10-7 | 
| A. M | Autres composés et composés non spécifiés | 1,4.10-6 | 2,1.10-6 | |
| A. S | Pas de forme chimique particulière assignée | 1,3.10-5 | 2,3.10-5 | |
| Ra-227 | A. F | Nitrate | 1,9.10-10 | 2,2.10-10 | 
| A. M | Autres composés et composés non spécifiés | 1,2.10-10 | 1,8.10-10 | |
| A. S | Pas de forme chimique particulière assignée | 2,7.10-10 | 4,3.10-10 | |
| Ra-228 | A. F | Nitrate | 4,1.10-7 | 3,7.10-7 | 
| A. M | Autres composés et composés non spécifiés | 1,2.10-6 | 1,9.10-6 | |
| A. S | Pas de forme chimique particulière assignée | 2,2.10-5 | 3,7.10-5 | |
| Ra-230 | A. F | Nitrate | 8,9.10-11 | 6,1.10-11 | 
| A. M | Autres composés et composés non spécifiés | 1,1.10-10 | 8,0.10-11 | |
| A. S | Pas de forme chimique particulière assignée | 1,1.10-10 | 8,2.10-11 | |
| Actinium | ||||
| Ac-224 | A. F | Citrate | 2,8.10-8 | 3,3.10-8 | 
| A. M | Chlorure, oxyde, autres composés et composés non spécifiés | 4,1.10-8 | 5,2.10-8 | |
| A. S | Actinium associé avec des composés d'oxyde de plutonium | 4,5.10-8 | 5,8.10-8 | |
| Ac-225 | A. F | Citrate | 8,9.10-7 | 1,2.10-6 | 
| A. M | Chlorure, oxyde, autres composés et composés non spécifiés | 1,8.10-6 | 2,6.10-6 | |
| A. S | Actinium associé avec des composés d'oxyde de plutonium | 2,1.10-6 | 3,0.10-6 | |
| Ac-226 | A. F | Citrate | 4,1.10-7 | 5,1.10-7 | 
| A. M | Chlorure, oxyde, autres composés et composés non spécifiés | 5,3.10-7 | 6,9.10-7 | |
| A. S | Actinium associé avec des composés d'oxyde de plutonium | 5,6.10-7 | 7,3.10-7 | |
| Ac-227 | A. F | Citrate | 3,2.10-5 | 5,4.10-5 | 
| A. M | Chlorure, oxyde, autres composés et composés non spécifiés | 2,4.10-5 | 4,3.10-5 | |
| A. S | Actinium associé avec des composés d'oxyde de plutonium | 6,5.10-5 | 1,1.10-4 | |
| Ac-228 | A. F | Citrate | 2,1.10-9 | 3,5.10-9 | 
| A. M | Chlorure, oxyde, autres composés et composés non spécifiés | 3,5.10-9 | 5,7.10-9 | |
| A. S | Actinium associé avec des composés d'oxyde de plutonium | 8,4.10-9 | 1,3.10-8 | |
| Thorium | ||||
| Th-226 | A. F | Pas de forme chimique particulière assignée | 2,9.10-8 | 2,2.10-8 | 
| A. M | Hydroxyde de thorium | 5,5.10-8 | 4,5.10-8 | |
| A. S | Oxyde, autres composés et composés non spécifiés | 5,5.10-8 | 4,6.10-8 | |
| A. Spé. | Composés solubles dans l'eau, y compris les chlorures, citrates, nitrates et sulfates, fluorure de thorium | 5,3.10-8 | 4,3.10-8 | |
| Th-227 | A. F | Pas de forme chimique particulière assignée | 3,7.10-7 | 3,1.10-7 | 
| A. M | Hydroxyde de thorium | 1,5.10-6 | 2,4.10-6 | |
| A. S | Oxyde, autres composés et composés non spécifiés | 2,1.10-6 | 3,3.10-6 | |
| A. Spé. | Composés solubles dans l'eau, y compris les chlorures, citrates, nitrates et sulfates, fluorure de thorium | 1,7.10-6 | 2,7.10-6 | |
| Th-228 | A. F | Pas de forme chimique particulière assignée | 1,7.10-5 | 1,4.10-5 | 
| A. M | Hydroxyde de thorium | 9,0.10-6 | 1,5.10-5 | |
| A. S | Oxyde, autres composés et composés non spécifiés | 2,3.10-5 | 3,5.10-5 | |
| A. Spé. | Composés solubles dans l'eau, y compris les chlorures, citrates, nitrates et sulfates, fluorure de thorium | 1,1.10-5 | 1,6.10-5 | |
| Th-229 | A. F | Pas de forme chimique particulière assignée | 1,2.10-4 | 9,9.10-5 | 
| A. M | Hydroxyde de thorium | 2,7.10-5 | 4,8.10-5 | |
| A. S | Oxyde, autres composés et composés non spécifiés | 9,4.10-5 | 1,7.10-4 | |
| A. Spé. | Composés solubles dans l'eau, y compris les chlorures, citrates, nitrates et sulfates, fluorure de thorium | 3,4.10-5 | 5,1.10-5 | |
| Th-230 | A. F | Pas de forme chimique particulière assignée | 3,4.10-5 | 2,8.10-5 | 
| A. M | Hydroxyde de thorium | 7,3.10-6 | 1,3.10-5 | |
| A. S | Oxyde, autres composés et composés non spécifiés | 1,5.10-5 | 2,5.10-5 | |
| A. Spé. | Composés solubles dans l'eau, y compris les chlorures, citrates, nitrates et sulfates, fluorure de thorium | 9,2.10-6 | 1,4.10-5 | |
| Th-231 | A. F | Pas de forme chimique particulière assignée | 4,6.10-11 | 3,5.10-11 | 
| A. M | Hydroxyde de thorium | 1,2.10-10 | 1,4.10-10 | |
| A. S | Oxyde, autres composés et composés non spécifiés | 1,3.10-10 | 1,7.10-10 | |
| A. Spé. | Composés solubles dans l'eau, y compris les chlorures, citrates, nitrates et sulfates, fluorure de thorium | 1,2.10-10 | 1,5.10-10 | |
| Th-232 | A. F | Pas de forme chimique particulière assignée | 4,0.10-5 | 3,3.10-5 | 
| A. M | Hydroxyde de thorium | 8,2.10-6 | 1,5.10-5 | |
| A. S | Oxyde, autres composés et composés non spécifiés | 5,4.10-5 | 1,0.10-4 | |
| A. Spé. | Composés solubles dans l'eau, y compris les chlorures, citrates, nitrates et sulfates, fluorure de thorium | 1,0.10-5 | 1,6.10-5 | |
| Th-233 | A. F | Pas de forme chimique particulière assignée | 1,1.10-11 | 7,5.10-12 | 
| A. M | Hydroxyde de thorium | 1,7.10-11 | 1,2.10-11 | |
| A. S | Oxyde, autres composés et composés non spécifiés | 1,7.10-11 | 1,2.10-11 | |
| A. Spé. | Composés solubles dans l'eau, y compris les chlorures, citrates, nitrates et sulfates, fluorure de thorium | 1,6.10-11 | 1,1.10-11 | |
| Th-234 | A. F | Pas de forme chimique particulière assignée | 1,9.10-9 | 1,5.10-9 | 
| A. M | Hydroxyde de thorium | 2,3.10-9 | 3,7.10-9 | |
| A. S | Oxyde, autres composés et composés non spécifiés | 2,9.10-9 | 4,9.10-9 | |
| A. Spé. | Composés solubles dans l'eau, y compris les chlorures, citrates, nitrates et sulfates, fluorure de thorium | 2,6.10-9 | 4,1.10-9 | |
| Th-236 | A. F | Pas de forme chimique particulière assignée | 3,7.10-11 | 2,4.10-11 | 
| A. M | Hydroxyde de thorium | 6,0.10-11 | 4,1.10-11 | |
| A. S | Oxyde, autres composés et composés non spécifiés | 6,0.10-11 | 4,2.10-11 | |
| A. Spé. | Composés solubles dans l'eau, y compris les chlorures, citrates, nitrates et sulfates, fluorure de thorium | 5,8.10-11 | 4,0.10-11 | |
| Protactinium | ||||
| Pa-227 | A. F | Pas de forme chimique particulière assignée | 3,2.10-8 | 2,4.10-8 | 
| A. M | Hydroxyde, autres composés et composés non spécifiés | 6,9.10-8 | 5,8.10-8 | |
| A. S | Oxyde | 7.10-8 | 5,9.10-8 | |
| A. Spé. | Composés solubles dans l'eau, y compris les chlorures, citrates, nitrates et sulfates | 6,6.10-8 | 5,5.10-8 | |
| Pa-228 | A. F | Pas de forme chimique particulière assignée | 2,3.10-8 | 2,0.10-8 | 
| A. M | Hydroxyde, autres composés et composés non spécifiés | 1,8.10-8 | 2,7.10-8 | |
| A. S | Oxyde | 3,6.10-8 | 5,4.10-8 | |
| A. Spé. | Composés solubles dans l'eau, y compris les chlorures, citrates, nitrates et sulfates | 2,0.10-8 | 3,0.10-8 | |
| Pa-229 | A. F | Pas de forme chimique particulière assignée | 5,2.10-10 | 4,4.10-10 | 
| A. M | Hydroxyde, autres composés et composés non spécifiés | 1,6.10-9 | 2,3.10-9 | |
| A. S | Oxyde | 1,9.10-9 | 2,9.10-9 | |
| A. Spé. | Composés solubles dans l'eau, y compris les chlorures, citrates, nitrates et sulfates | 1,7.10-9 | 2,5.10-9 | |
| Pa-230 | A. F | Pas de forme chimique particulière assignée | 2,7.10-8 | 2,2.10-8 | 
| A. M | Hydroxyde, autres composés et composés non spécifiés | 9,1.10-8 | 1,4.10-7 | |
| A. S | Oxyde | 1,4.10-7 | 2,2.10-7 | |
| A. Spé. | Composés solubles dans l'eau, y compris les chlorures, citrates, nitrates et sulfates | 1,0.10-7 | 1,6.10-7 | |
| Pa-231 | A. F | Pas de forme chimique particulière assignée | 1,0.10-4 | 8,6.10-5 | 
| A. M | Hydroxyde, autres composés et composés non spécifiés | 2,0.10-5 | 3,6.10-5 | |
| A. S | Oxyde | 4,6.10-5 | 8,4.10-5 | |
| A. Spé. | Composés solubles dans l'eau, y compris les chlorures, citrates, nitrates et sulfates | 2,5.10-5 | 3,8.10-5 | |
| Pa-232 | A. F | Pas de forme chimique particulière assignée | 4,9.10-10 | 3,8.10-10 | 
| A. M | Hydroxyde, autres composés et composés non spécifiés | 4,4.10-10 | 5,3.10-10 | |
| A. S | Oxyde | 3,8.10-9 | 6,6.10-9 | |
| A. Spé. | Composés solubles dans l'eau, y compris les chlorures, citrates, nitrates et sulfates | 4,8.10-10 | 5,6.10-10 | |
| Pa-233 | A. F | Pas de forme chimique particulière assignée | 7,1.10-10 | 5,8.10-10 | 
| A. M | Hydroxyde, autres composés et composés non spécifiés | 8,3.10-10 | 1,3.10-9 | |
| A. S | Oxyde | 1,0.10-9 | 1,6.10-9 | |
| A. Spé. | Composés solubles dans l'eau, y compris les chlorures, citrates, nitrates et sulfates | 9,3.10-10 | 1,4.10-9 | |
| Pa-234 | A. F | Pas de forme chimique particulière assignée | 1,1.10-10 | 7,2.10-11 | 
| A. M | Hydroxyde, autres composés et composés non spécifiés | 2,0.10-10 | 1,6.10-10 | |
| A. S | Oxyde | 2,0.10-10 | 1,7.10-10 | |
| A. Spé. | Composés solubles dans l'eau, y compris les chlorures, citrates, nitrates et sulfates | 1,9.10-10 | 1,6.10-10 | |
| Pa-235 | A. F | Pas de forme chimique particulière assignée | 1,2.10-11 | 8,0.10-12 | 
| A. M | Hydroxyde, autres composés et composés non spécifiés | 1,8.10-11 | 1,2.10-11 | |
| A. S | Oxyde | 1,8.10-11 | 1,2.10-11 | |
| A. Spé. | Composés solubles dans l'eau, y compris les chlorures, citrates, nitrates et sulfates | 1,8.10-11 | 1,2.10-11 | |
| Uranium | ||||
| U-230 | A. F | Hexafluorure d'uranium, tributyl-phosphate d'uranyle | 2,5.10-7 | 2,4.10-7 | 
| A. M | Uranyl acetylaceto-nate, uranium appauvri utilisé dans les pénétrateurs à énergie cinétique, uranium métallique vaporisé, autres composés et composés non spécifiés | 2,8.10-6 | 4,2.10-6 | |
| A. S | Pas de forme chimique particulière assignée | 3,7.10-6 | 5,5.10-6 | |
| A. Spé. N°1 | Nitrate d'uranyle, hydrate de peroxyde d'uranium, diuranate d'ammonium, trioxyde d'uranium | 1,1.10-6 | 1,6.10-6 | |
| A. Spé. N°2 | Dioxyde et octoxyde | 3,6.10-6 | 5,3.10-6 | |
| A. Spé. N°3 | Aluminiure d'uranium | 3,7.10-6 | 5,5.10-6 | |
| U-231 | A. F | Hexafluorure d'uranium, tributyl-phosphate d'uranyle | 4,7.10-11 | 3,7.10-11 | 
| A. M | Uranyl acetylaceto-nate, uranium appauvri utilisé dans les pénétrateurs à énergie cinétique, uranium métallique vaporisé, autres composés et composés non spécifiés | 1,6.10-10 | 2,2.10-10 | |
| A. S | Pas de forme chimique particulière assignée | 2,0.10-10 | 2,8.10-10 | |
| A. Spé. N°1 | Nitrate d'uranyle, hydrate de peroxyde d'uranium, diuranate d'ammonium, trioxyde d'uranium | 9,6.10-11 | 1,1.10-10 | |
| A. Spé. N°2 | Dioxyde et octoxyde | 1,9.10-10 | 2,6.10-10 | |
| A. Spé. N°3 | Aluminiure d'uranium | 1,9.10-10 | 2,7.10-10 | |
| U-232 | A. F | Hexafluorure d'uranium, tributyl-phosphate d'uranyle | 1,3.10-6 | 1,5.10-6 | 
| A. M | Uranyl acetylaceto-nate, uranium appauvri utilisé dans les pénétrateurs à énergie cinétique, uranium métallique vaporisé, autres composés et composés non spécifiés | 3,0.10-6 | 4,9.10-6 | |
| A. S | Pas de forme chimique particulière assignée | 6,8.10-5 | 1,2.10-4 | |
| A. Spé. N°1 | Nitrate d'uranyle, hydrate de peroxyde d'uranium, diuranate d'ammonium, trioxyde d'uranium | 1,1.10-6 | 1,8.10-6 | |
| A. Spé. N°2 | Dioxyde et octoxyde | 2,1.10-5 | 3,4.10-5 | |
| A. Spé. N°3 | Aluminiure d'uranium | 7,4.10-6 | 1,1.10-5 | |
| U-233 | A. F | Hexafluorure d'uranium, tributyl-phosphate d'uranyle | 2,6.10-7 | 3,0.10-7 | 
| A. M | Uranyl acetylaceto-nate, uranium appauvri utilisé dans les pénétrateurs à énergie cinétique, uranium métallique vaporisé, autres composés et composés non spécifiés | 1,5.10-6 | 2,2.10-6 | |
| A. S | Pas de forme chimique particulière assignée | 1,3.10-5 | 2,3.10-5 | |
| A. Spé. N°1 | Nitrate d'uranyle, hydrate de peroxyde d'uranium, diuranate d'ammonium, trioxyde d'uranium | 4,2.10-7 | 6,5.10-7 | |
| A. Spé. N°2 | Dioxyde et octoxyde | 5,6.10-6 | 8,6.10-6 | |
| A. Spé. N°3 | Aluminiure d'uranium | 3,1.10-6 | 4,6.10-6 | |
| U-234 | A. F | Hexafluorure d'uranium, tributyl-phosphate d'uranyle | 2,5.10-7 | 3,0.10-7 | 
| A. M | Uranyl acetylaceto-nate, uranium appauvri utilisé dans les pénétrateurs à énergie cinétique, uranium métallique vaporisé, autres composés et composés non spécifiés | 1,4.10-6 | 2,2.10-6 | |
| A. S | Pas de forme chimique particulière assignée | 1,3.10-5 | 2,3.10-5 | |
| A. Spé. N°1 | Nitrate d'uranyle, hydrate de peroxyde d'uranium, diuranate d'ammonium, trioxyde d'uranium | 4,1.10-7 | 6,4.10-7 | |
| A. Spé. N°2 | Dioxyde et octoxyde | 5,5.10-6 | 8,5.10-6 | |
| A. Spé. N°3 | Aluminiure d'uranium | 3,0.10-6 | 4,6.10-6 | |
| U-235 | A. F | Hexafluorure d'uranium, tributyl-phosphate d'uranyle | 2,3.10-7 | 2,7.10-7 | 
| A. M | Uranyl acetylaceto-nate, uranium appauvri utilisé dans les pénétrateurs à énergie cinétique, uranium métallique vaporisé, autres composés et composés non spécifiés | 1,3.10-6 | 2,0.10-6 | |
| A. S | Pas de forme chimique particulière assignée | 1,2.10-5 | 2,1.10-5 | |
| A. Spé. N°1 | Nitrate d'uranyle, hydrate de peroxyde d'uranium, diuranate d'ammonium, trioxyde d'uranium | 3,8.10-7 | 5,8.10-7 | |
| A. Spé. N°2 | Dioxyde et octoxyde | 5,1.10-6 | 7,8.10-6 | |
| A. Spé. N°3 | Aluminiure d'uranium | 2,8.10-6 | 4,2.10-6 | |
| U-235m | A. F | Hexafluorure d'uranium, tributyl-phosphate d'uranyle | 6,9.10-17 | 1,2.10-16 | 
| A. M | Uranyl acetylaceto-nate, uranium appauvri utilisé dans les pénétrateurs à énergie cinétique, uranium métallique vaporisé, autres composés et composés non spécifiés | 6,0.10-17 | 1,2.10-16 | |
| A. S | Pas de forme chimique particulière assignée | 6,0.10-17 | 1,2.10-16 | |
| A. Spé. N°1 | Nitrate d'uranyle, hydrate de peroxyde d'uranium, diuranate d'ammonium, trioxyde d'uranium | 6,0.10-17 | 1,2.10-16 | |
| A. Spé. N°2 | Dioxyde et octoxyde | 6,0.10-17 | 1,2.10-16 | |
| A. Spé. N°3 | Aluminiure d'uranium | 5,9.10-17 | 1,2.10-16 | |
| U-236 | A. F | Hexafluorure d'uranium, tributyl-phosphate d'uranyle | 2,4.10-7 | 2,8.10-7 | 
| A. M | Uranyl acetylaceto-nate, uranium appauvri utilisé dans les pénétrateurs à énergie cinétique, uranium métallique vaporisé, autres composés et composés non spécifiés | 1,3.10-6 | 2,1.10-6 | |
| A. S | Pas de forme chimique particulière assignée | 1,2.10-5 | 2,1.10-5 | |
| A. Spé. N°1 | Nitrate d'uranyle, hydrate de peroxyde d'uranium, diuranate d'ammonium, trioxyde d'uranium | 3,8.10-7 | 6,0.10-7 | |
| A. Spé. N°2 | Dioxyde et octoxyde | 5,2.10-6 | 7,9.10-6 | |
| A. Spé. N°3 | Aluminiure d'uranium | 2,8.10-6 | 4,3.10-6 | |
| U-237 | A. F | Hexafluorure d'uranium, tributyl-phosphate d'uranyle | 1,1.10-10 | 8,2.10-11 | 
| A. M | Uranyl acetylaceto-nate, uranium appauvri utilisé dans les pénétrateurs à énergie cinétique, uranium métallique vaporisé, autres composés et composés non spécifiés | 4,1.10-10 | 5,4.10-10 | |
| A. S | Pas de forme chimique particulière assignée | 4,8.10-10 | 6,6.10-10 | |
| A. Spé. N°1 | Nitrate d'uranyle, hydrate de peroxyde d'uranium, diuranate d'ammonium, trioxyde d'uranium | 2,4.10-10 | 2,7.10-10 | |
| A. Spé. N°2 | Dioxyde et octoxyde | 4,8.10-10 | 6,5.10-10 | |
| A. Spé. N°3 | Aluminiure d'uranium | 4,9.10-10 | 6,7.10-10 | |
| U-238 | A. F | Hexafluorure d'uranium, tributyl-phosphate d'uranyle | 2,2.10-7 | 2,6.10-7 | 
| A. M | Uranyl acetylaceto-nate, uranium appauvri utilisé dans les pénétrateurs à énergie cinétique, uranium métallique vaporisé, autres composés et composés non spécifiés | 1,2.10-6 | 1,9.10-6 | |
| A. S | Pas de forme chimique particulière assignée | 1,2.10-5 | 2,0.10-5 | |
| A. Spé. N°1 | Nitrate d'uranyle, hydrate de peroxyde d'uranium, diuranate d'ammonium, trioxyde d'uranium | 3,6.10-7 | 5,5.10-7 | |
| A. Spé. N°2 | Dioxyde et octoxyde | 4,8.10-6 | 7,4.10-6 | |
| A. Spé. N°3 | Aluminiure d'uranium | 2,6.10-6 | 4,0.10-6 | |
| U-239 | A. F | Hexafluorure d'uranium, tributyl-phosphate d'uranyle | 1,6.10-11 | 1,1.10-11 | 
| A. M | Uranyl acetylaceto-nate, uranium appauvri utilisé dans les pénétrateurs à énergie cinétique, uranium métallique vaporisé, autres composés et composés non spécifiés | 1,9.10-11 | 1,4.10-11 | |
| A. S | Pas de forme chimique particulière assignée | 1,9.10-11 | 1,4.10-11 | |
| A. Spé. N°1 | Nitrate d'uranyle, hydrate de peroxyde d'uranium, diuranate d'ammonium, trioxyde d'uranium | 1,8.10-11 | 1,3.10-11 | |
| A. Spé. N°2 | Dioxyde et octoxyde | 1,9.10-11 | 1,4.10-11 | |
| A. Spé. N°3 | Aluminiure d'uranium | 1,9.10-11 | 1,4.10-11 | |
| U-240 | A. F | Hexafluorure d'uranium, tributyl-phosphate d'uranyle | 2,0.10-10 | 1,3.10-10 | 
| A. M | Uranyl acetylaceto-nate, uranium appauvri utilisé dans les pénétrateurs à énergie cinétique, uranium métallique vaporisé, autres composés et composés non spécifiés | 3,0.10-10 | 2,8.10-10 | |
| A. S | Pas de forme chimique particulière assignée | 3,2.10-10 | 3,0.10-10 | |
| A. Spé. N°1 | Nitrate d'uranyle, hydrate de peroxyde d'uranium, diuranate d'ammonium, trioxyde d'uranium | 2,8.10-10 | 2,4.10-10 | |
| A. Spé. N°2 | Dioxyde et octoxyde | 3,2.10-10 | 3,0.10-10 | |
| A. Spé. N°3 | Aluminiure d'uranium | 3,2.10-10 | 3,0.10-10 | |
| U-242 | A. F | Hexafluorure d'uranium, tributyl-phosphate d'uranyle | 2,9.10-11 | 1,9.10-11 | 
| A. M | Uranyl acetylaceto-nate, uranium appauvri utilisé dans les pénétrateurs à énergie cinétique, uranium métallique vaporisé, autres composés et composés non spécifiés | 3,1.10-11 | 2,1.10-11 | |
| A. S | Pas de forme chimique particulière assignée | 3,1.10-11 | 2,1.10-11 | |
| A. Spé. N°1 | Nitrate d'uranyle, hydrate de peroxyde d'uranium, diuranate d'ammonium, trioxyde d'uranium | 3,1.10-11 | 2,1.10-11 | |
| A. Spé. N°2 | Dioxyde et octoxyde | 3,1.10-11 | 2,1.10-11 | |
| A. Spé. N°3 | Aluminiure d'uranium | 3,1.10-11 | 2,1.10-11 | |
| Neptunium | ||||
| Np-232 | A. F | Pas de forme chimique particulière assignée | 5,6.10-12 | 4,1.10-12 | 
| A. M | Citrate et oxalate de neptunium, autres composés et composés non spécifiés | 6,6.10-12 | 5,8.10-12 | |
| A. S | Dioxyde de neptunium | 3,3.10-11 | 5,3.10-11 | |
| A. Spé. | Nitrate de neptunium | 5,9.10-12 | 4,7.10-12 | |
| Np-233 | A. F | Pas de forme chimique particulière assignée | 8,7.10-13 | 6,2.10-13 | 
| A. M | Citrate et oxalate de neptunium, autres composés et composés non spécifiés | 1,1.10-12 | 8,5.10-13 | |
| A. S | Dioxyde de neptunium | 1,1.10-12 | 8,7.10-13 | |
| A. Spé. | Nitrate de neptunium | 9,5.10-13 | 6,9.10-13 | |
| Np-234 | A. F | Pas de forme chimique particulière assignée | 2,9.10-10 | 2,0.10-10 | 
| A. M | Citrate et oxalate de neptunium, autres composés et composés non spécifiés | 3,3.10-10 | 3,1.10-10 | |
| A. S | Dioxyde de neptunium | 3,5.10-10 | 3,4.10-10 | |
| A. Spé. | Nitrate de neptunium | 3,0.10-10 | 2,4.10-10 | |
| Np-235 | A. F | Pas de forme chimique particulière assignée | 3,1.10-10 | 2,9.10-10 | 
| A. M | Citrate et oxalate de neptunium, autres composés et composés non spécifiés | 1,6.10-10 | 2,8.10-10 | |
| A. S | Dioxyde de neptunium | 3,0.10-10 | 5,5.10-10 | |
| A. Spé. | Nitrate de neptunium | 2,7.10-10 | 2,9.10-10 | |
| Np-236 | A. F | Pas de forme chimique particulière assignée | 2,4.10-6 | 2,2.10-6 | 
| A. M | Citrate et oxalate de neptunium, autres composés et composés non spécifiés | 5,8.10-7 | 1,1.10-6 | |
| A. S | Dioxyde de neptunium | 2,7.10-6 | 5,0.10-6 | |
| A. Spé. | Nitrate de neptunium | 1,8.10-6 | 1,8.10-6 | |
| Np-236m | A. F | Pas de forme chimique particulière assignée | 3,5.10-9 | 3,2.10-9 | 
| A. M | Citrate et oxalate de neptunium, autres composés et composés non spécifiés | 1,5.10-9 | 2,6.10-9 | |
| A. S | Dioxyde de neptunium | 3,4.10-9 | 5,4.10-9 | |
| A. Spé. | Nitrate de neptunium | 2,9.10-9 | 3,0.10-9 | |
| Np-237 | A. F | Pas de forme chimique particulière assignée | 1,3.10-5 | 1,2.10-5 | 
| A. M | Citrate et oxalate de neptunium, autres composés et composés non spécifiés | 4,3.10-6 | 7,6.10-6 | |
| A. S | Dioxyde de neptunium | 1,4.10-5 | 2,4.10-5 | |
| A. Spé. | Nitrate de neptunium | 1,0.10-5 | 1,1.10-5 | |
| Np-238 | A. F | Pas de forme chimique particulière assignée | 2,5.10-9 | 2,3.10-9 | 
| A. M | Citrate et oxalate de neptunium, autres composés et composés non spécifiés | 1,1.10-9 | 1,7.10-9 | |
| A. S | Dioxyde de neptunium | 1,4.10-9 | 2,2.10-9 | |
| A. Spé. | Nitrate de neptunium | 2,1.10-9 | 2,1.10-9 | |
| Np-239 | A. F | Pas de forme chimique particulière assignée | 1,4.10-10 | 1,0.10-10 | 
| A. M | Citrate et oxalate de neptunium, autres composés et composés non spécifiés | 3,1.10-10 | 3,7.10-10 | |
| A. S | Dioxyde de neptunium | 3,5.10-10 | 4,2.10-10 | |
| A. Spé. | Nitrate de neptunium | 2,0.10-10 | 2,0.10-10 | |
| Np-240 | A. F | Pas de forme chimique particulière assignée | 4,0.10-11 | 2,7.10-11 | 
| A. M | Citrate et oxalate de neptunium, autres composés et composés non spécifiés | 5,9.10-11 | 4,4.10-11 | |
| A. S | Dioxyde de neptunium | 6,0.10-11 | 4,5.10-11 | |
| A. Spé. | Nitrate de neptunium | 4,6.10-11 | 3,3.10-11 | |
| Np-241 | A. F | Pas de forme chimique particulière assignée | 1,1.10-11 | 7,2.10-12 | 
| A. M | Citrate et oxalate de neptunium, autres composés et composés non spécifiés | 1,2.10-11 | 8,2.10-12 | |
| A. S | Dioxyde de neptunium | 1,2.10-11 | 8,6.10-12 | |
| A. Spé. | Nitrate de neptunium | 1,1.10-11 | 7,5.10-12 | |
| Plutonium | ||||
| Pu-232 | A. F | Pas de forme chimique particulière assignée | 2,2.10-8 | 1,8.10-8 | 
| A. M | Citrate de plutonium, tributyl phosphate de plutonium, chlorure de plutonium, autres composés et composés non spécifiés | 2,2.10-8 | 1,8.10-8 | |
| A. S | Pas de forme chimique particulière assignée | 2,2.10-8 | 1,8.10-8 | |
| A. Spé. N°1 | Dioxyde de Pu-239, plutonium dans des oxydes mixtes | 2,2.10-8 | 1,8.10-8 | |
| A. Spé. N°2 | Dioxyde de plutonium sous forme de nanoparticules de 1 nanomètre | 2,2.10-8 | 1,8.10-8 | |
| A. Spé. N°3 | Nitrate de plutonium | 2,2.10-8 | 1,8.10-8 | |
| Pu-234 | A. F | Pas de forme chimique particulière assignée | 4,5.10-9 | 5,5.10-9 | 
| A. M | Citrate de plutonium, tributyl phosphate de plutonium, chlorure de plutonium, autres composés et composés non spécifiés | 6,9.10-9 | 9,1.10-9 | |
| A. S | Pas de forme chimique particulière assignée | 7,7.10-9 | 1,0.10-8 | |
| A. Spé. N°1 | Dioxyde de Pu-239, plutonium dans des oxydes mixtes | 7,7.10-9 | 1,1.10-8 | |
| A. Spé. N°2 | Dioxyde de plutonium sous forme de nanoparticules de 1 nanomètre | 5,4.10-9 | 6,8.10-9 | |
| A. Spé. N°3 | Nitrate de plutonium | 7,0.10-9 | 9,3.10-9 | |
| Pu-235 | A. F | Pas de forme chimique particulière assignée | 8,4.10-13 | 6,9.10-13 | 
| A. M | Citrate de plutonium, tributyl phosphate de plutonium, chlorure de plutonium, autres composés et composés non spécifiés | 8,4.10-13 | 6,9.10-13 | |
| A. S | Pas de forme chimique particulière assignée | 8,5.10-13 | 7,1.10-13 | |
| A. Spé. N°1 | Dioxyde de Pu-239, plutonium dans des oxydes mixtes | 8,5.10-13 | 7,1.10-13 | |
| A. Spé. N°2 | Dioxyde de plutonium sous forme de nanoparticules de 1 nanomètre | 8,4.10-13 | 6,9.10-13 | |
| A. Spé. N°3 | Nitrate de plutonium | 8,4.10-13 | 7,0.10-13 | |
| Pu-236 | A. F | Pas de forme chimique particulière assignée | 4,1.10-6 | 6,8.10-6 | 
| A. M | Citrate de plutonium, tributyl phosphate de plutonium, chlorure de plutonium, autres composés et composés non spécifiés | 3,7.10-6 | 6,4.10-6 | |
| A. S | Pas de forme chimique particulière assignée | 7,8.10-6 | 1,3.10-5 | |
| A. Spé. N°1 | Dioxyde de Pu-239, plutonium dans des oxydes mixtes | 1,0.10-5 | 1,7.10-5 | |
| A. Spé. N°2 | Dioxyde de plutonium sous forme de nanoparticules de 1 nanomètre | 3,9.10-6 | 6,7.10-6 | |
| A. Spé. N°3 | Nitrate de plutonium | 4,2.10-6 | 6,9.10-6 | |
| Pu-237 | A. F | Pas de forme chimique particulière assignée | 9,7.10-11 | 1,5.10-10 | 
| A. M | Citrate de plutonium, tributyl phosphate de plutonium, chlorure de plutonium, autres composés et composés non spécifiés | 1,4.10-10 | 2,3.10-10 | |
| A. S | Pas de forme chimique particulière assignée | 1,7.10-10 | 2,8.10-10 | |
| A. Spé. N°1 | Dioxyde de Pu-239, plutonium dans des oxydes mixtes | 1,7.10-10 | 2,8.10-10 | |
| A. Spé. N°2 | Dioxyde de plutonium sous forme de nanoparticules de 1 nanomètre | 1,1.10-10 | 1,8.10-10 | |
| A. Spé. N°3 | Nitrate de plutonium | 1,5.10-10 | 2,4.10-10 | |
| Pu-238 | A. F | Pas de forme chimique particulière assignée | 1,8.10-5 | 3,0.10-5 | 
| A. M | Citrate de plutonium, tributyl phosphate de plutonium, chlorure de plutonium, autres composés et composés non spécifiés | 1,2.10-5 | 2,3.10-5 | |
| A. S | Pas de forme chimique particulière assignée | 1,7.10-5 | 2,9.10-5 | |
| A. Spé. N°1 | Dioxyde de Pu-238 sous forme de céramique | 1,1.10-5 | 1,9.10-5 | |
| A. Spé. N°2 | Dioxyde de Pu-239, plutonium dans des oxydes mixtes | 2,3.10-5 | 4,1.10-5 | |
| A. Spé. N°3 | Dioxyde de plutonium sous forme de nanoparticules de 1 nanomètre | 1,6.10-5 | 2,8.10-5 | |
| A. Spé. N°4 | Nitrate de plutonium | 1,2.10-5 | 2,1.10-5 | |
| A. Spé. N°5 | Dioxyde de Pu-238 non sous forme de céramique | 1,1.10-5 | 1,9.10-5 | |
| Pu-239 | A. F | Pas de forme chimique particulière assignée | 1,9.10-5 | 3,4.10-5 | 
| A. M | Citrate de plutonium, tributyl phosphate de plutonium, chlorure de plutonium, autres composés et composés non spécifiés | 1,4.10-5 | 2,5.10-5 | |
| A. S | Pas de forme chimique particulière assignée | 1,7.10-5 | 3,1.10-5 | |
| A. Spé. N°1 | Dioxyde de Pu-239, plutonium dans des oxydes mixtes | 2,5.10-5 | 4,5.10-5 | |
| A. Spé. N°2 | Dioxyde de plutonium sous forme de nanoparticules de 1 nanomètre | 1,7.10-5 | 3,0.10-5 | |
| A. Spé. N°3 | Nitrate de plutonium | 1,3.10-5 | 2,3.10-5 | |
| Pu-240 | A. F | Pas de forme chimique particulière assignée | 1,9.10-5 | 3,4.10-5 | 
| A. M | Citrate de plutonium, tributyl phosphate de plutonium, chlorure de plutonium, autres composés et composés non spécifiés | 1,4.10-5 | 2,5.10-5 | |
| A. S | Pas de forme chimique particulière assignée | 1,8.10-5 | 3,1.10-5 | |
| A. Spé. N°1 | Dioxyde de Pu-239, plutonium dans des oxydes mixtes | 2,5.10-5 | 4,5.10-5 | |
| A. Spé. N°2 | Dioxyde de plutonium sous forme de nanoparticules de 1 nanomètre | 1,7.10-5 | 3,0.10-5 | |
| A. Spé. N°3 | Nitrate de plutonium | 1,3.10-5 | 2,3.10-5 | |
| Pu-241 | A. F | Pas de forme chimique particulière assignée | 2,2.10-7 | 3,6.10-7 | 
| A. M | Citrate de plutonium, tributyl phosphate de plutonium, chlorure de plutonium, autres composés et composés non spécifiés | 1,3.10-7 | 2,3.10-7 | |
| A. S | Pas de forme chimique particulière assignée | 2,2.10-7 | 4,2.10-7 | |
| A. Spé. N°1 | Dioxyde de Pu-239, plutonium dans des oxydes mixtes | 4,4.10-7 | 8,4.10-7 | |
| A. Spé. N°2 | Dioxyde de plutonium sous forme de nanoparticules de 1 nanomètre | 1,9.10-7 | 3,1.10-7 | |
| A. Spé. N°3 | Nitrate de plutonium | 1,1.10-7 | 2,0.10-7 | |
| Pu-242 | A. F | Pas de forme chimique particulière assignée | 1,9.10-5 | 3,2.10-5 | 
| A. M | Citrate de plutonium, tributyl phosphate de plutonium, chlorure de plutonium, autres composés et composés non spécifiés | 1,3.10-5 | 2,4.10-5 | |
| A. S | Pas de forme chimique particulière assignée | 1,7.10-5 | 2,9.10-5 | |
| A. Spé. N°1 | Dioxyde de Pu-239, plutonium dans des oxydes mixtes | 2,4.10-5 | 4,3.10-5 | |
| A. Spé. N°2 | Dioxyde de plutonium sous forme de nanoparticules de 1 nanomètre | 1,6.10-5 | 2,9.10-5 | |
| A. Spé. N°3 | Nitrate de plutonium | 1,2.10-5 | 2,2.10-5 | |
| Pu-243 | A. F | Pas de forme chimique particulière assignée | 5,0.10-11 | 4,3.10-11 | 
| A. M | Citrate de plutonium, tributyl phosphate de plutonium, chlorure de plutonium, autres composés et composés non spécifiés | 5,1.10-11 | 4,4.10-11 | |
| A. S | Pas de forme chimique particulière assignée | 5,2.10-11 | 4,6.10-11 | |
| A. Spé. N°1 | Dioxyde de Pu-239, plutonium dans des oxydes mixtes | 5,3.10-11 | 4,7.10-11 | |
| A. Spé. N°2 | Dioxyde de plutonium sous forme de nanoparticules de 1 nanomètre | 5,1.10-11 | 4,3.10-11 | |
| A. Spé. N°3 | Nitrate de plutonium | 5,1.10-11 | 4,4.10-11 | |
| Pu-244 | A. F | Pas de forme chimique particulière assignée | 1,8.10-5 | 3,2.10-5 | 
| A. M | Citrate de plutonium, tributyl phosphate de plutonium, chlorure de plutonium, autres composés et composés non spécifiés | 1,3.10-5 | 2,4.10-5 | |
| A. S | Pas de forme chimique particulière assignée | 1,6.10-5 | 2,8.10-5 | |
| A. Spé. N°1 | Dioxyde de Pu-239, plutonium dans des oxydes mixtes | 2,3.10-5 | 4,2.10-5 | |
| A. Spé. N°2 | Dioxyde de plutonium sous forme de nanoparticules de 1 nanomètre | 1,6.10-5 | 2,9.10-5 | |
| A. Spé. N°3 | Nitrate de plutonium | 1,2.10-5 | 2,2.10-5 | |
| Pu-245 | A. F | Pas de forme chimique particulière assignée | 2,1.10-10 | 1,9.10-10 | 
| A. M | Citrate de plutonium, tributyl phosphate de plutonium, chlorure de plutonium, autres composés et composés non spécifiés | 2,2.10-10 | 2,0.10-10 | |
| A. S | Pas de forme chimique particulière assignée | 2,3.10-10 | 2,1.10-10 | |
| A. Spé. N°1 | Dioxyde de Pu-239, plutonium dans des oxydes mixtes | 2,3.10-10 | 2,1.10-10 | |
| A. Spé. N°2 | Dioxyde de plutonium sous forme de nanoparticules de 1 nanomètre | 2,2.10-10 | 1,9.10-10 | |
| A. Spé. N°3 | Nitrate de plutonium | 2,2.10-10 | 2,0.10-10 | |
| Pu-246 | A. F | Pas de forme chimique particulière assignée | 1,1.10-9 | 1,3.10-9 | 
| A. M | Citrate de plutonium, tributyl phosphate de plutonium, chlorure de plutonium, autres composés et composés non spécifiés | 1,6.10-9 | 2,2.10-9 | |
| A. S | Pas de forme chimique particulière assignée | 1,8.10-9 | 2,6.10-9 | |
| A. Spé. N°1 | Dioxyde de Pu-239, plutonium dans des oxydes mixtes | 1,8.10-9 | 2,7.10-9 | |
| A. Spé. N°2 | Dioxyde de plutonium sous forme de nanoparticules de 1 nanomètre | 1,3.10-9 | 1,6.10-9 | |
| A. Spé. N°3 | Nitrate de plutonium | 1,6.10-9 | 2,2.10-9 | |
| Américium | ||||
| Am-237 | A. F | Citrate | 1,9.10-11 | 1,5.10-11 | 
| A. M | Oxyde, chlorure, autres composés et composés non spécifiés | 1,9.10-11 | 1,6.10-11 | |
| A. S | Américium associé à de l'oxyde de plutonium | 1,9.10-11 | 1,6.10-11 | |
| A. Spé. | Nitrate d'américium | 1,9.10-11 | 1,5.10-11 | |
| Am-238 | A. F | Citrate | 5,1.10-11 | 7,4.10-11 | 
| A. M | Oxyde, chlorure, autres composés et composés non spécifiés | 4,0.10-11 | 5,9.10-11 | |
| A. S | Américium associé à de l'oxyde de plutonium | 4,9.10-11 | 7,1.10-11 | |
| A. Spé. | Nitrate d'américium | 4,5.10-11 | 6,6.10-11 | |
| Am-239 | A. F | Citrate | 1,0.10-10 | 9,9.10-11 | 
| A. M | Oxyde, chlorure, autres composés et composés non spécifiés | 1,1.10-10 | 1,1.10-10 | |
| A. S | Américium associé à de l'oxyde de plutonium | 1,1.10-10 | 1,1.10-10 | |
| A. Spé. | Nitrate d'américium | 1,1.10-10 | 1,0.10-10 | |
| Am-240 | A. F | Citrate | 2,7.10-10 | 2,3.10-10 | 
| A. M | Oxyde, chlorure, autres composés et composés non spécifiés | 2,9.10-10 | 2,7.10-10 | |
| A. S | Américium associé à de l'oxyde de plutonium | 3,0.10-10 | 2,8.10-10 | |
| A. Spé. | Nitrate d'américium | 2,8.10-10 | 2,5.10-10 | |
| Am-241 | A. F | Citrate | 1,1.10-5 | 1,9.10-5 | 
| A. M | Oxyde, chlorure, autres composés et composés non spécifiés | 8,0.10-6 | 1,4.10-5 | |
| A. S | Américium associé à de l'oxyde de plutonium | 1,7.10-5 | 2,9.10-5 | |
| A. Spé. | Nitrate d'américium | 9,7.10-6 | 1,6.10-5 | |
| Am-242 | A. F | Citrate | 2,2.10-9 | 3,7.10-9 | 
| A. M | Oxyde, chlorure, autres composés et composés non spécifiés | 4,7.10-9 | 7,5.10-9 | |
| A. S | Américium associé à de l'oxyde de plutonium | 7,6.10-9 | 1,2.10-8 | |
| A. Spé. | Nitrate d'américium | 3,4.10-9 | 5,6.10-9 | |
| Am-242m | A. F | Citrate | 1,1.10-5 | 1,8.10-5 | 
| A. M | Oxyde, chlorure, autres composés et composés non spécifiés | 6,9.10-6 | 1,3.10-5 | |
| A. S | Américium associé à de l'oxyde de plutonium | 1,5.10-5 | 2,6.10-5 | |
| A. Spé. | Nitrate d'américium | 9,0.10-6 | 1,6.10-5 | |
| Am-243 | A. F | Citrate | 1,1.10-5 | 1,9.10-5 | 
| A. M | Oxyde, chlorure, autres composés et composés non spécifiés | 7,9.10-6 | 1,4.10-5 | |
| A. S | Américium associé à de l'oxyde de plutonium | 1,6.10-5 | 2,9.10-5 | |
| A. Spé. | Nitrate d'américium | 9,6.10-6 | 1,6.10-5 | |
| Am-244 | A. F | Citrate | 6,4.10-10 | 9,2.10-10 | 
| A. M | Oxyde, chlorure, autres composés et composés non spécifiés | 5,7.10-10 | 8,3.10-10 | |
| A. S | Américium associé à de l'oxyde de plutonium | 9,7.10-10 | 1,5.10-9 | |
| A. Spé. | Nitrate d'américium | 6,1.10-10 | 8,7.10-10 | |
| Am-244m | A. F | Citrate | 3,9.10-11 | 4,6.10-11 | 
| A. M | Oxyde, chlorure, autres composés et composés non spécifiés | 3,5.10-11 | 4,1.10-11 | |
| A. S | Américium associé à de l'oxyde de plutonium | 5,3.10-11 | 6,8.10-11 | |
| A. Spé. | Nitrate d'américium | 3,7.10-11 | 4,3.10-11 | |
| Am-245 | A. F | Citrate | 4,6.10-11 | 3,4.10-11 | 
| A. M | Oxyde, chlorure, autres composés et composés non spécifiés | 4,6.10-11 | 3,5.10-11 | |
| A. S | Américium associé à de l'oxyde de plutonium | 4,7.10-11 | 3,5.10-11 | |
| A. Spé. | Nitrate d'américium | 4,6.10-11 | 3,5.10-11 | |
| Am-246 | A. F | Citrate | 6,3.10-11 | 4,6.10-11 | 
| A. M | Oxyde, chlorure, autres composés et composés non spécifiés | 6,4.10-11 | 4,6.10-11 | |
| A. S | Américium associé à de l'oxyde de plutonium | 6,4.10-11 | 4,6.10-11 | |
| A. Spé. | Nitrate d'américium | 6,3.10-11 | 4,6.10-11 | |
| Am-246m | A. F | Citrate | 2,2.10-11 | 1,5.10-11 | 
| A. M | Oxyde, chlorure, autres composés et composés non spécifiés | 2,3.10-11 | 1,5.10-11 | |
| A. S | Américium associé à de l'oxyde de plutonium | 2,3.10-11 | 1,6.10-11 | |
| A. Spé. | Nitrate d'américium | 2,2.10-11 | 1,5.10-11 | |
| Am-247 | A. F | Citrate | 2,6.10-11 | 1,8.10-11 | 
| A. M | Oxyde, chlorure, autres composés et composés non spécifiés | 2,6.10-11 | 1,8.10-11 | |
| A. S | Américium associé à de l'oxyde de plutonium | 2,6.10-11 | 1,8.10-11 | |
| A. Spé. | Nitrate d'américium | 2,6.10-11 | 1,8.10-11 | |
| Curium | ||||
| Cm-238 | A. F | Citrate | 1,4.10-9 | 1,4.10-9 | 
| A. M | Pas de forme chimique particulière assignée, autres composés et composés non spécifiés | 1,4.10-9 | 1,4.10-9 | |
| A. S | Pas de forme chimique particulière assignée | 1,4.10-9 | 1,5.10-9 | |
| A. Spé. | Oxyde, nitrate et chlorure de curium | 1,4.10-9 | 1,4.10-9 | |
| Cm-239 | A. F | Citrate | 2,8.10-11 | 2,7.10-11 | 
| A. M | Pas de forme chimique particulière assignée, autres composés et composés non spécifiés | 3,0.10-11 | 3,0.10-11 | |
| A. S | Pas de forme chimique particulière assignée | 3,1.10-11 | 3,1.10-11 | |
| A. Spé. | Oxyde, nitrate et chlorure de curium | 3,0.10-11 | 2,9.10-11 | |
| Cm-240 | A. F | Citrate | 3,6.10-7 | 5,5.10-7 | 
| A. M | Pas de forme chimique particulière assignée, autres composés et composés non spécifiés | 7,4.10-7 | 1,1.10-6 | |
| A. S | Pas de forme chimique particulière assignée | 9,9.10-7 | 1,5.10-6 | |
| A. Spé. | Oxyde, nitrate et chlorure de curium | 5,7.10-7 | 8,7.10-7 | |
| Cm-241 | A. F | Citrate | 5,4.10-9 | 8,5.10-9 | 
| A. M | Pas de forme chimique particulière assignée, autres composés et composés non spécifiés | 9,1.10-9 | 1,4.10-8 | |
| A. S | Pas de forme chimique particulière assignée | 1,3.10-8 | 2,0.10-8 | |
| A. Spé. | Oxyde, nitrate et chlorure de curium | 7,4.10-9 | 1,2.10-8 | |
| Cm-242 | A. F | Citrate | 7,0.10-7 | 1,2.10-6 | 
| A. M | Pas de forme chimique particulière assignée, autres composés et composés non spécifiés | 1,4.10-6 | 2,3.10-6 | |
| A. S | Pas de forme chimique particulière assignée | 2,3.10-6 | 3,6.10-6 | |
| A. Spé. | Oxyde, nitrate et chlorure de curium | 1,0.10-6 | 1,7.10-6 | |
| Cm-243 | A. F | Citrate | 8,4.10-6 | 1,4.10-5 | 
| A. M | Pas de forme chimique particulière assignée, autres composés et composés non spécifiés | 6,4.10-6 | 1,1.10-5 | |
| A. S | Pas de forme chimique particulière assignée | 1,4.10-5 | 2,3.10-5 | |
| A. Spé. | Oxyde, nitrate et chlorure de curium | 7,2.10-6 | 1,2.10-5 | |
| Cm-244 | A. F | Citrate | 7,0.10-6 | 1,2.10-5 | 
| A. M | Pas de forme chimique particulière assignée, autres composés et composés non spécifiés | 5,7.10-6 | 1,0.10-5 | |
| A. S | Pas de forme chimique particulière assignée | 1,2.10-5 | 2,0.10-5 | |
| A. Spé. | Oxyde, nitrate et chlorure de curium | 6,1.10-6 | 1,1.10-5 | |
| Cm-245 | A. F | Citrate | 1,2.10-5 | 1,9.10-5 | 
| A. M | Pas de forme chimique particulière assignée, autres composés et composés non spécifiés | 8,1.10-6 | 1,4.10-5 | |
| A. S | Pas de forme chimique particulière assignée | 1,7.10-5 | 2,9.10-5 | |
| A. Spé. | Oxyde, nitrate et chlorure de curium | 9,5.10-6 | 1,6.10-5 | |
| Cm-246 | A. F | Citrate | 1,2.10-5 | 1,9.10-5 | 
| A. M | Pas de forme chimique particulière assignée, autres composés et composés non spécifiés | 8,1.10-6 | 1,4.10-5 | |
| A. S | Pas de forme chimique particulière assignée | 1,7.10-5 | 2,9.10-5 | |
| A. Spé. | Oxyde, nitrate et chlorure de curium | 9,5.10-6 | 1,6.10-5 | |
| Cm-247 | A. F | Citrate | 1,1.10-5 | 1,8.10-5 | 
| A. M | Pas de forme chimique particulière assignée, autres composés et composés non spécifiés | 7,4.10-6 | 1,3.10-5 | |
| A. S | Pas de forme chimique particulière assignée | 1,5.10-5 | 2,7.10-5 | |
| A. Spé. | Oxyde, nitrate et chlorure de curium | 8,8.10-6 | 1,5.10-5 | |
| Cm-248 | A. F | Citrate | 4,7.10-5 | 7,6.10-5 | 
| A. M | Pas de forme chimique particulière assignée, autres composés et composés non spécifiés | 2,8.10-5 | 5,1.10-5 | |
| A. S | Pas de forme chimique particulière assignée | 5,1.10-5 | 9,6.10-5 | |
| A. Spé. | Oxyde, nitrate et chlorure de curium | 3,6.10-5 | 6,2.10-5 | |
| Cm-249 | A. F | Citrate | 3,1.10-11 | 2,5.10-11 | 
| A. M | Pas de forme chimique particulière assignée, autres composés et composés non spécifiés | 3,0.10-11 | 2,3.10-11 | |
| A. S | Pas de forme chimique particulière assignée | 3,3.10-11 | 2,9.10-11 | |
| A. Spé. | Oxyde, nitrate et chlorure de curium | 3,0.10-11 | 2,4.10-11 | |
| Cm-250 | A. F | Citrate | 3,3.10-4 | 5,3.10-4 | 
| A. M | Pas de forme chimique particulière assignée, autres composés et composés non spécifiés | 1,9.10-4 | 3,4.10-4 | |
| A. S | Pas de forme chimique particulière assignée | 3,3.10-4 | 6,3.10-4 | |
| A. Spé. | Oxyde, nitrate et chlorure de curium | 2,5.10-4 | 4,3.10-4 | |
| Cm-251 | A. F | Citrate | 2,3.10-11 | 1,6.10-11 | 
| A. M | Pas de forme chimique particulière assignée, autres composés et composés non spécifiés | 2,3.10-11 | 1,6.10-11 | |
| A. S | Pas de forme chimique particulière assignée | 2,3.10-11 | 1,7.10-11 | |
| A. Spé. | Oxyde, nitrate et chlorure de curium | 2,3.10-11 | 1,6.10-11 | |
| Berkélium | ||||
| Bk-245 | A. F | Pas de forme chimique particulière assignée | 4,2.10-10 | 5,2.10-10 | 
| A. M | Pas de forme chimique particulière assignée, autres composés et composés non spécifiés | 6,6.10-10 | 8,8.10-10 | |
| A. S | Oxyde de berkélium | 7,4.10-10 | 1,0.10-9 | |
| Bk-246 | A. F | Pas de forme chimique particulière assignée | 2,0.10-10 | 1,6.10-10 | 
| A. M | Pas de forme chimique particulière assignée, autres composés et composés non spécifiés | 2,0.10-10 | 1,8.10-10 | |
| A. S | Oxyde de berkélium | 2,2.10-10 | 2,0.10-10 | |
| Bk-247 | A. F | Pas de forme chimique particulière assignée | 1,1.10-5 | 1,8.10-5 | 
| A. M | Pas de forme chimique particulière assignée, autres composés et composés non spécifiés | 7,6.10-6 | 1,3.10-5 | |
| A. S | Oxyde de berkélium | 1,7.10-5 | 3,0.10-5 | |
| Bk-248m | A. F | Pas de forme chimique particulière assignée | 2,4.10-9 | 4,0.10-9 | 
| A. M | Pas de forme chimique particulière assignée, autres composés et composés non spécifiés | 4,0.10-9 | 6,4.10-9 | |
| A. S | Oxyde de berkélium | 7,9.10-9 | 1,2.10-8 | |
| Bk-249 | A. F | Pas de forme chimique particulière assignée | 2,5.10-8 | 4,0.10-8 | 
| A. M | Pas de forme chimique particulière assignée, autres composés et composés non spécifiés | 1,5.10-8 | 2,7.10-8 | |
| A. S | Oxyde de berkélium | 3,8.10-8 | 6,7.10-8 | |
| Bk-250 | A. F | Pas de forme chimique particulière assignée | 2,2.10-10 | 3,1.10-10 | 
| A. M | Pas de forme chimique particulière assignée, autres composés et composés non spécifiés | 2,0.10-10 | 2,8.10-10 | |
| A. S | Oxyde de berkélium | 3,9.10-10 | 5,7.10-10 | |
| Californium | ||||
| Cf-244 | A. F | Chlorure | 1,1.10-8 | 9,0.10-9 | 
| A. M | Oxyde, autres composés et composés non spécifiés | 1,2.10-8 | 9,4.10-9 | |
| A. S | Pas de forme chimique particulière assignée | 1,2.10-8 | 9,6.10-9 | |
| Cf-246 | A. F | Chlorure | 1,4.10-7 | 1,8.10-7 | 
| A. M | Oxyde, autres composés et composés non spécifiés | 2,0.10-7 | 2,6.10-7 | |
| A. S | Pas de forme chimique particulière assignée | 2,2.10-7 | 2,9.10-7 | |
| Cf-247 | A. F | Chlorure | 2,1.10-11 | 2,2.10-11 | 
| A. M | Oxyde, autres composés et composés non spécifiés | 2,1.10-11 | 2,2.10-11 | |
| A. S | Pas de forme chimique particulière assignée | 2,3.10-11 | 2,6.10-11 | |
| Cf-248 | A. F | Chlorure | 1,2.10-6 | 2,0.10-6 | 
| A. M | Oxyde, autres composés et composés non spécifiés | 2,0.10-6 | 3,2.10-6 | |
| A. S | Pas de forme chimique particulière assignée | 3,9.10-6 | 6,0.10-6 | |
| Cf-249 | A. F | Chlorure | 1,1.10-5 | 1,7.10-5 | 
| A. M | Oxyde, autres composés et composés non spécifiés | 7,4.10-6 | 1,3.10-5 | |
| A. S | Pas de forme chimique particulière assignée | 1,8.10-5 | 3,0.10-5 | |
| Cf-250 | A. F | Chlorure | 5,4.10-6 | 9,0.10-6 | 
| A. M | Oxyde, autres composés et composés non spécifiés | 4,7.10-6 | 8,2.10-6 | |
| A. S | Pas de forme chimique particulière assignée | 1,1.10-5 | 1,8.10-5 | |
| Cf-251 | A. F | Chlorure | 1,1.10-5 | 1,7.10-5 | 
| A. M | Oxyde, autres composés et composés non spécifiés | 7,5.10-6 | 1,3.10-5 | |
| A. S | Pas de forme chimique particulière assignée | 1,8.10-5 | 3,1.10-5 | |
| Cf-252 | A. F | Chlorure | 3,6.10-6 | 6,2.10-6 | 
| A. M | Oxyde, autres composés et composés non spécifiés | 4,0.10-6 | 7,0.10-6 | |
| A. S | Pas de forme chimique particulière assignée | 8,1.10-6 | 1,3.10-5 | |
| Cf-253 | A. F | Chlorure | 5,7.10-8 | 9,7.10-8 | 
| A. M | Oxyde, autres composés et composés non spécifiés | 2,3.10-7 | 3,7.10-7 | |
| A. S | Pas de forme chimique particulière assignée | 3,3.10-7 | 5,2.10-7 | |
| Cf-254 | A. F | Chlorure | 5,8.10-6 | 9,9.10-6 | 
| A. M | Oxyde, autres composés et composés non spécifiés | 1,0.10-5 | 1,8.10-5 | |
| A. S | Pas de forme chimique particulière assignée | 1,3.10-5 | 2,4.10-5 | |
| Cf-255 | A. F | Chlorure | 3,4.10-10 | 5,2.10-10 | 
| A. M | Oxyde, autres composés et composés non spécifiés | 1,1.10-9 | 1,7.10-9 | |
| A. S | Pas de forme chimique particulière assignée | 1,4.10-9 | 2,2.10-9 | |
| Einstenium | ||||
| Es-249 | A. F | Chlorure | 1,9.10-10 | 1,7.10-10 | 
| A. M | Nitrate, autres composés et composés non spécifiés | 1,9.10-10 | 1,8.10-10 | |
| A. S | Pas de forme chimique particulière assignée | 2,0.10-10 | 1,9.10-10 | |
| Es-250 | A. F | Chlorure | 5,7.10-10 | 8,2.10-10 | 
| A. M | Nitrate, autres composés et composés non spécifiés | 5,3.10-10 | 7,7.10-10 | |
| A. S | Pas de forme chimique particulière assignée | 1,0.10-9 | 1,5.10-9 | |
| Es-250m | A. F | Chlorure | 1,2.10-10 | 1,8.10-10 | 
| A. M | Nitrate, autres composés et composés non spécifiés | 1,0.10-10 | 1,7.10-10 | |
| A. S | Pas de forme chimique particulière assignée | 2,3.10-10 | 3,6.10-10 | |
| Es-251 | A. F | Chlorure | 7,2.10-10 | 9,0.10-10 | 
| A. M | Nitrate, autres composés et composés non spécifiés | 9,1.10-10 | 1,2.10-9 | |
| A. S | Pas de forme chimique particulière assignée | 1,0.10-9 | 1,3.10-9 | |
| Es-253 | A. F | Chlorure | 2,5.10-7 | 3,5.10-7 | 
| A. M | Nitrate, autres composés et composés non spécifiés | 6,1.10-7 | 8,9.10-7 | |
| A. S | Pas de forme chimique particulière assignée | 7,3.10-7 | 1,1.10-6 | |
| Es-254 | A. F | Chlorure | 1,1.10-6 | 1,8.10-6 | 
| A. M | Nitrate, autres composés et composés non spécifiés | 1,9.10-6 | 3,0.10-6 | |
| A. S | Pas de forme chimique particulière assignée | 3,7.10-6 | 5,6.10-6 | |
| Es-254m | A. F | Chlorure | 1,2.10-7 | 1,6.10-7 | 
| A. M | Nitrate, autres composés et composés non spécifiés | 1,7.10-7 | 2,4.10-7 | |
| A. S | Pas de forme chimique particulière assignée | 1,9.10-7 | 2,6.10-7 | |
| Es-255 | A. F | Chlorure | 2,2.10-7 | 3,4.10-7 | 
| A. M | Nitrate, autres composés et composés non spécifiés | 7,2.10-7 | 1,1.10-6 | |
| A. S | Pas de forme chimique particulière assignée | 9,6.10-7 | 1,5.10-6 | |
| Es-256 | A. F | Chlorure | 1,5.10-8 | 2,2.10-8 | 
| A. M | Nitrate, autres composés et composés non spécifiés | 1,5.10-8 | 2,3.10-8 | |
| A. S | Pas de forme chimique particulière assignée | 1,5.10-8 | 2,3.10-8 | |
| Fermium | ||||
| Fm-251 | A. F | Pas de forme chimique particulière assignée | 1,2.10-9 | 1,2.10-9 | 
| A. M | Pas de forme chimique particulière assignée, autres composés et composés non spécifiés | 1,3.10-9 | 1,3.10-9 | |
| A. S | Pas de forme chimique particulière assignée | 1,3.10-9 | 1,4.10-9 | |
| Fm-252 | A. F | Pas de forme chimique particulière assignée | 1,4.10-7 | 1,6.10-7 | 
| A. M | Pas de forme chimique particulière assignée, autres composés et composés non spécifiés | 1,7.10-7 | 2,1.10-7 | |
| A. S | Pas de forme chimique particulière assignée | 1,8.10-7 | 2,3.10-7 | |
| Fm-253 | A. F | Pas de forme chimique particulière assignée | 3,4.10-8 | 4,8.10-8 | 
| A. M | Pas de forme chimique particulière assignée, autres composés et composés non spécifiés | 8,5.10-8 | 1,3.10-7 | |
| A. S | Pas de forme chimique particulière assignée | 1,0.10-7 | 1,5.10-7 | |
| Fm-254 | A. F | Pas de forme chimique particulière assignée | 5,2.10-8 | 4,9.10-8 | 
| A. M | Pas de forme chimique particulière assignée, autres composés et composés non spécifiés | 5,4.10-8 | 5,0.10-8 | |
| A. S | Pas de forme chimique particulière assignée | 5,4.10-8 | 5,1.10-8 | |
| Fm-255 | A. F | Pas de forme chimique particulière assignée | 1,2.10-7 | 1,4.10-7 | 
| A. M | Pas de forme chimique particulière assignée, autres composés et composés non spécifiés | 1,4.10-7 | 1,7.10-7 | |
| A. S | Pas de forme chimique particulière assignée | 1,5.10-7 | 1,8.10-7 | |
| Fm-256 | A. F | Pas de forme chimique particulière assignée | 9,2.10-8 | 1,4.10-7 | 
| A. M | Pas de forme chimique particulière assignée, autres composés et composés non spécifiés | 9,5.10-8 | 1,4.10-7 | |
| A. S | Pas de forme chimique particulière assignée | 9,6.10-8 | 1,4.10-7 | |
| Fm-257 | A. F | Pas de forme chimique particulière assignée | 7,1.10-7 | 1,2.10-6 | 
| A. M | Pas de forme chimique particulière assignée, autres composés et composés non spécifiés | 1,8.10-6 | 2,9.10-6 | |
| A. S | Pas de forme chimique particulière assignée | 3,0.10-6 | 4,7.10-6 | |
 
    