(JO n° 262 du 13 novembre 2003)


Texte abrogé par l'article 4 de l'Arrêté du 16 novembre 2023 (JO n° 273 du 25 novembre 2023)

NOR : SANC0323527A

Vus

Le ministre des affaires sociales, du travail et de la solidarité, le ministre de la santé, de la famille et des personnes handicapées et le ministre de l'agriculture, de l'alimentation, de la pêche et des affaires rurales,

Vu la directive 96/29/EURATOM du Conseil en date du 13 mai 1996 fixant les normes de base relatives à la protection sanitaire de la population et des travailleurs contre les dangers résultant des rayonnements ionisants ;

Vu l'article R. 1333-10 du code de la santé publique ;

Vu l'article R. 231-80 du code du travail ;

Vu l'avis de l'Institut de radioprotection et de sûreté nucléaire en date du 26 septembre 2002 ;

Vu l'avis du Conseil supérieur d'hygiène publique de France, section radioprotection, en date du 7 novembre 2002 ;

Vu l'avis du Conseil supérieur de la prévention des risques professionnels en date du 19 mars 2003 ;

Vu l'avis de la Commission nationale d'hygiène et de sécurité du travail en agriculture en date du 22 mai 2003,

Arrêtent :

Article 1er de l'arrêté du 1er septembre 2003

Les dispositions du présent arrêté définissent les méthodes de calcul des doses efficaces et des doses équivalentes visées à l'article R. 1333-10 du code de la santé publique et à l'article R. 231-80 du code du travail.

La dose efficace reçue par un individu est la somme des doses efficaces résultant des expositions externe et interne aux rayonnements ionisants. Elle est calculée selon les dispositions figurant dans l'annexe I du présent arrêté.

Dans l'estimation de la dose efficace est prise en compte, le cas échéant, la dose engagée à la suite d'une blessure ayant entraîné une contamination interne.

Article 2 de l'arrêté du 1er septembre 2003

Les définitions et les méthodes qui doivent être utilisées pour le calcul de la dose efficace et de la dose équivalente résultant d'une exposition externe sont définies en annexe II du présent arrêté.

Article 3 de l'arrêté du 1er septembre 2003

Pour le calcul de la dose efficace résultant d'une exposition interne aux radionucléides sont utilisées les valeurs de doses efficaces engagées par unité d'incorporation de chaque radionucléide, telles que définies en annexe III du présent arrêté.

Article 4 de l'arrêté du 1er septembre 2003

Le directeur général de la sûreté nucléaire et de la radioprotection, le directeur des relations du travail et le directeur général de la forêt et des affaires rurales sont chargés, chacun en ce qui le concerne, de l'exécution du présent arrêté, qui sera publié au Journal officiel de la République française.

Fait à Paris, le 1er septembre 2003.

Le ministre de la santé, de la famille et des personnes handicapées,

Pour le ministre et par délégation :

Le directeur général de la sûreté nucléaire et de la radioprotection,

A.-C. Lacoste

Le ministre des affaires sociales, du travail et de la solidarité,

Pour le ministre et par délégation :

Le directeur des relations du travail,

J.-D. Combrexelle

Le ministre de l'agriculture, de l'alimentation, de la pêche et des affaires rurales,

Pour le ministre et par délégation :

Par empêchement du directeur général de la forêt et des affaires rurales :

L'ingénieure en chef du génie rural, des eaux et des forêts,

V. Metrich-Hecquet

Annexe I : Règles de calcul de la dose efficace résultant d'une exposition externe et interne aux rayonnements ionisants

Les prescriptions réglementaires relatives aux doses s'appliquent à la somme des doses résultant de l'exposition externe pendant une période spécifiée et des doses engagées, sur cinquante ans pour les adultes et jusqu'à l'âge de soixante-dix ans pour les enfants d'âge inférieur à dix-huit ans, résultant d'incorporations pendant la période spécifiée. La période spécifiée est celle indiquée pour chacune des limites de doses mentionnées à l'article R. 1333-8 du code de la santé publique et aux articles R. 231-77 et R. 231-78 du code du travail.

1. La dose efficace totale E reçue par un individu est déterminée par la formule suivante :

E = Eexterne + Einterne

Eexterne et Einterne  sont définies aux paragraphes 1.2 et 1.3.

2. Eexterne est la dose efficace résultant de l'exposition externe.

Pour les travailleurs exposés, la dose efficace résultant de l'exposition externe est estimée selon les dispositions figurant dans l'annexe II du présent arrêté.

Pour les membres de la population, la dose efficace résultant de l'exposition externe tient compte des différentes voies d'atteinte (exposition provenant d'un nuage atmosphérique, exposition par immersion dans l'eau, exposition provenant d'un dépôt au sol) et, pour chaque voie d'atteinte, elle est prise égale au produit de l'activité du radionucléide présent dans le milieu ambiant par le coefficient de dose externe du même radionucléide. On peut utiliser pour les coefficients de dose externe les valeurs préconisées par l'Institut de radioprotection et de sûreté nucléaire.

3. Einterne est la dose efficace engagée résultant de l'exposition interne.

Elle est déterminée par la formule suivante :

Image retirée.

Pour un travailleur exposé ou un membre de la population appartenant au groupe d'âge g :

h(g)j,ingéré et h(g)j,inhalé sont les doses efficaces engagées par unité d'incorporation du radionucléide j (exprimées en Sv.Bq-¹) ingéré ou inhalé par un individu du groupe d'âge g ;

Aj,ingéré et Aj,inhalé sont respectivement les activités incorporées par ingestion ou par inhalation du radionucléide j (exprimées en Bq).

 

Annexe II : Définitions et méthodes utilisées pour le calcul de la dose efficace et de la dose équivalente résultant d'une exposition externe

1. Origine des coefficients figurant dans la présente annexe

Les limites de doses indiquées dans la réglementation sont exprimées en termes de deux grandeurs de protection : la dose efficace et la dose équivalente. La nécessité de disposer de grandeurs mesurables qui puissent permettre de déterminer ces grandeurs de protection a conduit au développement de grandeurs opérationnelles. Les grandeurs opérationnelles à utiliser pour la surveillance de zone sont l'équivalent de dose ambiant et l'équivalent de dose directionnel. La grandeur opérationnelle à utiliser pour la surveillance individuelle est l'équivalent de dose individuel à une profondeur donnée.

2. Définition des termes utilisés dans la présente annexe

2.1. Grandeurs physiques (par ordre alphabétique)

Dose absorbée (D) : énergie absorbée par unité de masse

Image retirée.

où : Image retirée. est l'énergie moyenne communiquée par le rayonnement ionisant à la matière dans un volume élémentaire ;

dm est la masse de la matière contenue dans cet élément de volume :

- le terme " dose absorbée " désigne la dose moyenne reçue par un tissu ou un organe ;

- l'unité de dose absorbée est le gray (Gy).

Facteur de qualité (Q) : fonction du transfert linéique d'énergie (L) utilisée pour pondérer les doses absorbées en un point afin de tenir compte des caractéristiques d'un rayonnement.

Facteur de qualité moyen (Q) : valeur moyenne du facteur de qualité en un point de tissu lorsque la dose absorbée est délivrée par des particules ayant différentes valeurs de transfert linéique d'énergie L. Il est calculé au moyen de la formule suivante :

Image retirée.

D(L)dL étant la dose absorbée à 10 mm délivrée par les particules ayant un transfert linéique d'énergie compris entre L et L + dL,

et Q(L) le facteur de qualité correspondant au point considéré. Les formules permettant d'estimer Q(L) en fonction de L sont données au paragraphe II.6.

Fluence particulaire Image retirée. : quotient de dN par ds, dN étant le nombre de particules entrant dans une sphère de section d'aire ds :

Image retirée.

La fluence particulaire Image retirée. est exprimée en nombre de particules par unité de surface.

Gray : unité de dose absorbée ; un gray (Gy) correspond à 1 joule par kilogramme (1 Gy = 1 J.kg-¹).

Sphère de l'ICRU : corps créé par l'ICRU (Commission internationale des unités et mesures radiologiques) pour figurer l'absorption par le corps humain de l'énergie issue des rayonnements ionisants ; il s'agit d'une sphère d'équivalent-tissu de 30 cm de diamètre, ayant une densité de 1 g.cm-³ et une composition massique de 76,2 % d'oxygène, 11,1 % de carbone, 10,1 % d'hydrogène et 2,6 % d'azote.

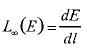
Transfert linéique d'énergie (L) : quantité définie par la formule suivante :

Image retirée.

où dE est l'énergie moyenne perdue par une particule d'énergie E en parcourant une distance dl dans l'eau. Dans le présent arrêté, L (E) est noté L.

L'unité utilisée de transfert linéique d'énergie est le joule par mètre (J.m-¹) ; on utilise également de façon pratique le keV.µm-¹.

2.2. Grandeurs de protection (par ordre alphabétique)

Dose à l'organe (DT) : quotient de l'énergie totale délivrée à un tissu ou un organe T par la masse de ce tissu ou de cet organe.

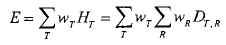
Dose efficace (E) : somme des doses équivalentes pondérées délivrées par exposition interne et externe aux différents tissus et organes du corps mentionnés au paragraphe II.4 du présent arrêté.

Elle est définie par la formule :

Image retirée.

où :

wT est le facteur de pondération tissulaire pour le tissu ou l'organe T.

wR est le facteur de pondération radiologique pour le rayonnement R.

DT,R est la moyenne pour l'organe ou le tissu T de la dose absorbée du rayonnement R.

Les valeurs de wT sont indiquées au paragraphe II.4. L'unité de dose efficace est le sievert (Sv).

Dose équivalente à un tissu ou un organe (HT,R) : dose absorbée par le tissu ou l'organe T, pondérée suivant le type et l'énergie du rayonnement R. Elle est donnée par la formule :

Image retirée.

où :

wR est le facteur de pondération radiologique pour le rayonnement R.

DT,R est la moyenne pour l'organe ou le tissu T de la dose absorbée du rayonnement R.

Lorsque le champ de rayonnement comprend des rayonnements de types et d'énergies correspondant à des valeurs différentes de wR la dose équivalente totale HT est donnée par la formule :

Image retirée.

Les valeurs de wR sont indiquées dans la partie II.3 de cette même annexe. L'unité de dose équivalente est le sievert (Sv).

Facteur de pondération radiologique (wR) : facteur adimensionnel caractéristique d'un rayonnement, utilisé pour pondérer la dose absorbée par un tissu ou un organe. Les valeurs de wR sont indiquées au paragraphe II.3.

Facteur de pondération tissulaire (wT) : facteur adimensionnel caractéristique d'un organe ou d'un tissu (T), utilisé pour pondérer la dose équivalente à ce tissu ou à cet organe. Les valeurs de wT sont indiquées au paragraphe II.4.

2.3. Grandeurs opérationnelles (par ordre alphabétique)

Champ expansé : champ dérivé du champ réel, où la fluence et ses distributions directionnelle et énergétique ont les mêmes valeurs dans tout le volume concerné que le champ réel au point de référence.

Champ expansé et unidirectionnel : champ de rayonnement dans lequel la fluence et ses distributions directionnelle et énergétique sont les mêmes que dans le champ expansé mais où la fluence est unidirectionnelle.

Equivalent de dose ambiant H* (d) : équivalent de dose en un point du champ de rayonnement qui serait produit par le champ expansé et unidirectionnel correspondant, dans la sphère de l'ICRU, à une profondeur d, sur le rayon opposé à la direction du champ unidirectionnel. L'unité d'équivalent de dose ambiant est le sievert (Sv).

Equivalent de dose directionnel H' (d, ) : équivalent de dose en un point du champ de rayonnement qui serait produit par le champ expansé correspondant dans la sphère de l'ICRU, à une profondeur d, sur un rayon d'une direction spécifiée . L'unité d'équivalent de dose directionnel est le sievert (Sv).

Equivalent de dose individuel Hp (d) : équivalent de dose dans les tissus mous, en un point du corps situé à une profondeur d. L'unité d'équivalent de dose individuel est le sievert (Sv).

3. Valeurs du facteur de pondération radiologique wR

Les valeurs du facteur de pondération radiologique wR dépendent du type et de la qualité du champ externe de rayonnement ou du type et de la qualité du rayonnement émis par un radionucléide incorporé.

Lorsque le champ de rayonnement se compose de types et d'énergies possédant des valeurs différentes de wR, la dose absorbée doit être divisée en blocs affectés chacun de leur propre valeur de wR et additionnés pour obtenir la dose équivalente totale dans le tissu ou l'organe considéré. Elle peut aussi s'exprimer par une distribution continue en énergie où chaque élément de dose absorbée provenant de la gamme d'énergies comprise entre E et E + dE est multiplié par la valeur attribuée à wR conformément au tableau ci-dessous.

Image retirée.

Dans les calculs où interviennent des neutrons, l'application de valeurs de fonction étagée peut comporter des difficultés. Il peut alors être préférable d'utiliser la fonction continue décrite par la relation mathématique suivante :

Image retirée.

où E est l'énergie neutronique en MeV.

Pour les types de rayonnement et les énergies qui ne figurent pas dans le tableau, on peut obtenir une approximation de wR en calculant le facteur de qualité moyen Q à 10 mm de profondeur dans une sphère de l'ICRU.

4. Valeurs du facteur de pondération tissulaire, wT

Les valeurs ont été déterminées à partir d'une population de référence comprenant un nombre égal de personnes des deux sexes et représentant un large éventail d'âges. Dans la détermination de la dose efficace, elles s'appliquent aux travailleurs et à la population dans son ensemble, indépendamment du sexe.

Les valeurs du facteur de pondération tissulaire wT sont les suivantes :

Image retirée.

Pour les calculs, les tissus et organes « autres » sont les suivants : surrénales, cerveau, cæcum, intestin grêle, reins, muscles, pancréas, rate, thymus et utérus. La liste contient des organes susceptibles d'une exposition sélective. Certains de ces organes sont connus comme sièges possibles d'une induction cancéreuse. Si dans l'avenir d'autres tissus et organes se révèlent présenter un risque notable de cancer radioinduit, ils seront ajoutés soit dans la liste principale avec une valeur spécifique de wT, soit dans la liste additionnelle détaillant les tissus et organes « autres ». D'autres tissus ou organes irradiés sélectivement peuvent également figurer parmi ces derniers.

Dans les cas exceptionnels où un seul des tissus ou organes « autres » reçoit une dose équivalente dépassant la dose la plus élevée d'un quelconque des douze organes auxquels un facteur de pondération est attribué, il y a lieu d'appliquer un facteur de pondération de 0,025 à ce tissu ou cet organe, et un facteur de 0,025 à la dose moyenne reçue par le reste des tissus et organes « autres » tels qu'ils sont définis ci-dessus.

5. Grandeurs à utiliser pour le rayonnement externe

Sont utilisées les grandeurs suivantes :

1. Surveillance individuelle :

Equivalent de dose individuel Hp (d), où d est la profondeur en mm dans le corps.

2. Surveillance de zone : Equivalent de dose ambiant H* (d) ;

Equivalent de dose directionnel H' (d, ) ;

où d est la profondeur sous la surface de la sphère de l'ICRU définie au paragraphe II.2, et l'angle d'incidence.

3. Pour les rayonnements fortement pénétrants, la profondeur recommandée est de 10 mm ; pour les rayonnements faiblement pénétrants, elle est de 0,07 mm pour la peau et de 3 mm pour le cristallin.

6. Valeurs du facteur de qualité Q (L) en fonction du transfert linéique d'énergie dans l'eau L

Image retirée.

Annexe III : Valeurs de dose efficace par unité d'incorporation de chaque radionucléide ingéré ou inhalé

L'incorporation est définie comme l'activité des radionucléides pénétrant dans l'organisme à partir du milieu ambiant. L'unité d'incorporation est le becquerel (Bq).

1. Valeurs de dose efficace par unité d'incorporation de chaque radionucléide ingéré ou inhalé applicables aux personnes du public ainsi qu'aux jeunes âgés de seize à dix-huit ans qui sont amenés à être exposés aux rayonnements ionisants dans le cadre de leurs études

Sauf pour les descendants du radon 222 et du radon 220 (cf. paragraphe III.3), les tableaux 1.1 et 1.2 indiquent les valeurs de dose efficace engagée par unité d'incorporation de radionucléides ingérés ou inhalés, applicables aux personnes du public ainsi qu'aux jeunes âgés de seize à dix-huit ans qui sont amenés à être exposés aux rayonnements ionisants dans le cadre de leurs études. Ces valeurs sont exprimées en Sv.Bq-¹.

Le tableau 1.1 présente, pour l'ingestion, les valeurs correspondant à différents facteurs d'absorption gastro-intestinale f1 pour les personnes du public.

Le tableau 1.2 présente, pour l'inhalation d'aérosols, les valeurs correspondant à différents types d'absorption pulmonaire avec des valeurs de f1 pour chaque élément. Les valeurs de ces paramètres sont liées à la forme chimique de l'élément considéré. On se reportera au tableau 1.3 pour choisir les paramètres appropriés.

Le tableau 1.3, extrait de la publication CIPR n° 72, reprend les publications de la CIPR (Commission internationale de protection radiologique) desquelles sont extraites les informations sur les types d'absorption pulmonaire et sur les modèles biocinétiques décrivant l'activité systémique utilisés pour calculer les coefficients des tableaux 1.1 et 1.2. Le type d'absorption pulmonaire qu'il est recommandé d'utiliser par défaut, dans le cas où l'on ne dispose d'aucune information précise sur la forme chimique du radionucléide, est indiqué dans ce tableau pour 31 éléments.

Pour les 60 autres éléments présents dans le tableau 1.2, on utilisera les types d'absorption pulmonaire recommandés par défaut dans le tableau 3.3.

Le tableau 2.1, extrait de la publication CIPR n° 72, présente les valeurs de dose efficace engagée par unité d'activité du fait de l'inhalation de gaz et vapeurs solubles ou réactifs. Ces valeurs sont exprimées en Sv.Bq-¹.

Le tableau 2.2, extrait de la publication CIPR n° 72, indique les coefficients de dose efficace applicables à l'exposition des personnes du public aux gaz inertes. Pour la plupart des radionucléides de ce type, l'exposition interne résultant de gaz absorbés dans les tissus de l'organisme ou contenus dans les poumons est négligeable si on la compare à l'exposition externe de la peau et des autres organes lorsqu'une personne est immergée dans un gaz radioactif. Par conséquent, les coefficients de dose applicables sont exprimés par unité de concentration dans l'air intégrée dans le temps (Sv.j-¹ /Bq.m-³).

Les doses provenant de l'exposition au radon 222 et au radon 220 n'ont pas été indiquées dans le tableau 2.2. Elles résultent essentiellement de l'inhalation de leurs descendants à vie courte et les données correspondantes figurent au paragraphe III.3.

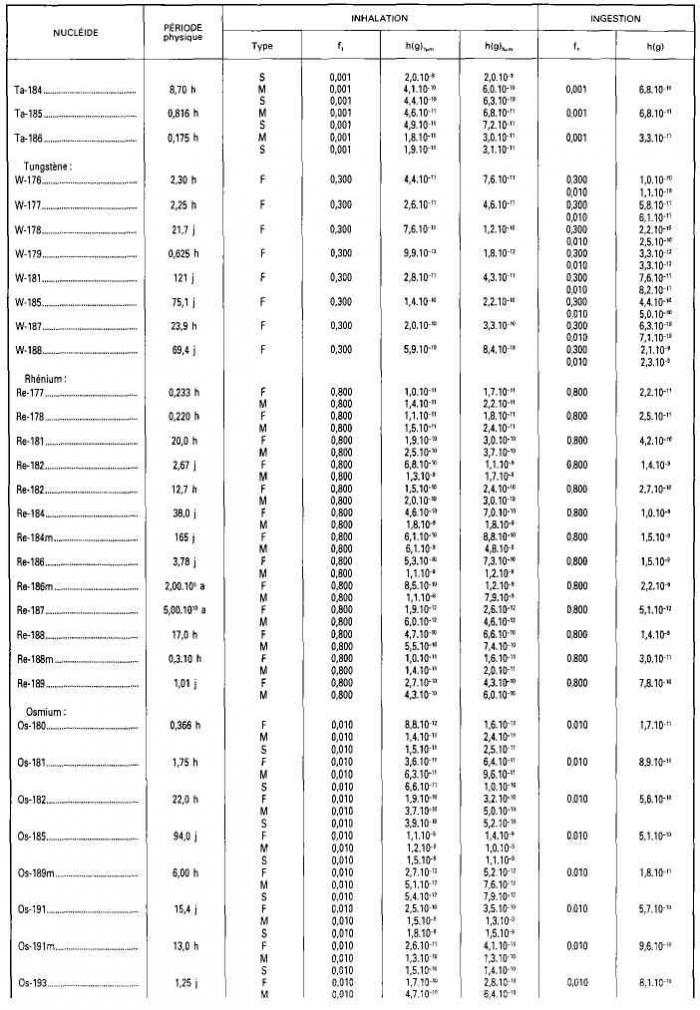
2. Valeurs de dose efficace par unité d'incorporation de chaque radionucléide ingéré ou inhalé applicables aux travailleurs exposés

Sauf pour les descendants du radon 222 et du radon 220 (cf. paragraphe III.3), le tableau 3.1 indique les valeurs de dose efficace engagée par unité d'incorporation de radionucléides ingérés ou inhalés, applicables aux travailleurs exposés. Ces valeurs sont exprimées en Sv.Bq-¹.

Le tableau 3.1 comprend des valeurs pour l'ingestion, correspondant à différents facteurs d'absorption gastro-intestinale f1, et des valeurs pour l'inhalation, correspondant à différents types d'absorption pulmonaire avec des valeurs de f1 pour chaque élément. Les valeurs de ces paramètres sont liées à la forme chimique de l'élément considéré. On se reportera aux tableaux 3.2 et 3.3 pour choisir les paramètres appropriés.

Pour l'incorporation par ingestion, le tableau 3.2 présente les facteurs d'absorption gastro-intestinale f1, par élément et par composé, applicables aux travailleurs exposés.

Pour l'incorporation par inhalation d'aérosols, les valeurs de dose par unité d'incorporation du tableau 3.1 sont données pour deux valeurs de diamètre aérodynamique médian en activité des particules inhalées : 1 et 5 µm. S'il existe des données sur ce paramètre, la valeur correspondante devra être utilisée, dans le cas contraire, la valeur correspondant à 5 µm sera utilisée par défaut.

Pour l'incorporation par inhalation d'aérosols, le tableau 3.3 présente les types d'absorption pulmonaire et les facteurs d'absorption gastro-intestinale f1 par élément et par composé, applicables aux travailleurs exposés.

Pour les valeurs de dose efficace engagée par unité d'incorporation pour les gaz et vapeurs solubles ou réactifs, on se reportera au tableau 2.1. Dans le cas des travailleurs exposés, il faudra utiliser la colonne âge « > 17 ans » de ce tableau.

Les coefficients de dose efficace applicables à l'exposition des travailleurs exposés, ainsi que des jeunes âgés de plus de dix-huit ans qui sont amenés à être exposés aux rayonnements ionisants dans le cadre de leurs études, aux gaz inertes sont présentés dans le tableau 2.2 et exprimés par unité de concentration dans l'air intégrée dans le temps (Sv.j-¹ /Bq.m-³).

3. Cas des descendants du radon 222 et du radon 220

Pour les descendants du radon 222 et du radon 220 seront appliqués les facteurs de conversion conventionnels suivants, exprimant la dose efficace par unité d'exposition à l'énergie alpha potentielle (Sv/J.h.m-³) :

Radon 222 dans les habitations : 1,1 ;

Radon 222 sur les lieux de travail : 1,4 ;

Radon 220 sur les lieux de travail : 0,5.

Energie alpha potentielle des descendants du radon 222 et du radon 220 : énergie alpha totale émise lors de la désintégration des descendants du radon 222 et du radon 220 dans la chaîne de désintégration, jusqu'au plomb 210 non compris pour la filiation du radon 222, et jusqu'au plomb 208 stable pour la filiation du radon 220. L'unité est le Joule (J). Pour une exposition à une concentration donnée pendant un temps donné, l'unité est le J.h.m-³.

4. Tableaux

Tableau 1.1.

Doses efficaces engagées par unité d'incorporation par ingestion, en sievert par becquerel, applicables aux personnes du public, ainsi qu'aux jeunes âgés de seize à dix-huit ans qui sont amenés à être exposés aux rayonnements ionisants dans le cadre de leurs études (sauf descendants du radon 222 et du radon 220).

Tableau 1.2.

Doses efficaces engagées par unité d'incorporation par inhalation d'aérosols, en Sv.Bq-¹, applicables aux personnes du public ainsi qu'aux jeunes âgés de seize à dix-huit ans qui sont amenés à être exposés aux rayonnements ionisants dans le cadre de leurs études (sauf descendants du radon 222 et du radon 220).

Tableau 1.3.

Types d'absorption pulmonaire utilisés pour le calcul des coefficients de dose incorporée par inhalation pour les personnes du public exposées à des aérosols ou à des gaz et vapeurs et publications pertinentes de la CIPR desquelles sont extraites les informations sur les types d'absorption pulmonaire et sur les modèles biocinétiques décrivant l'activité systémique utilisés pour calculer les coefficients des tableaux 1.1 et 1.2.

Tableau 2.1.

Doses efficaces engagées par unité d'incorporation par inhalation de gaz et vapeurs solubles ou réactifs, applicables aux personnes du public et aux travailleurs exposés (colonne âge > 17 ans), en Sv.Bq-¹.

Tableau 2.2.

Coefficients de dose efficace, exprimés par unité de concentration dans l'air intégrée dans le temps (Sv.j-¹ /Bq.m-³) et applicables aux personnes du public et aux travailleurs exposés aux gaz inertes.

Tableau 3.1.

Doses efficaces engagées par unité d'incorporation par inhalation et par ingestion, en Sv.Bq-¹, applicables aux travailleurs exposés.

Tableau 3.2.

Valeurs du facteur d'absorption gastro-intestinale f1 en fonction de la forme chimique de l'élément utilisées pour le calcul des doses efficaces engagées par unité d'incorporation par ingestion, applicables aux travailleurs exposés.

Tableau 3.3.

Types d'absorption pulmonaire et valeurs du facteur d'absorption gastro-intestinale f1 en fonction de la forme chimique de l'élément, recommandés pour le calcul des doses efficaces engagées par unité d'incorporation par inhalation, applicables aux travailleurs exposés.

Tableau 1.1

Doses efficaces engagées par unité d'incorporation par ingestion, en sievert par becquerel, applicables aux personnes du public, ainsi qu'aux jeunes âgés de seize à dix-huit ans qui sont amenés à être exposés aux rayonnements ionisants dans le cadre de leurs études (sauf descendants du radon 222 et du radon 220)

Image retirée.

Image retirée.

 

Image retirée.

Image retirée.

Image retirée.

Image retirée.

Image retirée.

Image retirée.

Image retirée.

Image retirée.

Image retirée.

Image retirée.

Image retirée.

Image retirée.

Image retirée.

Image retirée.

Image retirée.

Image retirée.

Image retirée.

Image retirée.

Image retirée.

Image retirée.

Image retirée.

Image retirée.

Image retirée.

Image retirée.

Image retirée.

Image retirée.

Image retirée.

Image retirée.

Image retirée.

Image retirée.

Image retirée.

Image retirée.

Image retirée.

Image retirée.

Image retirée.

Tableau 1.3

Types d'absorption pulmonaire utilisés pour le calcul des coefficients de dose incorporée par inhalation pour les personnes du public exposées à des aérosols ou à des gaz et vapeurs et publications pertinentes de la CIPR desquelles sont extraites les informations sur les types d'absorption pulmonaire et sur les modèles biocinétiques décrivant l'activité systémique utilisés pour calculer les coefficients des tableaux 1.1 et 1.2

Image retirée.

Image retirée.

Image retirée.

Image retirée.

Tableau 2.2

Coefficients de dose efficace, exprimés par unité de concentration dans l'air intégrée dans le temps (Sv.j-¹ /Bq.m-³) et applicables aux personnes du public et aux travailleurs exposés aux gaz inertes

Image retirée.

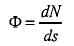
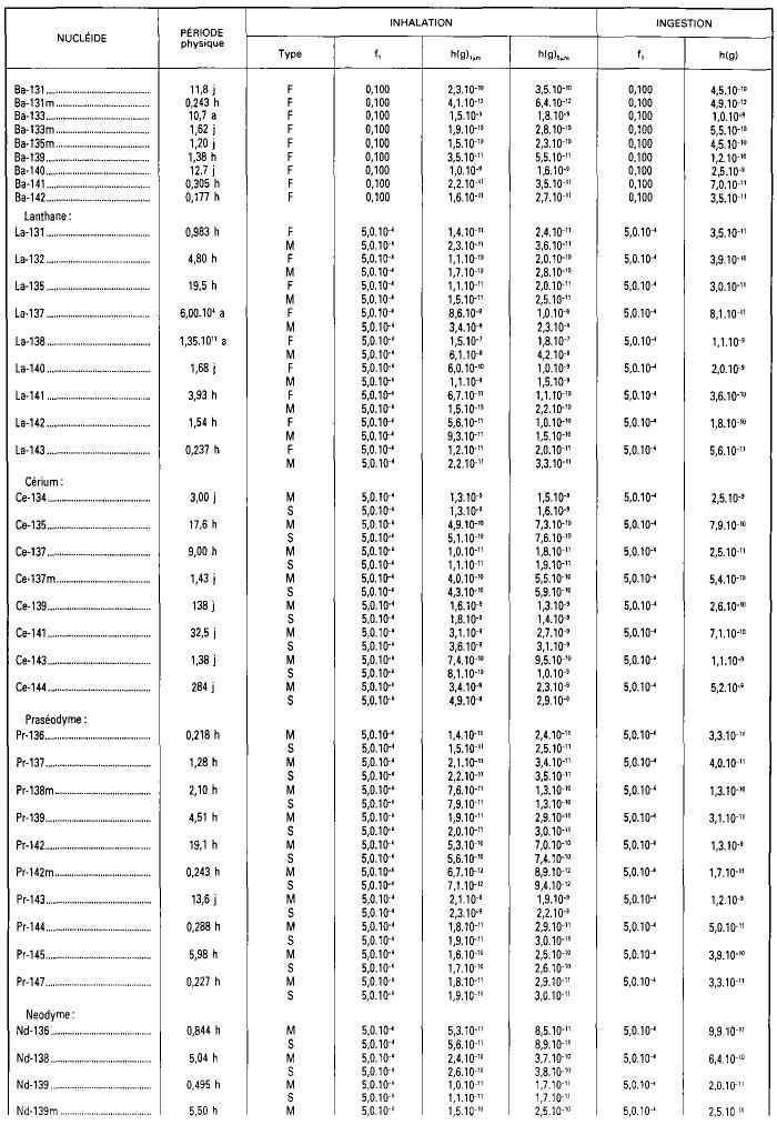
Tableau 3.1

Doses efficaces engagées par unité d'incorporation par inhalation et par ingestion, en Sv.Bq-¹, applicables aux travailleurs exposés

Image retirée.

Image retirée.

Image retirée.

Image retirée.

Image retirée.

Image retirée.

Image retirée.

Image retirée.

Image retirée.

Image retirée.

Image retirée.

Image retirée.

Image retirée.

Image retirée.

Image retirée.

Image retirée.

Image retirée.

Image retirée.

Image retirée.

Image retirée.

Image retirée.

Tableau 3.2

Valeurs du facteur d'absorption gastro-intestinale f1 en fonction de la forme chimique de l'élément utilisées pour le calcul des doses efficaces engagées par unité d'incorporation par ingestion, applicables aux travailleurs exposés

Image retirée.

Image retirée.

Tableau 3.3

Types d'absorption pulmonaire et valeurs du facteur d'absorption gastro-intestinale f1 en fonction de la forme chimique de l'élément, recommandés pour le calcul des doses efficaces engagées par unité d'incorporation par inhalation, applicables aux travailleurs exposés

Image retirée.

Image retirée.

Image retirée.

 Consulter les annexes au format pdf

A propos du document

Type
Arrêté
État
abrogé
Date de signature
Date de publication

Documents liés

Est abrogé par
Vient abroger